基因组分析揭示香港菜市场肺炎克雷伯菌临床相关的抗微生物药物耐药性和毒力基因。

IF 4.6 2区 医学 Q1 INFECTIOUS DISEASES
Wing Yui Ngan, Subramanya Rao, Aster Hei Yiu Fung, Olivier Habimana
{"title":"基因组分析揭示香港菜市场肺炎克雷伯菌临床相关的抗微生物药物耐药性和毒力基因。","authors":"Wing Yui Ngan, Subramanya Rao, Aster Hei Yiu Fung, Olivier Habimana","doi":"10.3390/antibiotics14090922","DOIUrl":null,"url":null,"abstract":"<p><p><b>Background:</b><i>Klebsiella pneumoniae</i> is a highly dangerous microorganism that presents significant challenges to effectively eliminate in food production facilities, making it a serious and urgent public health concern. The wet markets of Hong Kong represent a considerable yet insufficiently explored source for the spread of microorganisms. <b>Methods:</b> This investigation employed whole-genome sequencing and comparative genomics to assess the genomic variation and adaptive traits of <i>K. pneumoniae</i> extracted from wooden cutting boards in these marketplaces. We examined four wet market isolates in conjunction with 39 publicly accessible genomes from diverse origins. <b>Results:</b> Pan-genome analysis revealed a diverse and open genetic structure significantly shaped by horizontal gene transfer. Phylogenetic reconstruction did not categorize the wet market isolates into a singular clade, indicating varied contamination sources; nonetheless, certain market isolates exhibited close phylogenetic affiliations with high-risk clinical clones, implying possible spillover events. These isolates exhibited a concerning variety of antimicrobial resistance genes (ARGs), chiefly encoding efflux pumps (acrAB, oqxAB), which confer resistance to numerous drug categories. Moreover, the evaluation for pathogenicity attributes uncovered genes associated with robust biofilm development (fim and mrk operons) and efficient iron procurement strategies. <b>Conclusions:</b> The existence of these genetically adaptable isolates, possessing multidrug resistance and virulence factors, renders wet markets potential amplifiers and reservoirs for the spread of resistant pathogens. These findings present the initial genomic evidence of such risks in Hong Kong's wet markets and emphasize the immediate necessity for improved hygiene protocols and comprehensive One Health surveillance to reduce transmission at the human-animal-environment interface.</p>","PeriodicalId":54246,"journal":{"name":"Antibiotics-Basel","volume":"14 9","pages":""},"PeriodicalIF":4.6000,"publicationDate":"2025-09-12","publicationTypes":"Journal Article","fieldsOfStudy":null,"isOpenAccess":false,"openAccessPdf":"https://www.ncbi.nlm.nih.gov/pmc/articles/PMC12466527/pdf/","citationCount":"0","resultStr":"{\"title\":\"Genomic Profiling Reveals Clinically Relevant Antimicrobial Resistance and Virulence Genes in <i>Klebsiella pneumoniae</i> from Hong Kong Wet Markets.\",\"authors\":\"Wing Yui Ngan, Subramanya Rao, Aster Hei Yiu Fung, Olivier Habimana\",\"doi\":\"10.3390/antibiotics14090922\",\"DOIUrl\":null,\"url\":null,\"abstract\":\"<p><p><b>Background:</b><i>Klebsiella pneumoniae</i> is a highly dangerous microorganism that presents significant challenges to effectively eliminate in food production facilities, making it a serious and urgent public health concern. The wet markets of Hong Kong represent a considerable yet insufficiently explored source for the spread of microorganisms. <b>Methods:</b> This investigation employed whole-genome sequencing and comparative genomics to assess the genomic variation and adaptive traits of <i>K. pneumoniae</i> extracted from wooden cutting boards in these marketplaces. We examined four wet market isolates in conjunction with 39 publicly accessible genomes from diverse origins. <b>Results:</b> Pan-genome analysis revealed a diverse and open genetic structure significantly shaped by horizontal gene transfer. Phylogenetic reconstruction did not categorize the wet market isolates into a singular clade, indicating varied contamination sources; nonetheless, certain market isolates exhibited close phylogenetic affiliations with high-risk clinical clones, implying possible spillover events. These isolates exhibited a concerning variety of antimicrobial resistance genes (ARGs), chiefly encoding efflux pumps (acrAB, oqxAB), which confer resistance to numerous drug categories. Moreover, the evaluation for pathogenicity attributes uncovered genes associated with robust biofilm development (fim and mrk operons) and efficient iron procurement strategies. <b>Conclusions:</b> The existence of these genetically adaptable isolates, possessing multidrug resistance and virulence factors, renders wet markets potential amplifiers and reservoirs for the spread of resistant pathogens. These findings present the initial genomic evidence of such risks in Hong Kong's wet markets and emphasize the immediate necessity for improved hygiene protocols and comprehensive One Health surveillance to reduce transmission at the human-animal-environment interface.</p>\",\"PeriodicalId\":54246,\"journal\":{\"name\":\"Antibiotics-Basel\",\"volume\":\"14 9\",\"pages\":\"\"},\"PeriodicalIF\":4.6000,\"publicationDate\":\"2025-09-12\",\"publicationTypes\":\"Journal Article\",\"fieldsOfStudy\":null,\"isOpenAccess\":false,\"openAccessPdf\":\"https://www.ncbi.nlm.nih.gov/pmc/articles/PMC12466527/pdf/\",\"citationCount\":\"0\",\"resultStr\":null,\"platform\":\"Semanticscholar\",\"paperid\":null,\"PeriodicalName\":\"Antibiotics-Basel\",\"FirstCategoryId\":\"3\",\"ListUrlMain\":\"https://doi.org/10.3390/antibiotics14090922\",\"RegionNum\":2,\"RegionCategory\":\"医学\",\"ArticlePicture\":[],\"TitleCN\":null,\"AbstractTextCN\":null,\"PMCID\":null,\"EPubDate\":\"\",\"PubModel\":\"\",\"JCR\":\"Q1\",\"JCRName\":\"INFECTIOUS DISEASES\",\"Score\":null,\"Total\":0}","platform":"Semanticscholar","paperid":null,"PeriodicalName":"Antibiotics-Basel","FirstCategoryId":"3","ListUrlMain":"https://doi.org/10.3390/antibiotics14090922","RegionNum":2,"RegionCategory":"医学","ArticlePicture":[],"TitleCN":null,"AbstractTextCN":null,"PMCID":null,"EPubDate":"","PubModel":"","JCR":"Q1","JCRName":"INFECTIOUS DISEASES","Score":null,"Total":0}
引用次数: 0

摘要

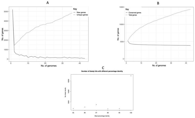
背景:肺炎克雷伯菌是一种高度危险的微生物,对食品生产设施中的有效消除提出了重大挑战,使其成为一个严重而紧迫的公共卫生问题。香港的菜市场是微生物传播的重要来源,但尚未得到充分的探索。方法:本研究采用全基因组测序和比较基因组学方法,评估从这些市场的木制砧板中提取的肺炎克雷伯菌的基因组变异和适应性状。我们结合来自不同来源的39个可公开获取的基因组,研究了4个菜市场分离株。结果:泛基因组分析揭示了水平基因转移对遗传结构的影响。系统发育重建未将菜市场分离菌分类为单一分支,表明污染源存在差异;尽管如此,某些市场分离株表现出与高风险临床克隆密切的系统发育关系,这意味着可能发生溢出事件。这些分离株表现出多种抗菌素耐药基因(ARGs),主要编码外排泵(acrAB, oqxAB),这些基因赋予对许多药物类别的耐药性。此外,对致病性属性的评估揭示了与健壮的生物膜发育(膜和mrk操作子)和有效的铁获取策略相关的基因。结论:这些具有多药耐药和毒力因子的遗传适应性分离株的存在,使菜市场成为耐药病原体传播的潜在放大器和储存库。这些发现提供了香港菜市场存在此类风险的初步基因组证据,并强调迫切需要改进卫生方案和全面的One Health监测,以减少人-动物-环境界面的传播。
本文章由计算机程序翻译,如有差异,请以英文原文为准。

Genomic Profiling Reveals Clinically Relevant Antimicrobial Resistance and Virulence Genes in <i>Klebsiella pneumoniae</i> from Hong Kong Wet Markets.

Genomic Profiling Reveals Clinically Relevant Antimicrobial Resistance and Virulence Genes in <i>Klebsiella pneumoniae</i> from Hong Kong Wet Markets.

Genomic Profiling Reveals Clinically Relevant Antimicrobial Resistance and Virulence Genes in <i>Klebsiella pneumoniae</i> from Hong Kong Wet Markets.

Genomic Profiling Reveals Clinically Relevant Antimicrobial Resistance and Virulence Genes in Klebsiella pneumoniae from Hong Kong Wet Markets.

Background:Klebsiella pneumoniae is a highly dangerous microorganism that presents significant challenges to effectively eliminate in food production facilities, making it a serious and urgent public health concern. The wet markets of Hong Kong represent a considerable yet insufficiently explored source for the spread of microorganisms. Methods: This investigation employed whole-genome sequencing and comparative genomics to assess the genomic variation and adaptive traits of K. pneumoniae extracted from wooden cutting boards in these marketplaces. We examined four wet market isolates in conjunction with 39 publicly accessible genomes from diverse origins. Results: Pan-genome analysis revealed a diverse and open genetic structure significantly shaped by horizontal gene transfer. Phylogenetic reconstruction did not categorize the wet market isolates into a singular clade, indicating varied contamination sources; nonetheless, certain market isolates exhibited close phylogenetic affiliations with high-risk clinical clones, implying possible spillover events. These isolates exhibited a concerning variety of antimicrobial resistance genes (ARGs), chiefly encoding efflux pumps (acrAB, oqxAB), which confer resistance to numerous drug categories. Moreover, the evaluation for pathogenicity attributes uncovered genes associated with robust biofilm development (fim and mrk operons) and efficient iron procurement strategies. Conclusions: The existence of these genetically adaptable isolates, possessing multidrug resistance and virulence factors, renders wet markets potential amplifiers and reservoirs for the spread of resistant pathogens. These findings present the initial genomic evidence of such risks in Hong Kong's wet markets and emphasize the immediate necessity for improved hygiene protocols and comprehensive One Health surveillance to reduce transmission at the human-animal-environment interface.

求助全文
通过发布文献求助,成功后即可免费获取论文全文。 去求助
来源期刊
Antibiotics-Basel
Antibiotics-Basel Pharmacology, Toxicology and Pharmaceutics-General Pharmacology, Toxicology and Pharmaceutics
CiteScore
7.30
自引率
14.60%
发文量
1547
审稿时长
11 weeks
期刊介绍: Antibiotics (ISSN 2079-6382) is an open access, peer reviewed journal on all aspects of antibiotics. Antibiotics is a multi-disciplinary journal encompassing the general fields of biochemistry, chemistry, genetics, microbiology and pharmacology. Our aim is to encourage scientists to publish their experimental and theoretical results in as much detail as possible. Therefore, there is no restriction on the length of papers.
×
引用
GB/T 7714-2015
复制
MLA
复制
APA
复制
导出至
BibTeX EndNote RefMan NoteFirst NoteExpress
×
提示
您的信息不完整,为了账户安全,请先补充。
现在去补充
×
提示
您因"违规操作"
具体请查看互助需知
我知道了
×
提示
确定
请完成安全验证×
copy
已复制链接
快去分享给好友吧!
我知道了
右上角分享
点击右上角分享
0
联系我们:info@booksci.cn Book学术提供免费学术资源搜索服务,方便国内外学者检索中英文文献。致力于提供最便捷和优质的服务体验。 Copyright © 2023 布克学术 All rights reserved.
京ICP备2023020795号-1
ghs 京公网安备 11010802042870号
Book学术文献互助
Book学术文献互助群
群 号:604180095
Book学术官方微信