铜绿假单胞菌生物膜治疗中α-淀粉酶介导的抗生素降解和封存。

IF 4.6 2区 医学 Q1 INFECTIOUS DISEASES
Robert K Murray, Allison E Martin, Sarah Zipkowitz, Nusrat Jahan, Tony D Davis, Whitni K Redman
{"title":"铜绿假单胞菌生物膜治疗中α-淀粉酶介导的抗生素降解和封存。","authors":"Robert K Murray, Allison E Martin, Sarah Zipkowitz, Nusrat Jahan, Tony D Davis, Whitni K Redman","doi":"10.3390/antibiotics14090941","DOIUrl":null,"url":null,"abstract":"<p><strong>Background: </strong>As of 2022, 80% of all documented microbial infections are biofilm-associated: communities of microorganisms adhered to a surface and enclosed in a complex extracellular polymeric substance (EPS). The EPS acts as a physical barrier protecting the bacteria from antimicrobial agents and host immune responses. To combat this hurdle, the application of glycoside hydrolases (GH) has been investigated due to their ability to cleave particular structural polysaccharides within the EPS, thus breaking down the protective barrier and improving antibiotic clearance. While various studies demonstrate the capacity of GHs to improve antibiotic efficacy against biofilms in combination, there is clear differential success between these treatments depending on the GH and antibiotic chosen. Due to the overlap of GH targets and antibiotic structures, it is imperative to ensure that the antibiotics in combinatorial treatments are not degraded by the GH.</p><p><strong>Methods: </strong>This study aimed to screen the GH α-amylase produced from <i>Aspergillus oryzae</i> (AO) and <i>Bacillus subtilis</i> (BS), combined with various antibiotics from different classes, charges, and mode of actions by determining MICs. against the bacterium <i>Pseudomonas aeruginosa</i> (PA) of 6 antibiotics with or without α-amylase and treat 2-day PA biofilms with antibiotics with or without GHs. Liquid Chromatography Tandem Mass Spectrometry (LC-MS/MS) stability assays and Differential Scanning Fluorimetry (DSF) were conducted to determine antibiotic and GH degradation as well as antibiotic sequestration.</p><p><strong>Results: </strong>Increased MICs in the presence of GHs as well as decreased antibiotic clearance against 2-day biofilms were suggestive of antibiotic degradation. LC-MS/MS stability assays of tetracycline and ciprofloxacin in the presence and absence of α-amylase further demonstrated the α-amylase-mediated antibiotic sequestration. Differential scanning fluorimetry (DSF) assays confirmed α-amylase-antibiotic interactions.</p><p><strong>Conclusions: </strong>This study suggests that α-amylase is capable of degrading and sequestering a variety of antibiotics, and the degree to which these phenomena occur varies depending upon the source of the GH. As a potential treatment for biofilm-associated infections, it is imperative that the GH + antibiotic combinations are determined compatible prior to clinical use.</p>","PeriodicalId":54246,"journal":{"name":"Antibiotics-Basel","volume":"14 9","pages":""},"PeriodicalIF":4.6000,"publicationDate":"2025-09-18","publicationTypes":"Journal Article","fieldsOfStudy":null,"isOpenAccess":false,"openAccessPdf":"https://www.ncbi.nlm.nih.gov/pmc/articles/PMC12466716/pdf/","citationCount":"0","resultStr":"{\"title\":\"α-Amylase-Mediated Antibiotic Degradation and Sequestration in <i>Pseudomonas aeruginosa</i> Biofilm Therapy.\",\"authors\":\"Robert K Murray, Allison E Martin, Sarah Zipkowitz, Nusrat Jahan, Tony D Davis, Whitni K Redman\",\"doi\":\"10.3390/antibiotics14090941\",\"DOIUrl\":null,\"url\":null,\"abstract\":\"<p><strong>Background: </strong>As of 2022, 80% of all documented microbial infections are biofilm-associated: communities of microorganisms adhered to a surface and enclosed in a complex extracellular polymeric substance (EPS). The EPS acts as a physical barrier protecting the bacteria from antimicrobial agents and host immune responses. To combat this hurdle, the application of glycoside hydrolases (GH) has been investigated due to their ability to cleave particular structural polysaccharides within the EPS, thus breaking down the protective barrier and improving antibiotic clearance. While various studies demonstrate the capacity of GHs to improve antibiotic efficacy against biofilms in combination, there is clear differential success between these treatments depending on the GH and antibiotic chosen. Due to the overlap of GH targets and antibiotic structures, it is imperative to ensure that the antibiotics in combinatorial treatments are not degraded by the GH.</p><p><strong>Methods: </strong>This study aimed to screen the GH α-amylase produced from <i>Aspergillus oryzae</i> (AO) and <i>Bacillus subtilis</i> (BS), combined with various antibiotics from different classes, charges, and mode of actions by determining MICs. against the bacterium <i>Pseudomonas aeruginosa</i> (PA) of 6 antibiotics with or without α-amylase and treat 2-day PA biofilms with antibiotics with or without GHs. Liquid Chromatography Tandem Mass Spectrometry (LC-MS/MS) stability assays and Differential Scanning Fluorimetry (DSF) were conducted to determine antibiotic and GH degradation as well as antibiotic sequestration.</p><p><strong>Results: </strong>Increased MICs in the presence of GHs as well as decreased antibiotic clearance against 2-day biofilms were suggestive of antibiotic degradation. LC-MS/MS stability assays of tetracycline and ciprofloxacin in the presence and absence of α-amylase further demonstrated the α-amylase-mediated antibiotic sequestration. Differential scanning fluorimetry (DSF) assays confirmed α-amylase-antibiotic interactions.</p><p><strong>Conclusions: </strong>This study suggests that α-amylase is capable of degrading and sequestering a variety of antibiotics, and the degree to which these phenomena occur varies depending upon the source of the GH. As a potential treatment for biofilm-associated infections, it is imperative that the GH + antibiotic combinations are determined compatible prior to clinical use.</p>\",\"PeriodicalId\":54246,\"journal\":{\"name\":\"Antibiotics-Basel\",\"volume\":\"14 9\",\"pages\":\"\"},\"PeriodicalIF\":4.6000,\"publicationDate\":\"2025-09-18\",\"publicationTypes\":\"Journal Article\",\"fieldsOfStudy\":null,\"isOpenAccess\":false,\"openAccessPdf\":\"https://www.ncbi.nlm.nih.gov/pmc/articles/PMC12466716/pdf/\",\"citationCount\":\"0\",\"resultStr\":null,\"platform\":\"Semanticscholar\",\"paperid\":null,\"PeriodicalName\":\"Antibiotics-Basel\",\"FirstCategoryId\":\"3\",\"ListUrlMain\":\"https://doi.org/10.3390/antibiotics14090941\",\"RegionNum\":2,\"RegionCategory\":\"医学\",\"ArticlePicture\":[],\"TitleCN\":null,\"AbstractTextCN\":null,\"PMCID\":null,\"EPubDate\":\"\",\"PubModel\":\"\",\"JCR\":\"Q1\",\"JCRName\":\"INFECTIOUS DISEASES\",\"Score\":null,\"Total\":0}","platform":"Semanticscholar","paperid":null,"PeriodicalName":"Antibiotics-Basel","FirstCategoryId":"3","ListUrlMain":"https://doi.org/10.3390/antibiotics14090941","RegionNum":2,"RegionCategory":"医学","ArticlePicture":[],"TitleCN":null,"AbstractTextCN":null,"PMCID":null,"EPubDate":"","PubModel":"","JCR":"Q1","JCRName":"INFECTIOUS DISEASES","Score":null,"Total":0}
引用次数: 0

摘要

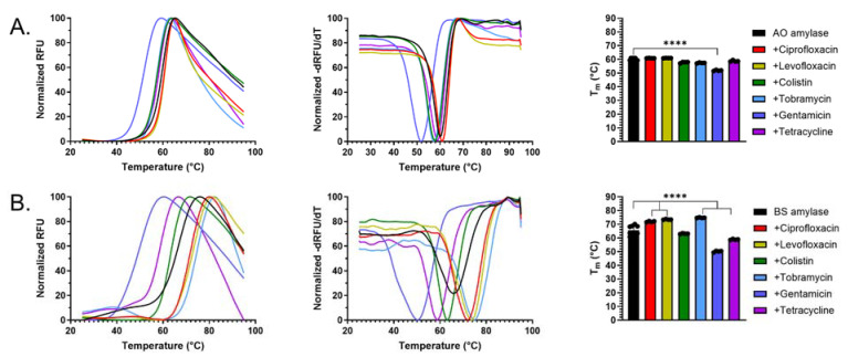
背景:截至2022年,所有记录的微生物感染中有80%与生物膜相关:微生物群落粘附在表面并被复杂的细胞外聚合物(EPS)包围。EPS作为一种物理屏障,保护细菌免受抗菌剂和宿主免疫反应的侵害。为了克服这一障碍,人们研究了糖苷水解酶(GH)的应用,因为它们能够在EPS内切割特定结构的多糖,从而打破保护屏障,提高抗生素的清除。虽然各种研究表明生长激素联合使用能够提高抗生素对生物膜的疗效,但根据所选择的生长激素和抗生素,这些治疗方法的成功程度明显不同。由于生长激素的靶点和抗生素结构的重叠,确保抗生素在组合治疗中不被生长激素降解是至关重要的。方法:通过mic测定,筛选米曲霉(Aspergillus oryzae, AO)和枯草芽孢杆菌(Bacillus subtilis, BS)联合不同类别、不同收费、不同作用方式的抗生素产生的生长激素α-淀粉酶。6种含α-淀粉酶或不含α-淀粉酶的抗生素对铜绿假单胞菌(PA)的抑制作用,并分别用含或不含GHs的抗生素处理2 d PA生物膜。采用液相色谱串联质谱(LC-MS/MS)稳定性测定和差示扫描荧光法(DSF)测定抗生素和生长激素的降解以及抗生素的固存。结果:在GHs存在下,mic增加,对2天生物膜的抗生素清除率降低,表明抗生素降解。在存在α-淀粉酶和不存在α-淀粉酶的情况下,对四环素和环丙沙星进行LC-MS/MS稳定性分析,进一步证实了α-淀粉酶介导的抗生素隔离作用。差示扫描荧光法(DSF)测定证实α-淀粉酶-抗生素相互作用。结论:本研究提示α-淀粉酶能够降解和隔离多种抗生素,并且这种现象发生的程度随生长激素来源的不同而不同。作为生物膜相关感染的潜在治疗方法,必须在临床使用前确定生长激素+抗生素组合的兼容性。
本文章由计算机程序翻译,如有差异,请以英文原文为准。

α-Amylase-Mediated Antibiotic Degradation and Sequestration in <i>Pseudomonas aeruginosa</i> Biofilm Therapy.

α-Amylase-Mediated Antibiotic Degradation and Sequestration in <i>Pseudomonas aeruginosa</i> Biofilm Therapy.

α-Amylase-Mediated Antibiotic Degradation and Sequestration in <i>Pseudomonas aeruginosa</i> Biofilm Therapy.

α-Amylase-Mediated Antibiotic Degradation and Sequestration in Pseudomonas aeruginosa Biofilm Therapy.

Background: As of 2022, 80% of all documented microbial infections are biofilm-associated: communities of microorganisms adhered to a surface and enclosed in a complex extracellular polymeric substance (EPS). The EPS acts as a physical barrier protecting the bacteria from antimicrobial agents and host immune responses. To combat this hurdle, the application of glycoside hydrolases (GH) has been investigated due to their ability to cleave particular structural polysaccharides within the EPS, thus breaking down the protective barrier and improving antibiotic clearance. While various studies demonstrate the capacity of GHs to improve antibiotic efficacy against biofilms in combination, there is clear differential success between these treatments depending on the GH and antibiotic chosen. Due to the overlap of GH targets and antibiotic structures, it is imperative to ensure that the antibiotics in combinatorial treatments are not degraded by the GH.

Methods: This study aimed to screen the GH α-amylase produced from Aspergillus oryzae (AO) and Bacillus subtilis (BS), combined with various antibiotics from different classes, charges, and mode of actions by determining MICs. against the bacterium Pseudomonas aeruginosa (PA) of 6 antibiotics with or without α-amylase and treat 2-day PA biofilms with antibiotics with or without GHs. Liquid Chromatography Tandem Mass Spectrometry (LC-MS/MS) stability assays and Differential Scanning Fluorimetry (DSF) were conducted to determine antibiotic and GH degradation as well as antibiotic sequestration.

Results: Increased MICs in the presence of GHs as well as decreased antibiotic clearance against 2-day biofilms were suggestive of antibiotic degradation. LC-MS/MS stability assays of tetracycline and ciprofloxacin in the presence and absence of α-amylase further demonstrated the α-amylase-mediated antibiotic sequestration. Differential scanning fluorimetry (DSF) assays confirmed α-amylase-antibiotic interactions.

Conclusions: This study suggests that α-amylase is capable of degrading and sequestering a variety of antibiotics, and the degree to which these phenomena occur varies depending upon the source of the GH. As a potential treatment for biofilm-associated infections, it is imperative that the GH + antibiotic combinations are determined compatible prior to clinical use.

求助全文
通过发布文献求助,成功后即可免费获取论文全文。 去求助
来源期刊
Antibiotics-Basel
Antibiotics-Basel Pharmacology, Toxicology and Pharmaceutics-General Pharmacology, Toxicology and Pharmaceutics
CiteScore
7.30
自引率
14.60%
发文量
1547
审稿时长
11 weeks
期刊介绍: Antibiotics (ISSN 2079-6382) is an open access, peer reviewed journal on all aspects of antibiotics. Antibiotics is a multi-disciplinary journal encompassing the general fields of biochemistry, chemistry, genetics, microbiology and pharmacology. Our aim is to encourage scientists to publish their experimental and theoretical results in as much detail as possible. Therefore, there is no restriction on the length of papers.
×
引用
GB/T 7714-2015
复制
MLA
复制
APA
复制
导出至
BibTeX EndNote RefMan NoteFirst NoteExpress
×
提示
您的信息不完整,为了账户安全,请先补充。
现在去补充
×
提示
您因"违规操作"
具体请查看互助需知
我知道了
×
提示
确定
请完成安全验证×
copy
已复制链接
快去分享给好友吧!
我知道了
右上角分享
点击右上角分享
0
联系我们:info@booksci.cn Book学术提供免费学术资源搜索服务,方便国内外学者检索中英文文献。致力于提供最便捷和优质的服务体验。 Copyright © 2023 布克学术 All rights reserved.
京ICP备2023020795号-1
ghs 京公网安备 11010802042870号
Book学术文献互助
Book学术文献互助群
群 号:604180095
Book学术官方微信