肺癌患者预后营养指数及其组成部分(白蛋白和淋巴细胞计数)与全因死亡率之间的关系:一项数据库外部验证的基于医院的研究

IF 4 2区 农林科学 Q2 NUTRITION & DIETETICS
Frontiers in Nutrition Pub Date : 2025-09-24 eCollection Date: 2025-01-01 DOI:10.3389/fnut.2025.1649334
Zhuolin Qin, Longqian Li, Ming Hou, Cheng Wang
{"title":"肺癌患者预后营养指数及其组成部分(白蛋白和淋巴细胞计数)与全因死亡率之间的关系:一项数据库外部验证的基于医院的研究","authors":"Zhuolin Qin, Longqian Li, Ming Hou, Cheng Wang","doi":"10.3389/fnut.2025.1649334","DOIUrl":null,"url":null,"abstract":"<p><strong>Objective: </strong>This study aimed to evaluate the prognostic value of the Prognostic Nutritional Index (PNI), derived from serum albumin and lymphocyte count, in predicting all-cause mortality among lung cancer patients, using both a hospital-based cohort and an external validation dataset.</p><p><strong>Methods: </strong>A hospital-based retrospective cohort study was conducted, supplemented with external validation using the NHANES database. Univariate and multivariate Cox proportional hazards regression analyses were performed to assess associations between PNI, its components, and mortality. Variance inflation factor (VIF) testing was used to evaluate multicollinearity. Kaplan-Meier (KM) curves and log-rank tests were employed to compare survival across PNI tertiles. Restricted cubic spline (RCS) models were applied to examine non-linear relationships between continuous variables and mortality risk.</p><p><strong>Results: </strong>In the hospital cohort, univariate Cox analysis revealed significant associations between PNI (HR = 0.89, 95% CI: 0.85-0.93, <i>p</i> < 0.01), albumin (HR = 0.88, 95% CI: 0.86-0.92, <i>p</i> < 0.01), lymphocyte count (HR = 0.60, 95% CI: 0.50-0.80, <i>p</i> < 0.01), and mortality. After multivariate adjustment and VIF testing (all VIF < 5), PNI remained an independent predictor of mortality. KM curves showed significant survival differences across PNI tertiles (log-rank <i>p</i> < 0.001). RCS analysis indicated a non-linear relationship between PNI and mortality risk (<i>p</i> for nonlinear = 0.007). External validation using NHANES data consistently supported the association between PNI and mortality, with significant survival differences in KM analysis (log-rank <i>p</i> = 0.011) and a non-linear trend in RCS.</p><p><strong>Conclusion: </strong>PNI and its components-albumin and lymphocyte count-are significantly associated with all-cause mortality in lung cancer patients. PNI demonstrates promise as a practical and reproducible prognostic indicator, potentially aiding in risk stratification and clinical decision-making.</p>","PeriodicalId":12473,"journal":{"name":"Frontiers in Nutrition","volume":"12 ","pages":"1649334"},"PeriodicalIF":4.0000,"publicationDate":"2025-09-24","publicationTypes":"Journal Article","fieldsOfStudy":null,"isOpenAccess":false,"openAccessPdf":"https://www.ncbi.nlm.nih.gov/pmc/articles/PMC12505659/pdf/","citationCount":"0","resultStr":"{\"title\":\"The relationship between prognostic nutritional index and its components (albumin and lymphocyte count) and all-cause mortality in lung cancer patients: a hospital-based study with database external validation.\",\"authors\":\"Zhuolin Qin, Longqian Li, Ming Hou, Cheng Wang\",\"doi\":\"10.3389/fnut.2025.1649334\",\"DOIUrl\":null,\"url\":null,\"abstract\":\"<p><strong>Objective: </strong>This study aimed to evaluate the prognostic value of the Prognostic Nutritional Index (PNI), derived from serum albumin and lymphocyte count, in predicting all-cause mortality among lung cancer patients, using both a hospital-based cohort and an external validation dataset.</p><p><strong>Methods: </strong>A hospital-based retrospective cohort study was conducted, supplemented with external validation using the NHANES database. Univariate and multivariate Cox proportional hazards regression analyses were performed to assess associations between PNI, its components, and mortality. Variance inflation factor (VIF) testing was used to evaluate multicollinearity. Kaplan-Meier (KM) curves and log-rank tests were employed to compare survival across PNI tertiles. Restricted cubic spline (RCS) models were applied to examine non-linear relationships between continuous variables and mortality risk.</p><p><strong>Results: </strong>In the hospital cohort, univariate Cox analysis revealed significant associations between PNI (HR = 0.89, 95% CI: 0.85-0.93, <i>p</i> < 0.01), albumin (HR = 0.88, 95% CI: 0.86-0.92, <i>p</i> < 0.01), lymphocyte count (HR = 0.60, 95% CI: 0.50-0.80, <i>p</i> < 0.01), and mortality. After multivariate adjustment and VIF testing (all VIF < 5), PNI remained an independent predictor of mortality. KM curves showed significant survival differences across PNI tertiles (log-rank <i>p</i> < 0.001). RCS analysis indicated a non-linear relationship between PNI and mortality risk (<i>p</i> for nonlinear = 0.007). External validation using NHANES data consistently supported the association between PNI and mortality, with significant survival differences in KM analysis (log-rank <i>p</i> = 0.011) and a non-linear trend in RCS.</p><p><strong>Conclusion: </strong>PNI and its components-albumin and lymphocyte count-are significantly associated with all-cause mortality in lung cancer patients. PNI demonstrates promise as a practical and reproducible prognostic indicator, potentially aiding in risk stratification and clinical decision-making.</p>\",\"PeriodicalId\":12473,\"journal\":{\"name\":\"Frontiers in Nutrition\",\"volume\":\"12 \",\"pages\":\"1649334\"},\"PeriodicalIF\":4.0000,\"publicationDate\":\"2025-09-24\",\"publicationTypes\":\"Journal Article\",\"fieldsOfStudy\":null,\"isOpenAccess\":false,\"openAccessPdf\":\"https://www.ncbi.nlm.nih.gov/pmc/articles/PMC12505659/pdf/\",\"citationCount\":\"0\",\"resultStr\":null,\"platform\":\"Semanticscholar\",\"paperid\":null,\"PeriodicalName\":\"Frontiers in Nutrition\",\"FirstCategoryId\":\"97\",\"ListUrlMain\":\"https://doi.org/10.3389/fnut.2025.1649334\",\"RegionNum\":2,\"RegionCategory\":\"农林科学\",\"ArticlePicture\":[],\"TitleCN\":null,\"AbstractTextCN\":null,\"PMCID\":null,\"EPubDate\":\"2025/1/1 0:00:00\",\"PubModel\":\"eCollection\",\"JCR\":\"Q2\",\"JCRName\":\"NUTRITION & DIETETICS\",\"Score\":null,\"Total\":0}","platform":"Semanticscholar","paperid":null,"PeriodicalName":"Frontiers in Nutrition","FirstCategoryId":"97","ListUrlMain":"https://doi.org/10.3389/fnut.2025.1649334","RegionNum":2,"RegionCategory":"农林科学","ArticlePicture":[],"TitleCN":null,"AbstractTextCN":null,"PMCID":null,"EPubDate":"2025/1/1 0:00:00","PubModel":"eCollection","JCR":"Q2","JCRName":"NUTRITION & DIETETICS","Score":null,"Total":0}
引用次数: 0

摘要

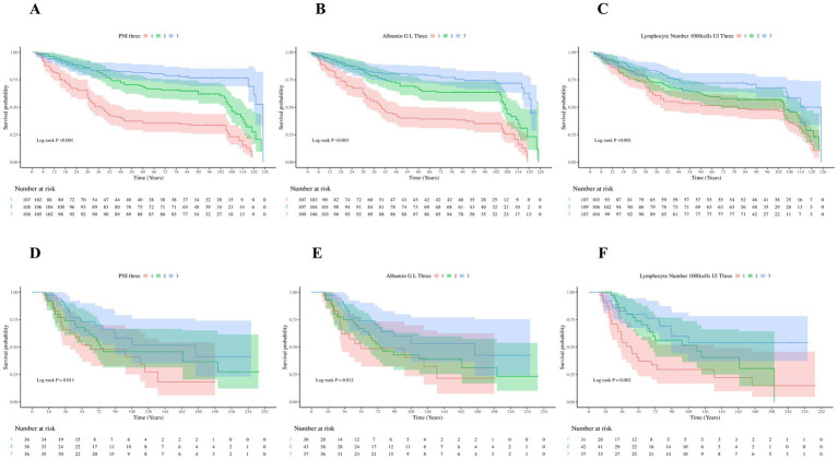
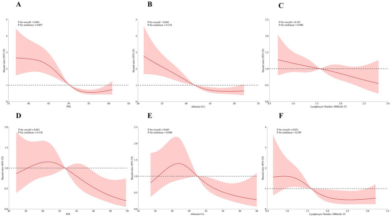
目的:本研究旨在通过基于医院的队列和外部验证数据集,评估预后营养指数(PNI)在预测肺癌患者全因死亡率方面的预后价值,PNI来源于血清白蛋白和淋巴细胞计数。方法:进行了一项以医院为基础的回顾性队列研究,并辅以使用NHANES数据库的外部验证。进行单因素和多因素Cox比例风险回归分析,以评估PNI及其组成部分与死亡率之间的关系。采用方差膨胀因子(VIF)检验评价多重共线性。Kaplan-Meier (KM)曲线和log-rank检验用于比较PNI各分位数的生存率。限制三次样条(RCS)模型用于检验连续变量与死亡风险之间的非线性关系。结果:在医院队列中,单因素Cox分析显示PNI之间存在显著相关性(HR = 0.89, 95% CI: 0.85-0.93, p p p p p非线性= 0.007)。使用NHANES数据进行的外部验证一致支持PNI与死亡率之间的关联,KM分析中存在显著的生存差异(log-rank p = 0.011), RCS呈非线性趋势。结论:PNI及其组分白蛋白和淋巴细胞计数与肺癌患者的全因死亡率显著相关。PNI作为一种实用的、可重复的预后指标,有望帮助风险分层和临床决策。
本文章由计算机程序翻译,如有差异,请以英文原文为准。

The relationship between prognostic nutritional index and its components (albumin and lymphocyte count) and all-cause mortality in lung cancer patients: a hospital-based study with database external validation.

The relationship between prognostic nutritional index and its components (albumin and lymphocyte count) and all-cause mortality in lung cancer patients: a hospital-based study with database external validation.

The relationship between prognostic nutritional index and its components (albumin and lymphocyte count) and all-cause mortality in lung cancer patients: a hospital-based study with database external validation.

The relationship between prognostic nutritional index and its components (albumin and lymphocyte count) and all-cause mortality in lung cancer patients: a hospital-based study with database external validation.

Objective: This study aimed to evaluate the prognostic value of the Prognostic Nutritional Index (PNI), derived from serum albumin and lymphocyte count, in predicting all-cause mortality among lung cancer patients, using both a hospital-based cohort and an external validation dataset.

Methods: A hospital-based retrospective cohort study was conducted, supplemented with external validation using the NHANES database. Univariate and multivariate Cox proportional hazards regression analyses were performed to assess associations between PNI, its components, and mortality. Variance inflation factor (VIF) testing was used to evaluate multicollinearity. Kaplan-Meier (KM) curves and log-rank tests were employed to compare survival across PNI tertiles. Restricted cubic spline (RCS) models were applied to examine non-linear relationships between continuous variables and mortality risk.

Results: In the hospital cohort, univariate Cox analysis revealed significant associations between PNI (HR = 0.89, 95% CI: 0.85-0.93, p < 0.01), albumin (HR = 0.88, 95% CI: 0.86-0.92, p < 0.01), lymphocyte count (HR = 0.60, 95% CI: 0.50-0.80, p < 0.01), and mortality. After multivariate adjustment and VIF testing (all VIF < 5), PNI remained an independent predictor of mortality. KM curves showed significant survival differences across PNI tertiles (log-rank p < 0.001). RCS analysis indicated a non-linear relationship between PNI and mortality risk (p for nonlinear = 0.007). External validation using NHANES data consistently supported the association between PNI and mortality, with significant survival differences in KM analysis (log-rank p = 0.011) and a non-linear trend in RCS.

Conclusion: PNI and its components-albumin and lymphocyte count-are significantly associated with all-cause mortality in lung cancer patients. PNI demonstrates promise as a practical and reproducible prognostic indicator, potentially aiding in risk stratification and clinical decision-making.

求助全文
通过发布文献求助,成功后即可免费获取论文全文。 去求助
来源期刊
Frontiers in Nutrition
Frontiers in Nutrition Agricultural and Biological Sciences-Food Science
CiteScore
5.20
自引率
8.00%
发文量
2891
审稿时长
12 weeks
期刊介绍: No subject pertains more to human life than nutrition. The aim of Frontiers in Nutrition is to integrate major scientific disciplines in this vast field in order to address the most relevant and pertinent questions and developments. Our ambition is to create an integrated podium based on original research, clinical trials, and contemporary reviews to build a reputable knowledge forum in the domains of human health, dietary behaviors, agronomy & 21st century food science. Through the recognized open-access Frontiers platform we welcome manuscripts to our dedicated sections relating to different areas in the field of nutrition with a focus on human health. Specialty sections in Frontiers in Nutrition include, for example, Clinical Nutrition, Nutrition & Sustainable Diets, Nutrition and Food Science Technology, Nutrition Methodology, Sport & Exercise Nutrition, Food Chemistry, and Nutritional Immunology. Based on the publication of rigorous scientific research, we thrive to achieve a visible impact on the global nutrition agenda addressing the grand challenges of our time, including obesity, malnutrition, hunger, food waste, sustainability and consumer health.
×
引用
GB/T 7714-2015
复制
MLA
复制
APA
复制
导出至
BibTeX EndNote RefMan NoteFirst NoteExpress
×
提示
您的信息不完整,为了账户安全,请先补充。
现在去补充
×
提示
您因"违规操作"
具体请查看互助需知
我知道了
×
提示
确定
请完成安全验证×
copy
已复制链接
快去分享给好友吧!
我知道了
右上角分享
点击右上角分享
0
联系我们:info@booksci.cn Book学术提供免费学术资源搜索服务,方便国内外学者检索中英文文献。致力于提供最便捷和优质的服务体验。 Copyright © 2023 布克学术 All rights reserved.
京ICP备2023020795号-1
ghs 京公网安备 11010802042870号
Book学术文献互助
Book学术文献互助群
群 号:604180095
Book学术官方微信