罗马尼亚心血管和移植中心的卫生保健相关感染和抗菌素耐药性负担:与死亡率相关的因素

IF 4.6 2区 医学 Q1 INFECTIOUS DISEASES
Mihaela-Alexandra Budianu, Cristina Nicoleta Ciurea, Liviu Moraru, Septimiu Voidăzan
{"title":"罗马尼亚心血管和移植中心的卫生保健相关感染和抗菌素耐药性负担:与死亡率相关的因素","authors":"Mihaela-Alexandra Budianu, Cristina Nicoleta Ciurea, Liviu Moraru, Septimiu Voidăzan","doi":"10.3390/antibiotics14090926","DOIUrl":null,"url":null,"abstract":"<p><strong>Background/objectives: </strong>Healthcare-associated infections (HAIs) are a major burden in tertiary hospitals, particularly in high-risk populations such as cardiovascular and transplant patients. The emergence of antimicrobial resistance (AMR) further complicates management, contributes to poor outcomes and increases costs. This study aimed to describe the burden of HAIs, the antimicrobial resistance patterns of the main pathogens, and to identify predictors of mortality among patients hospitalized in a Romanian cardiovascular and transplant center.</p><p><strong>Methods: </strong>We conducted a retrospective study including all patients with HAIs reported to the Infection Prevention and Control Service of the Emergency Institute for Cardiovascular Diseases and Transplantation, Târgu Mureș, Romania, between 2023 and the first quarter of 2025. Descriptive statistics summarized demographic and clinical data. Univariable and multivariable logistic regression were used to assess risk factors for mortality. Antimicrobial resistance was evaluated through cumulative antibiograms.</p><p><strong>Results: </strong>A total of 139 HAIs were reported during the study period, with a prevalence of 1.05% in 2023 and 1.0% in 2024. The most common pathogens were SARS-CoV-2 (15%), <i>Klebsiella pneumoniae</i> (14%), and <i>Acinetobacter baumannii</i> (13%). Overall, all-cause in-hospital mortality was 32%, with 30% of deaths associated with <i>A. baumannii</i> and 27% with <i>K. pneumoniae</i>. More than half of bacterial isolates were resistant to multiple antibiotic classes; 22% were extensively drug-resistant. ICU admission and treatment with more than three antibiotics were independently associated with mortality.</p><p><strong>Conclusions: </strong>Although the prevalence of HAIs in our study was low, the cases that occurred in cardiovascular and transplant patients were often severe, frequently involved multidrug-resistant organisms, and were associated with high mortality. Strengthening infection prevention and antimicrobial stewardship is essential to reduce the impact of HAIs in this vulnerable population.</p>","PeriodicalId":54246,"journal":{"name":"Antibiotics-Basel","volume":"14 9","pages":""},"PeriodicalIF":4.6000,"publicationDate":"2025-09-13","publicationTypes":"Journal Article","fieldsOfStudy":null,"isOpenAccess":false,"openAccessPdf":"https://www.ncbi.nlm.nih.gov/pmc/articles/PMC12466688/pdf/","citationCount":"0","resultStr":"{\"title\":\"Burden of Healthcare-Associated Infections and Antimicrobial Resistance in a Romanian Cardiovascular and Transplant Center: Factors Associated with Mortality.\",\"authors\":\"Mihaela-Alexandra Budianu, Cristina Nicoleta Ciurea, Liviu Moraru, Septimiu Voidăzan\",\"doi\":\"10.3390/antibiotics14090926\",\"DOIUrl\":null,\"url\":null,\"abstract\":\"<p><strong>Background/objectives: </strong>Healthcare-associated infections (HAIs) are a major burden in tertiary hospitals, particularly in high-risk populations such as cardiovascular and transplant patients. The emergence of antimicrobial resistance (AMR) further complicates management, contributes to poor outcomes and increases costs. This study aimed to describe the burden of HAIs, the antimicrobial resistance patterns of the main pathogens, and to identify predictors of mortality among patients hospitalized in a Romanian cardiovascular and transplant center.</p><p><strong>Methods: </strong>We conducted a retrospective study including all patients with HAIs reported to the Infection Prevention and Control Service of the Emergency Institute for Cardiovascular Diseases and Transplantation, Târgu Mureș, Romania, between 2023 and the first quarter of 2025. Descriptive statistics summarized demographic and clinical data. Univariable and multivariable logistic regression were used to assess risk factors for mortality. Antimicrobial resistance was evaluated through cumulative antibiograms.</p><p><strong>Results: </strong>A total of 139 HAIs were reported during the study period, with a prevalence of 1.05% in 2023 and 1.0% in 2024. The most common pathogens were SARS-CoV-2 (15%), <i>Klebsiella pneumoniae</i> (14%), and <i>Acinetobacter baumannii</i> (13%). Overall, all-cause in-hospital mortality was 32%, with 30% of deaths associated with <i>A. baumannii</i> and 27% with <i>K. pneumoniae</i>. More than half of bacterial isolates were resistant to multiple antibiotic classes; 22% were extensively drug-resistant. ICU admission and treatment with more than three antibiotics were independently associated with mortality.</p><p><strong>Conclusions: </strong>Although the prevalence of HAIs in our study was low, the cases that occurred in cardiovascular and transplant patients were often severe, frequently involved multidrug-resistant organisms, and were associated with high mortality. Strengthening infection prevention and antimicrobial stewardship is essential to reduce the impact of HAIs in this vulnerable population.</p>\",\"PeriodicalId\":54246,\"journal\":{\"name\":\"Antibiotics-Basel\",\"volume\":\"14 9\",\"pages\":\"\"},\"PeriodicalIF\":4.6000,\"publicationDate\":\"2025-09-13\",\"publicationTypes\":\"Journal Article\",\"fieldsOfStudy\":null,\"isOpenAccess\":false,\"openAccessPdf\":\"https://www.ncbi.nlm.nih.gov/pmc/articles/PMC12466688/pdf/\",\"citationCount\":\"0\",\"resultStr\":null,\"platform\":\"Semanticscholar\",\"paperid\":null,\"PeriodicalName\":\"Antibiotics-Basel\",\"FirstCategoryId\":\"3\",\"ListUrlMain\":\"https://doi.org/10.3390/antibiotics14090926\",\"RegionNum\":2,\"RegionCategory\":\"医学\",\"ArticlePicture\":[],\"TitleCN\":null,\"AbstractTextCN\":null,\"PMCID\":null,\"EPubDate\":\"\",\"PubModel\":\"\",\"JCR\":\"Q1\",\"JCRName\":\"INFECTIOUS DISEASES\",\"Score\":null,\"Total\":0}","platform":"Semanticscholar","paperid":null,"PeriodicalName":"Antibiotics-Basel","FirstCategoryId":"3","ListUrlMain":"https://doi.org/10.3390/antibiotics14090926","RegionNum":2,"RegionCategory":"医学","ArticlePicture":[],"TitleCN":null,"AbstractTextCN":null,"PMCID":null,"EPubDate":"","PubModel":"","JCR":"Q1","JCRName":"INFECTIOUS DISEASES","Score":null,"Total":0}
引用次数: 0

摘要

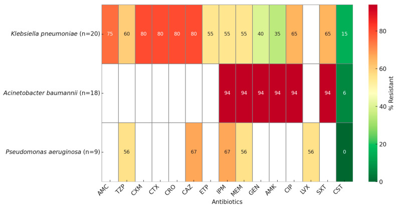
背景/目的:医疗保健相关感染(HAIs)是三级医院的主要负担,特别是在高危人群,如心血管和移植患者中。抗菌素耐药性(AMR)的出现进一步使管理复杂化,导致不良结果并增加成本。本研究旨在描述HAIs的负担,主要病原体的抗微生物药物耐药性模式,并确定罗马尼亚心血管和移植中心住院患者的死亡率预测因素。方法:我们进行了一项回顾性研究,纳入了2023年至2025年第一季度在罗马尼亚穆列乌斯丁市心血管疾病和移植急诊研究所感染预防和控制服务处报告的所有HAIs患者。描述性统计总结了人口统计学和临床数据。采用单变量和多变量logistic回归评估死亡率的危险因素。通过累积抗生素图评估抗菌素耐药性。结果:研究期间共报告HAIs 139例,患病率2023年为1.05%,2024年为1.0%。最常见的病原体是SARS-CoV-2(15%)、肺炎克雷伯菌(14%)和鲍曼不动杆菌(13%)。总体而言,全因住院死亡率为32%,其中30%的死亡与鲍曼不动杆菌有关,27%与肺炎克雷伯菌有关。一半以上的细菌分离株对多种抗生素耐药;22%广泛耐药。ICU住院和使用三种以上抗生素治疗与死亡率独立相关。结论:尽管本研究中HAIs的患病率较低,但发生在心血管和移植患者中的病例往往很严重,经常涉及多药耐药菌,并伴有高死亡率。加强感染预防和抗微生物药物管理对于减少艾滋病病毒感染对这一脆弱人群的影响至关重要。
本文章由计算机程序翻译,如有差异,请以英文原文为准。

Burden of Healthcare-Associated Infections and Antimicrobial Resistance in a Romanian Cardiovascular and Transplant Center: Factors Associated with Mortality.

Burden of Healthcare-Associated Infections and Antimicrobial Resistance in a Romanian Cardiovascular and Transplant Center: Factors Associated with Mortality.

Burden of Healthcare-Associated Infections and Antimicrobial Resistance in a Romanian Cardiovascular and Transplant Center: Factors Associated with Mortality.

Burden of Healthcare-Associated Infections and Antimicrobial Resistance in a Romanian Cardiovascular and Transplant Center: Factors Associated with Mortality.

Background/objectives: Healthcare-associated infections (HAIs) are a major burden in tertiary hospitals, particularly in high-risk populations such as cardiovascular and transplant patients. The emergence of antimicrobial resistance (AMR) further complicates management, contributes to poor outcomes and increases costs. This study aimed to describe the burden of HAIs, the antimicrobial resistance patterns of the main pathogens, and to identify predictors of mortality among patients hospitalized in a Romanian cardiovascular and transplant center.

Methods: We conducted a retrospective study including all patients with HAIs reported to the Infection Prevention and Control Service of the Emergency Institute for Cardiovascular Diseases and Transplantation, Târgu Mureș, Romania, between 2023 and the first quarter of 2025. Descriptive statistics summarized demographic and clinical data. Univariable and multivariable logistic regression were used to assess risk factors for mortality. Antimicrobial resistance was evaluated through cumulative antibiograms.

Results: A total of 139 HAIs were reported during the study period, with a prevalence of 1.05% in 2023 and 1.0% in 2024. The most common pathogens were SARS-CoV-2 (15%), Klebsiella pneumoniae (14%), and Acinetobacter baumannii (13%). Overall, all-cause in-hospital mortality was 32%, with 30% of deaths associated with A. baumannii and 27% with K. pneumoniae. More than half of bacterial isolates were resistant to multiple antibiotic classes; 22% were extensively drug-resistant. ICU admission and treatment with more than three antibiotics were independently associated with mortality.

Conclusions: Although the prevalence of HAIs in our study was low, the cases that occurred in cardiovascular and transplant patients were often severe, frequently involved multidrug-resistant organisms, and were associated with high mortality. Strengthening infection prevention and antimicrobial stewardship is essential to reduce the impact of HAIs in this vulnerable population.

求助全文
通过发布文献求助,成功后即可免费获取论文全文。 去求助
来源期刊
Antibiotics-Basel
Antibiotics-Basel Pharmacology, Toxicology and Pharmaceutics-General Pharmacology, Toxicology and Pharmaceutics
CiteScore
7.30
自引率
14.60%
发文量
1547
审稿时长
11 weeks
期刊介绍: Antibiotics (ISSN 2079-6382) is an open access, peer reviewed journal on all aspects of antibiotics. Antibiotics is a multi-disciplinary journal encompassing the general fields of biochemistry, chemistry, genetics, microbiology and pharmacology. Our aim is to encourage scientists to publish their experimental and theoretical results in as much detail as possible. Therefore, there is no restriction on the length of papers.
×
引用
GB/T 7714-2015
复制
MLA
复制
APA
复制
导出至
BibTeX EndNote RefMan NoteFirst NoteExpress
×
提示
您的信息不完整,为了账户安全,请先补充。
现在去补充
×
提示
您因"违规操作"
具体请查看互助需知
我知道了
×
提示
确定
请完成安全验证×
copy
已复制链接
快去分享给好友吧!
我知道了
右上角分享
点击右上角分享
0
联系我们:info@booksci.cn Book学术提供免费学术资源搜索服务,方便国内外学者检索中英文文献。致力于提供最便捷和优质的服务体验。 Copyright © 2023 布克学术 All rights reserved.
京ICP备2023020795号-1
ghs 京公网安备 11010802042870号
Book学术文献互助
Book学术文献互助群
群 号:604180095
Book学术官方微信