高居里温度铁磁重稀土氧化物REO (RE = Tb, Dy, Er)中的金属导电性:稀土依赖载流子极性和反常霍尔效应

IF 5.1 2区 材料科学 Q2 MATERIALS SCIENCE, MULTIDISCIPLINARY
Satoshi Sasaki, Daichi Oka, Masamichi Negishi and Tomoteru Fukumura
{"title":"高居里温度铁磁重稀土氧化物REO (RE = Tb, Dy, Er)中的金属导电性:稀土依赖载流子极性和反常霍尔效应","authors":"Satoshi Sasaki, Daichi Oka, Masamichi Negishi and Tomoteru Fukumura","doi":"10.1039/D5TC02202A","DOIUrl":null,"url":null,"abstract":"<p >Recently synthesized single-phase heavy rare earth monoxides, rocksalt type <em>RE</em>O (<em>RE</em> = Tb, Dy, Er), exhibited metallic electronic states with [Xe]4f<small><sup><em>n</em></sup></small>5d<small><sup>1</sup></small> electron configurations and high Curie temperature. Hence, the 4f–5d hybridization is expected to significantly influence the electrical transport properties. In this study, these <em>RE</em>Os were found to show metallic conduction with gradually varied carrier polarity, where TbO was an n-type metal, DyO was a partially compensated n-type metal, and ErO was a partially compensated p-type metal. This variable carrier polarity is probably due to the degree of 4f–5d hybridization depending on each <em>RE</em> ion. The anomalous Hall effect possessed a larger remanence and coercive field than those of the magnetization below each Curie temperature. Intriguingly, ErO showed unusual clockwise hysteresis loops of the anomalous Hall effect with a superficially positive anomalous Hall coefficient, in contrast with usual anticlockwise hysteresis loops of the positive anomalous Hall effect in TbO and DyO. This unusual behavior of ErO is likely due to multiple anomalous Hall effects or a superposed semimetallic ordinary Hall effect. The simple rocksalt structure, strong spin–orbit interaction, and various carrier polarities as well as anomalous Hall effect would be beneficial to develop spintronic heterostructures.</p>","PeriodicalId":84,"journal":{"name":"Journal of Materials Chemistry C","volume":" 40","pages":" 20728-20734"},"PeriodicalIF":5.1000,"publicationDate":"2025-09-17","publicationTypes":"Journal Article","fieldsOfStudy":null,"isOpenAccess":false,"openAccessPdf":"","citationCount":"0","resultStr":"{\"title\":\"Metallic conduction in high Curie temperature ferromagnetic heavy rare earth monoxides REO (RE = Tb, Dy, Er): rare-earth-dependent carrier polarity and anomalous Hall effect\",\"authors\":\"Satoshi Sasaki, Daichi Oka, Masamichi Negishi and Tomoteru Fukumura\",\"doi\":\"10.1039/D5TC02202A\",\"DOIUrl\":null,\"url\":null,\"abstract\":\"<p >Recently synthesized single-phase heavy rare earth monoxides, rocksalt type <em>RE</em>O (<em>RE</em> = Tb, Dy, Er), exhibited metallic electronic states with [Xe]4f<small><sup><em>n</em></sup></small>5d<small><sup>1</sup></small> electron configurations and high Curie temperature. Hence, the 4f–5d hybridization is expected to significantly influence the electrical transport properties. In this study, these <em>RE</em>Os were found to show metallic conduction with gradually varied carrier polarity, where TbO was an n-type metal, DyO was a partially compensated n-type metal, and ErO was a partially compensated p-type metal. This variable carrier polarity is probably due to the degree of 4f–5d hybridization depending on each <em>RE</em> ion. The anomalous Hall effect possessed a larger remanence and coercive field than those of the magnetization below each Curie temperature. Intriguingly, ErO showed unusual clockwise hysteresis loops of the anomalous Hall effect with a superficially positive anomalous Hall coefficient, in contrast with usual anticlockwise hysteresis loops of the positive anomalous Hall effect in TbO and DyO. This unusual behavior of ErO is likely due to multiple anomalous Hall effects or a superposed semimetallic ordinary Hall effect. The simple rocksalt structure, strong spin–orbit interaction, and various carrier polarities as well as anomalous Hall effect would be beneficial to develop spintronic heterostructures.</p>\",\"PeriodicalId\":84,\"journal\":{\"name\":\"Journal of Materials Chemistry C\",\"volume\":\" 40\",\"pages\":\" 20728-20734\"},\"PeriodicalIF\":5.1000,\"publicationDate\":\"2025-09-17\",\"publicationTypes\":\"Journal Article\",\"fieldsOfStudy\":null,\"isOpenAccess\":false,\"openAccessPdf\":\"\",\"citationCount\":\"0\",\"resultStr\":null,\"platform\":\"Semanticscholar\",\"paperid\":null,\"PeriodicalName\":\"Journal of Materials Chemistry C\",\"FirstCategoryId\":\"1\",\"ListUrlMain\":\"https://pubs.rsc.org/en/content/articlelanding/2025/tc/d5tc02202a\",\"RegionNum\":2,\"RegionCategory\":\"材料科学\",\"ArticlePicture\":[],\"TitleCN\":null,\"AbstractTextCN\":null,\"PMCID\":null,\"EPubDate\":\"\",\"PubModel\":\"\",\"JCR\":\"Q2\",\"JCRName\":\"MATERIALS SCIENCE, MULTIDISCIPLINARY\",\"Score\":null,\"Total\":0}","platform":"Semanticscholar","paperid":null,"PeriodicalName":"Journal of Materials Chemistry C","FirstCategoryId":"1","ListUrlMain":"https://pubs.rsc.org/en/content/articlelanding/2025/tc/d5tc02202a","RegionNum":2,"RegionCategory":"材料科学","ArticlePicture":[],"TitleCN":null,"AbstractTextCN":null,"PMCID":null,"EPubDate":"","PubModel":"","JCR":"Q2","JCRName":"MATERIALS SCIENCE, MULTIDISCIPLINARY","Score":null,"Total":0}
引用次数: 0

摘要

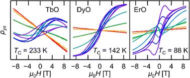
近年来合成的单相重稀土氧化物岩盐型REO (RE = Tb, Dy, Er)具有[Xe]4fn5d1电子构型和较高的居里温度。因此,预计4f-5d杂化将显著影响电输运性质。在本研究中,发现这些reo具有逐渐变化载流子极性的金属导电性,其中TbO为n型金属,DyO为部分补偿的n型金属,ErO为部分补偿的p型金属。载流子极性的变化可能是由于每个RE离子的4f-5d杂化程度。反常霍尔效应比各居里温度下的磁化效应具有更大的剩余物和矫顽力场。有趣的是,与TbO和DyO中常见的正异常霍尔效应逆时针磁滞环相比,ErO显示出异常霍尔效应的顺时针磁滞环,表面上为正异常霍尔系数。这种不寻常的行为很可能是由于多个异常霍尔效应或叠加的半金属普通霍尔效应。简单的岩盐结构、强的自旋轨道相互作用、不同的载流子极性以及反常的霍尔效应有利于自旋电子异质结构的形成。
本文章由计算机程序翻译,如有差异,请以英文原文为准。

Metallic conduction in high Curie temperature ferromagnetic heavy rare earth monoxides REO (RE = Tb, Dy, Er): rare-earth-dependent carrier polarity and anomalous Hall effect

Metallic conduction in high Curie temperature ferromagnetic heavy rare earth monoxides REO (RE = Tb, Dy, Er): rare-earth-dependent carrier polarity and anomalous Hall effect

Recently synthesized single-phase heavy rare earth monoxides, rocksalt type REO (RE = Tb, Dy, Er), exhibited metallic electronic states with [Xe]4fn5d1 electron configurations and high Curie temperature. Hence, the 4f–5d hybridization is expected to significantly influence the electrical transport properties. In this study, these REOs were found to show metallic conduction with gradually varied carrier polarity, where TbO was an n-type metal, DyO was a partially compensated n-type metal, and ErO was a partially compensated p-type metal. This variable carrier polarity is probably due to the degree of 4f–5d hybridization depending on each RE ion. The anomalous Hall effect possessed a larger remanence and coercive field than those of the magnetization below each Curie temperature. Intriguingly, ErO showed unusual clockwise hysteresis loops of the anomalous Hall effect with a superficially positive anomalous Hall coefficient, in contrast with usual anticlockwise hysteresis loops of the positive anomalous Hall effect in TbO and DyO. This unusual behavior of ErO is likely due to multiple anomalous Hall effects or a superposed semimetallic ordinary Hall effect. The simple rocksalt structure, strong spin–orbit interaction, and various carrier polarities as well as anomalous Hall effect would be beneficial to develop spintronic heterostructures.

求助全文
通过发布文献求助,成功后即可免费获取论文全文。 去求助
来源期刊
Journal of Materials Chemistry C
Journal of Materials Chemistry C MATERIALS SCIENCE, MULTIDISCIPLINARY-PHYSICS, APPLIED
CiteScore
10.80
自引率
6.20%
发文量
1468
期刊介绍: The Journal of Materials Chemistry is divided into three distinct sections, A, B, and C, each catering to specific applications of the materials under study: Journal of Materials Chemistry A focuses primarily on materials intended for applications in energy and sustainability. Journal of Materials Chemistry B specializes in materials designed for applications in biology and medicine. Journal of Materials Chemistry C is dedicated to materials suitable for applications in optical, magnetic, and electronic devices. Example topic areas within the scope of Journal of Materials Chemistry C are listed below. This list is neither exhaustive nor exclusive. Bioelectronics Conductors Detectors Dielectrics Displays Ferroelectrics Lasers LEDs Lighting Liquid crystals Memory Metamaterials Multiferroics Photonics Photovoltaics Semiconductors Sensors Single molecule conductors Spintronics Superconductors Thermoelectrics Topological insulators Transistors
×
引用
GB/T 7714-2015
复制
MLA
复制
APA
复制
导出至
BibTeX EndNote RefMan NoteFirst NoteExpress
×
提示
您的信息不完整,为了账户安全,请先补充。
现在去补充
×
提示
您因"违规操作"
具体请查看互助需知
我知道了
×
提示
确定
请完成安全验证×
copy
已复制链接
快去分享给好友吧!
我知道了
右上角分享
点击右上角分享
0
联系我们:info@booksci.cn Book学术提供免费学术资源搜索服务,方便国内外学者检索中英文文献。致力于提供最便捷和优质的服务体验。 Copyright © 2023 布克学术 All rights reserved.
京ICP备2023020795号-1
ghs 京公网安备 11010802042870号
Book学术文献互助
Book学术文献互助群
群 号:604180095
Book学术官方微信