柬埔寨难辨梭状芽孢杆菌的耐药性。

IF 4.6 2区 医学 Q1 INFECTIOUS DISEASES
Lengsea Eng, Papanin Putsathit, Su-Chen Lim, Jessica M Chisholm, Deirdre A Collins, Archie C A Clements, Kefyalew Addis Alene, Thomas V Riley
{"title":"柬埔寨难辨梭状芽孢杆菌的耐药性。","authors":"Lengsea Eng, Papanin Putsathit, Su-Chen Lim, Jessica M Chisholm, Deirdre A Collins, Archie C A Clements, Kefyalew Addis Alene, Thomas V Riley","doi":"10.3390/antibiotics14090950","DOIUrl":null,"url":null,"abstract":"<p><p><b>Background/Objectives:</b> Antimicrobial resistance (AMR) remains a major topic of interest in infectious disease management. We studied AMR in <i>Clostridioides difficile</i> isolated in Cambodia. <b>Methods:</b> Agar dilution susceptibility testing was performed according to the CLSI guidelines to determine minimal inhibitory concentrations (MICs) of 10 antimicrobials for 192 isolates of <i>C. difficile</i> from four populations in Cambodia: hospitalised adults, hospitalised children, children from an outpatient department (OPD), and healthy adolescents in the community. <b>Results:</b> Using the CLSI MIC breakpoints for anaerobes and EUCAST breakpoints for <i>C. difficile</i>, all isolates were susceptible to vancomycin, metronidazole, fidaxomicin, and amoxicillin/clavulanic acid, and none were resistant to meropenem. The resistance proportions were for clindamycin, 88% (169/192); tetracycline, 50% (96/192); moxifloxacin, 20% (38/192); and rifaximin, 8% (15/192). Among the 169 clindamycin-resistant isolates, 56.8% (96/169) had an erythromycin MIC of >512 mg/L. Multidrug resistance (MDR) occurred in 20% (39/192) of the isolates, of which 82% (32/39) were non-toxigenic strains. The proportion of MDR varied between collections of isolates from different populations: 28.6% (22/77) in hospitalised adults, 29.8% (14/47) in hospitalised children, 5% (3/59) in OPD children, and none (00/07) in healthy adolescents in the community. <b>Conclusions:</b><i>C. difficile</i> isolates from Cambodia remained susceptible to antimicrobials used to treat <i>C. difficile</i> infection: vancomycin, metronidazole, and fidaxomicin; however, high proportions of resistance to clindamycin and tetracycline were observed. The high number of MDR strains of <i>C. difficile</i> is a threat to AMR management in Cambodia and a factor contributing to the persistent spread of <i>C. difficile</i> in both hospital and community settings.</p>","PeriodicalId":54246,"journal":{"name":"Antibiotics-Basel","volume":"14 9","pages":""},"PeriodicalIF":4.6000,"publicationDate":"2025-09-19","publicationTypes":"Journal Article","fieldsOfStudy":null,"isOpenAccess":false,"openAccessPdf":"https://www.ncbi.nlm.nih.gov/pmc/articles/PMC12466596/pdf/","citationCount":"0","resultStr":"{\"title\":\"Antimicrobial Resistance of <i>Clostridioides</i> (<i>Clostridium</i>) <i>difficile</i> in Cambodia.\",\"authors\":\"Lengsea Eng, Papanin Putsathit, Su-Chen Lim, Jessica M Chisholm, Deirdre A Collins, Archie C A Clements, Kefyalew Addis Alene, Thomas V Riley\",\"doi\":\"10.3390/antibiotics14090950\",\"DOIUrl\":null,\"url\":null,\"abstract\":\"<p><p><b>Background/Objectives:</b> Antimicrobial resistance (AMR) remains a major topic of interest in infectious disease management. We studied AMR in <i>Clostridioides difficile</i> isolated in Cambodia. <b>Methods:</b> Agar dilution susceptibility testing was performed according to the CLSI guidelines to determine minimal inhibitory concentrations (MICs) of 10 antimicrobials for 192 isolates of <i>C. difficile</i> from four populations in Cambodia: hospitalised adults, hospitalised children, children from an outpatient department (OPD), and healthy adolescents in the community. <b>Results:</b> Using the CLSI MIC breakpoints for anaerobes and EUCAST breakpoints for <i>C. difficile</i>, all isolates were susceptible to vancomycin, metronidazole, fidaxomicin, and amoxicillin/clavulanic acid, and none were resistant to meropenem. The resistance proportions were for clindamycin, 88% (169/192); tetracycline, 50% (96/192); moxifloxacin, 20% (38/192); and rifaximin, 8% (15/192). Among the 169 clindamycin-resistant isolates, 56.8% (96/169) had an erythromycin MIC of >512 mg/L. Multidrug resistance (MDR) occurred in 20% (39/192) of the isolates, of which 82% (32/39) were non-toxigenic strains. The proportion of MDR varied between collections of isolates from different populations: 28.6% (22/77) in hospitalised adults, 29.8% (14/47) in hospitalised children, 5% (3/59) in OPD children, and none (00/07) in healthy adolescents in the community. <b>Conclusions:</b><i>C. difficile</i> isolates from Cambodia remained susceptible to antimicrobials used to treat <i>C. difficile</i> infection: vancomycin, metronidazole, and fidaxomicin; however, high proportions of resistance to clindamycin and tetracycline were observed. The high number of MDR strains of <i>C. difficile</i> is a threat to AMR management in Cambodia and a factor contributing to the persistent spread of <i>C. difficile</i> in both hospital and community settings.</p>\",\"PeriodicalId\":54246,\"journal\":{\"name\":\"Antibiotics-Basel\",\"volume\":\"14 9\",\"pages\":\"\"},\"PeriodicalIF\":4.6000,\"publicationDate\":\"2025-09-19\",\"publicationTypes\":\"Journal Article\",\"fieldsOfStudy\":null,\"isOpenAccess\":false,\"openAccessPdf\":\"https://www.ncbi.nlm.nih.gov/pmc/articles/PMC12466596/pdf/\",\"citationCount\":\"0\",\"resultStr\":null,\"platform\":\"Semanticscholar\",\"paperid\":null,\"PeriodicalName\":\"Antibiotics-Basel\",\"FirstCategoryId\":\"3\",\"ListUrlMain\":\"https://doi.org/10.3390/antibiotics14090950\",\"RegionNum\":2,\"RegionCategory\":\"医学\",\"ArticlePicture\":[],\"TitleCN\":null,\"AbstractTextCN\":null,\"PMCID\":null,\"EPubDate\":\"\",\"PubModel\":\"\",\"JCR\":\"Q1\",\"JCRName\":\"INFECTIOUS DISEASES\",\"Score\":null,\"Total\":0}","platform":"Semanticscholar","paperid":null,"PeriodicalName":"Antibiotics-Basel","FirstCategoryId":"3","ListUrlMain":"https://doi.org/10.3390/antibiotics14090950","RegionNum":2,"RegionCategory":"医学","ArticlePicture":[],"TitleCN":null,"AbstractTextCN":null,"PMCID":null,"EPubDate":"","PubModel":"","JCR":"Q1","JCRName":"INFECTIOUS DISEASES","Score":null,"Total":0}
引用次数: 0

摘要

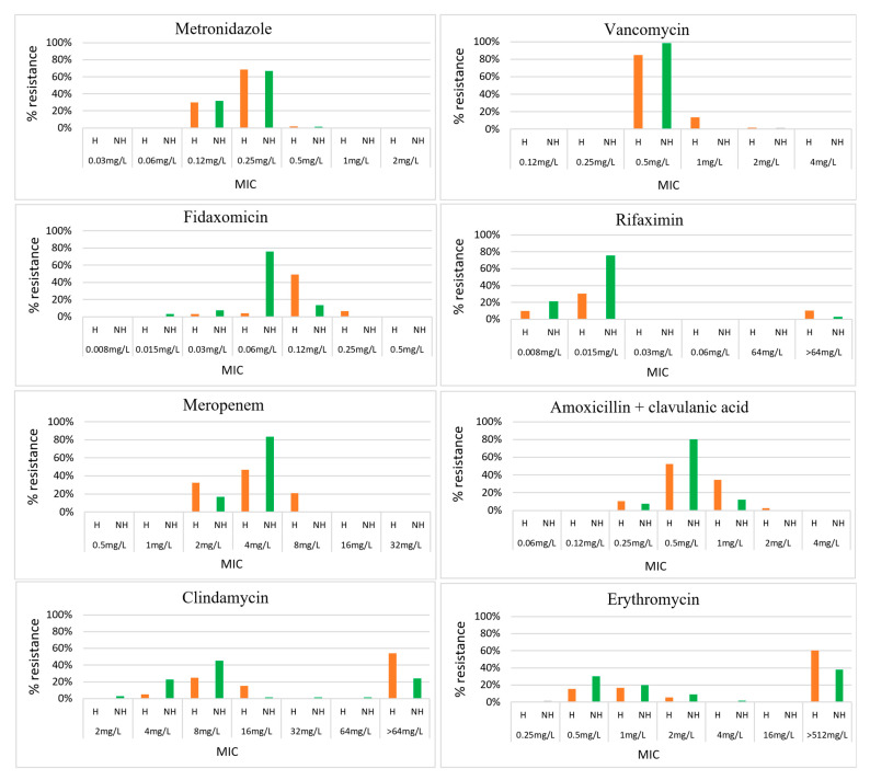
背景/目的:抗菌素耐药性(AMR)仍然是传染病管理中一个重要的话题。我们对柬埔寨分离的艰难梭菌进行了AMR研究。方法:根据CLSI指南进行琼脂稀释药敏试验,以确定来自柬埔寨四个人群(住院成人、住院儿童、门诊儿童和社区健康青少年)的192株艰难梭菌的10种抗菌素的最低抑菌浓度(mic)。结果:采用厌氧菌的CLSI MIC断点和艰难梭菌的EUCAST断点,所有分离株对万古霉素、甲硝唑、非达霉素和阿莫西林/克拉维酸敏感,对美罗培南无耐药。耐药比例以克林霉素为88% (169/192);四环素,50% (96/192);莫西沙星,20% (38/192);利福昔明,8%(15/192)。169株克林霉素耐药菌株中,56.8%(96/169)的红霉素MIC为5605mg /L。20%(39/192)的菌株出现多药耐药(MDR),其中82%(32/39)为非产毒株。从不同人群收集的分离株中,耐多药耐药比例各不相同:住院成人28.6%(22/77),住院儿童29.8%(14/47),门诊儿童5%(3/59),社区健康青少年无(00/07)。结论:C。柬埔寨难辨梭菌分离株仍然对用于治疗难辨梭菌感染的抗菌素敏感:万古霉素、甲硝唑和非达霉素;然而,对克林霉素和四环素的耐药比例很高。难辨梭菌耐多药菌株数量众多,对柬埔寨的抗菌素耐药性管理构成威胁,也是难辨梭菌在医院和社区环境中持续传播的一个因素。
本文章由计算机程序翻译,如有差异,请以英文原文为准。

Antimicrobial Resistance of <i>Clostridioides</i> (<i>Clostridium</i>) <i>difficile</i> in Cambodia.

Antimicrobial Resistance of <i>Clostridioides</i> (<i>Clostridium</i>) <i>difficile</i> in Cambodia.

Antimicrobial Resistance of <i>Clostridioides</i> (<i>Clostridium</i>) <i>difficile</i> in Cambodia.

Antimicrobial Resistance of Clostridioides (Clostridium) difficile in Cambodia.

Background/Objectives: Antimicrobial resistance (AMR) remains a major topic of interest in infectious disease management. We studied AMR in Clostridioides difficile isolated in Cambodia. Methods: Agar dilution susceptibility testing was performed according to the CLSI guidelines to determine minimal inhibitory concentrations (MICs) of 10 antimicrobials for 192 isolates of C. difficile from four populations in Cambodia: hospitalised adults, hospitalised children, children from an outpatient department (OPD), and healthy adolescents in the community. Results: Using the CLSI MIC breakpoints for anaerobes and EUCAST breakpoints for C. difficile, all isolates were susceptible to vancomycin, metronidazole, fidaxomicin, and amoxicillin/clavulanic acid, and none were resistant to meropenem. The resistance proportions were for clindamycin, 88% (169/192); tetracycline, 50% (96/192); moxifloxacin, 20% (38/192); and rifaximin, 8% (15/192). Among the 169 clindamycin-resistant isolates, 56.8% (96/169) had an erythromycin MIC of >512 mg/L. Multidrug resistance (MDR) occurred in 20% (39/192) of the isolates, of which 82% (32/39) were non-toxigenic strains. The proportion of MDR varied between collections of isolates from different populations: 28.6% (22/77) in hospitalised adults, 29.8% (14/47) in hospitalised children, 5% (3/59) in OPD children, and none (00/07) in healthy adolescents in the community. Conclusions:C. difficile isolates from Cambodia remained susceptible to antimicrobials used to treat C. difficile infection: vancomycin, metronidazole, and fidaxomicin; however, high proportions of resistance to clindamycin and tetracycline were observed. The high number of MDR strains of C. difficile is a threat to AMR management in Cambodia and a factor contributing to the persistent spread of C. difficile in both hospital and community settings.

求助全文
通过发布文献求助,成功后即可免费获取论文全文。 去求助
来源期刊
Antibiotics-Basel
Antibiotics-Basel Pharmacology, Toxicology and Pharmaceutics-General Pharmacology, Toxicology and Pharmaceutics
CiteScore
7.30
自引率
14.60%
发文量
1547
审稿时长
11 weeks
期刊介绍: Antibiotics (ISSN 2079-6382) is an open access, peer reviewed journal on all aspects of antibiotics. Antibiotics is a multi-disciplinary journal encompassing the general fields of biochemistry, chemistry, genetics, microbiology and pharmacology. Our aim is to encourage scientists to publish their experimental and theoretical results in as much detail as possible. Therefore, there is no restriction on the length of papers.
×
引用
GB/T 7714-2015
复制
MLA
复制
APA
复制
导出至
BibTeX EndNote RefMan NoteFirst NoteExpress
×
提示
您的信息不完整,为了账户安全,请先补充。
现在去补充
×
提示
您因"违规操作"
具体请查看互助需知
我知道了
×
提示
确定
请完成安全验证×
copy
已复制链接
快去分享给好友吧!
我知道了
右上角分享
点击右上角分享
0
联系我们:info@booksci.cn Book学术提供免费学术资源搜索服务,方便国内外学者检索中英文文献。致力于提供最便捷和优质的服务体验。 Copyright © 2023 布克学术 All rights reserved.
京ICP备2023020795号-1
ghs 京公网安备 11010802042870号
Book学术文献互助
Book学术文献互助群
群 号:604180095
Book学术官方微信