万古霉素、头孢曲松和庆大霉素对痤疮表皮杆菌的协同抑菌活性:体外棋盘格分析及与mellonella生物活性玻璃的体内相互作用。

IF 4.6 2区 医学 Q1 INFECTIOUS DISEASES
Mariana Neri Lucas Kurihara, Isabelle Frois Brasil, Mayara Muniz de Andrade Silva, Mauro Jose Salles
{"title":"万古霉素、头孢曲松和庆大霉素对痤疮表皮杆菌的协同抑菌活性:体外棋盘格分析及与mellonella生物活性玻璃的体内相互作用。","authors":"Mariana Neri Lucas Kurihara, Isabelle Frois Brasil, Mayara Muniz de Andrade Silva, Mauro Jose Salles","doi":"10.3390/antibiotics14090923","DOIUrl":null,"url":null,"abstract":"<p><strong>Background/objectives: </strong><i>Cutibacterium acnes</i> is increasingly recognized as a relevant pathogen in orthopaedic implant-associated infections, yet treatment strategies remain largely empirical. With rising antimicrobial resistance and scarce data on drug interactions, optimizing targeted therapies is essential. This preclinical study investigated the efficacy and synergism of vancomycin (VA), gentamicin (GEN), and ceftriaxone (CTX) against two clinical phylotype IB strains from orthopaedic infections and the reference strain <i>C. acnes</i> ATCC 6919, using both in vitro and in vivo models.</p><p><strong>Methods: </strong>Minimum inhibitory concentrations (MICs) were determined using broth microdilution following BrCAST guidelines. Synergistic activity was assessed using the checkerboard assay and interpreted via fractional inhibitory concentration indices (FICIs). The in vivo efficacy of antibiotic combinations with bioactive glass S53P4 (BAG) was evaluated in the <i>Galleria mellonella</i> infection model.</p><p><strong>Results: </strong>All <i>C. acnes</i> strains exhibited uniformly low MICs. Synergistic activity was observed for CTX combined with GEN in strain 2 (FICI range 0.25-0.37), while partial synergy was detected for CTX with GEN in strain 1 (FICI ≈ 0.56-0.63), and for CTX combined with VA in the ATCC strain (FICI = 0.66). All other combinations demonstrated indifferent interactions. In the <i>G. mellonella</i> model, a high bacterial inoculum (OD<sub>600</sub> of 3.0) was needed to establish an infection. For all strains tested, the use of antibiotics in combination with BAG improved larval survival. For the clinical strains, the combination of CTX + GEN + BAG and BAG alone demonstrated greater efficacy in promoting larval survival.</p><p><strong>Conclusions: </strong>Acombination of a cephalosporin with an aminoglycoside, particularly when incorporated into a biomaterial matrix, enhances antimicrobial activity against both clinical and reference strains of <i>C. acnes</i>.</p>","PeriodicalId":54246,"journal":{"name":"Antibiotics-Basel","volume":"14 9","pages":""},"PeriodicalIF":4.6000,"publicationDate":"2025-09-12","publicationTypes":"Journal Article","fieldsOfStudy":null,"isOpenAccess":false,"openAccessPdf":"https://www.ncbi.nlm.nih.gov/pmc/articles/PMC12466660/pdf/","citationCount":"0","resultStr":"{\"title\":\"Synergistic Antimicrobial Activity of Vancomycin, Ceftriaxone, and Gentamicin Against <i>Cutibacterium acnes</i> Strains: An In Vitro Checkerboard Analysis and In Vivo Interaction with Bioactive Glass Using <i>Galleria mellonella</i>.\",\"authors\":\"Mariana Neri Lucas Kurihara, Isabelle Frois Brasil, Mayara Muniz de Andrade Silva, Mauro Jose Salles\",\"doi\":\"10.3390/antibiotics14090923\",\"DOIUrl\":null,\"url\":null,\"abstract\":\"<p><strong>Background/objectives: </strong><i>Cutibacterium acnes</i> is increasingly recognized as a relevant pathogen in orthopaedic implant-associated infections, yet treatment strategies remain largely empirical. With rising antimicrobial resistance and scarce data on drug interactions, optimizing targeted therapies is essential. This preclinical study investigated the efficacy and synergism of vancomycin (VA), gentamicin (GEN), and ceftriaxone (CTX) against two clinical phylotype IB strains from orthopaedic infections and the reference strain <i>C. acnes</i> ATCC 6919, using both in vitro and in vivo models.</p><p><strong>Methods: </strong>Minimum inhibitory concentrations (MICs) were determined using broth microdilution following BrCAST guidelines. Synergistic activity was assessed using the checkerboard assay and interpreted via fractional inhibitory concentration indices (FICIs). The in vivo efficacy of antibiotic combinations with bioactive glass S53P4 (BAG) was evaluated in the <i>Galleria mellonella</i> infection model.</p><p><strong>Results: </strong>All <i>C. acnes</i> strains exhibited uniformly low MICs. Synergistic activity was observed for CTX combined with GEN in strain 2 (FICI range 0.25-0.37), while partial synergy was detected for CTX with GEN in strain 1 (FICI ≈ 0.56-0.63), and for CTX combined with VA in the ATCC strain (FICI = 0.66). All other combinations demonstrated indifferent interactions. In the <i>G. mellonella</i> model, a high bacterial inoculum (OD<sub>600</sub> of 3.0) was needed to establish an infection. For all strains tested, the use of antibiotics in combination with BAG improved larval survival. For the clinical strains, the combination of CTX + GEN + BAG and BAG alone demonstrated greater efficacy in promoting larval survival.</p><p><strong>Conclusions: </strong>Acombination of a cephalosporin with an aminoglycoside, particularly when incorporated into a biomaterial matrix, enhances antimicrobial activity against both clinical and reference strains of <i>C. acnes</i>.</p>\",\"PeriodicalId\":54246,\"journal\":{\"name\":\"Antibiotics-Basel\",\"volume\":\"14 9\",\"pages\":\"\"},\"PeriodicalIF\":4.6000,\"publicationDate\":\"2025-09-12\",\"publicationTypes\":\"Journal Article\",\"fieldsOfStudy\":null,\"isOpenAccess\":false,\"openAccessPdf\":\"https://www.ncbi.nlm.nih.gov/pmc/articles/PMC12466660/pdf/\",\"citationCount\":\"0\",\"resultStr\":null,\"platform\":\"Semanticscholar\",\"paperid\":null,\"PeriodicalName\":\"Antibiotics-Basel\",\"FirstCategoryId\":\"3\",\"ListUrlMain\":\"https://doi.org/10.3390/antibiotics14090923\",\"RegionNum\":2,\"RegionCategory\":\"医学\",\"ArticlePicture\":[],\"TitleCN\":null,\"AbstractTextCN\":null,\"PMCID\":null,\"EPubDate\":\"\",\"PubModel\":\"\",\"JCR\":\"Q1\",\"JCRName\":\"INFECTIOUS DISEASES\",\"Score\":null,\"Total\":0}","platform":"Semanticscholar","paperid":null,"PeriodicalName":"Antibiotics-Basel","FirstCategoryId":"3","ListUrlMain":"https://doi.org/10.3390/antibiotics14090923","RegionNum":2,"RegionCategory":"医学","ArticlePicture":[],"TitleCN":null,"AbstractTextCN":null,"PMCID":null,"EPubDate":"","PubModel":"","JCR":"Q1","JCRName":"INFECTIOUS DISEASES","Score":null,"Total":0}
引用次数: 0

摘要

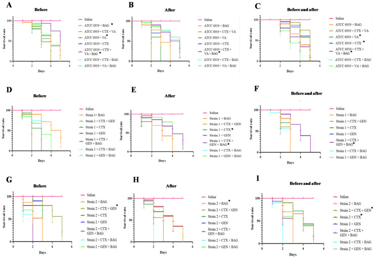
背景/目的:痤疮表皮杆菌越来越被认为是骨科植入物相关感染的相关病原体,但治疗策略仍主要是经验性的。随着抗菌素耐药性的增加和药物相互作用数据的缺乏,优化靶向治疗至关重要。本临床前研究通过体外和体内模型,探讨万古霉素(VA)、庆大霉素(GEN)和头孢曲松(CTX)对两种临床种型IB骨科感染菌株和参考菌株acnes ATCC 6919的疗效和协同作用。方法:采用微量肉汤稀释法测定最低抑菌浓度(mic)。使用棋盘法评估协同活性,并通过分数抑制浓度指数(FICIs)进行解释。在mellonella感染模型中评价抗生素联合生物活性玻璃S53P4 (BAG)的体内疗效。结果:所有痤疮芽孢杆菌株均表现出低mic。在菌株2中,CTX与GEN有协同作用(FICI范围为0.25 ~ 0.37),而在菌株1中,CTX与GEN有部分协同作用(FICI≈0.56 ~ 0.63),在菌株ATCC中,CTX与VA有部分协同作用(FICI = 0.66)。所有其他组合均表现出无关的相互作用。在mellonella模型中,需要较高的细菌接种量(OD600为3.0)才能建立感染。对于所有测试菌株,抗生素与BAG联合使用可提高幼虫存活率。对于临床菌株,CTX + GEN + BAG联合使用和单独使用BAG对促进幼虫存活的效果更佳。结论:头孢菌素与氨基糖苷的联合使用,特别是当合并到生物材料基质中时,可增强对临床和参考菌株的抗菌活性。
本文章由计算机程序翻译,如有差异,请以英文原文为准。

Synergistic Antimicrobial Activity of Vancomycin, Ceftriaxone, and Gentamicin Against <i>Cutibacterium acnes</i> Strains: An In Vitro Checkerboard Analysis and In Vivo Interaction with Bioactive Glass Using <i>Galleria mellonella</i>.

Synergistic Antimicrobial Activity of Vancomycin, Ceftriaxone, and Gentamicin Against <i>Cutibacterium acnes</i> Strains: An In Vitro Checkerboard Analysis and In Vivo Interaction with Bioactive Glass Using <i>Galleria mellonella</i>.

Synergistic Antimicrobial Activity of Vancomycin, Ceftriaxone, and Gentamicin Against Cutibacterium acnes Strains: An In Vitro Checkerboard Analysis and In Vivo Interaction with Bioactive Glass Using Galleria mellonella.

Background/objectives: Cutibacterium acnes is increasingly recognized as a relevant pathogen in orthopaedic implant-associated infections, yet treatment strategies remain largely empirical. With rising antimicrobial resistance and scarce data on drug interactions, optimizing targeted therapies is essential. This preclinical study investigated the efficacy and synergism of vancomycin (VA), gentamicin (GEN), and ceftriaxone (CTX) against two clinical phylotype IB strains from orthopaedic infections and the reference strain C. acnes ATCC 6919, using both in vitro and in vivo models.

Methods: Minimum inhibitory concentrations (MICs) were determined using broth microdilution following BrCAST guidelines. Synergistic activity was assessed using the checkerboard assay and interpreted via fractional inhibitory concentration indices (FICIs). The in vivo efficacy of antibiotic combinations with bioactive glass S53P4 (BAG) was evaluated in the Galleria mellonella infection model.

Results: All C. acnes strains exhibited uniformly low MICs. Synergistic activity was observed for CTX combined with GEN in strain 2 (FICI range 0.25-0.37), while partial synergy was detected for CTX with GEN in strain 1 (FICI ≈ 0.56-0.63), and for CTX combined with VA in the ATCC strain (FICI = 0.66). All other combinations demonstrated indifferent interactions. In the G. mellonella model, a high bacterial inoculum (OD600 of 3.0) was needed to establish an infection. For all strains tested, the use of antibiotics in combination with BAG improved larval survival. For the clinical strains, the combination of CTX + GEN + BAG and BAG alone demonstrated greater efficacy in promoting larval survival.

Conclusions: Acombination of a cephalosporin with an aminoglycoside, particularly when incorporated into a biomaterial matrix, enhances antimicrobial activity against both clinical and reference strains of C. acnes.

求助全文
通过发布文献求助,成功后即可免费获取论文全文。 去求助
来源期刊
Antibiotics-Basel
Antibiotics-Basel Pharmacology, Toxicology and Pharmaceutics-General Pharmacology, Toxicology and Pharmaceutics
CiteScore
7.30
自引率
14.60%
发文量
1547
审稿时长
11 weeks
期刊介绍: Antibiotics (ISSN 2079-6382) is an open access, peer reviewed journal on all aspects of antibiotics. Antibiotics is a multi-disciplinary journal encompassing the general fields of biochemistry, chemistry, genetics, microbiology and pharmacology. Our aim is to encourage scientists to publish their experimental and theoretical results in as much detail as possible. Therefore, there is no restriction on the length of papers.
×
引用
GB/T 7714-2015
复制
MLA
复制
APA
复制
导出至
BibTeX EndNote RefMan NoteFirst NoteExpress
×
提示
您的信息不完整,为了账户安全,请先补充。
现在去补充
×
提示
您因"违规操作"
具体请查看互助需知
我知道了
×
提示
确定
请完成安全验证×
copy
已复制链接
快去分享给好友吧!
我知道了
右上角分享
点击右上角分享
0
联系我们:info@booksci.cn Book学术提供免费学术资源搜索服务,方便国内外学者检索中英文文献。致力于提供最便捷和优质的服务体验。 Copyright © 2023 布克学术 All rights reserved.
京ICP备2023020795号-1
ghs 京公网安备 11010802042870号
Book学术文献互助
Book学术文献互助群
群 号:604180095
Book学术官方微信