大鼠半胱甘氨酸γ-裂解酶产生超硫化物的活性被L-CysNO不可逆地失活,而非被L-GSNO不可逆地失活。

IF 6.6 2区 医学 Q1 BIOCHEMISTRY & MOLECULAR BIOLOGY
Shoma Araki, Tsuyoshi Takata, Sunghyeon Yoon, Shingo Kasamatsu, Hideshi Ihara, Hidehiko Nakagawa, Takaaki Akaike, Yukihiro Tsuchiya, Yasuo Watanabe
{"title":"大鼠半胱甘氨酸γ-裂解酶产生超硫化物的活性被L-CysNO不可逆地失活,而非被L-GSNO不可逆地失活。","authors":"Shoma Araki, Tsuyoshi Takata, Sunghyeon Yoon, Shingo Kasamatsu, Hideshi Ihara, Hidehiko Nakagawa, Takaaki Akaike, Yukihiro Tsuchiya, Yasuo Watanabe","doi":"10.3390/antiox14091113","DOIUrl":null,"url":null,"abstract":"<p><p>Cystathionine γ-lyase (CSE) is a pyridoxal 5'-phosphate (PLP)-dependent enzyme that catalyzes the final step of the transsulfuration pathway, converting cystathionine into cysteine. Additionally, CSE is also essential for the formation of cysteine hydropolysulfide (Cys-S-(S)n-H), known as supersulfides, by metabolizing cystine under pathological conditions. We previously reported that, during cystine metabolism, CSE undergoes self-inactivation through polysulfidation at the Cys136 residue. Here, contrary to the anticipated role of L-S-nitrosocysteine (L-CysNO) as a nitric oxide (NO) donor, we demonstrate that it serves as a substrate for CSE and that its metabolites inhibit the activity of the enzyme during L-CysNO metabolism. The in vitro incubation of CSE-but not the Cys136/171Val mutant-with L-CysNO resulted in the dose-dependent inhibition of supersulfide production, which was not reversed by the reducing agents. Notably, CSE activity remained unchanged upon preincubation with other NO donors, such as S-nitrosoglutathione or D-CysNO, but was inhibited when coincubated with cysteine. Furthermore, when PLP was removed from the CSE/L-CysNO premix, L-CysNO no longer inhibited CSE activity, suggesting that CSE metabolizes L-CysNO and that its metabolites contribute to enzyme inactivation. Indeed, we identified thionitrous acid and pyruvate as the primary CSE/L-CysNO reaction products. Thus, we establish L-CysNO as a CSE substrate and demonstrate that its metabolites act as enzyme inhibitors through a novel irreversible modification at the Cys136/171 residues.</p>","PeriodicalId":7984,"journal":{"name":"Antioxidants","volume":"14 9","pages":""},"PeriodicalIF":6.6000,"publicationDate":"2025-09-13","publicationTypes":"Journal Article","fieldsOfStudy":null,"isOpenAccess":false,"openAccessPdf":"https://www.ncbi.nlm.nih.gov/pmc/articles/PMC12466479/pdf/","citationCount":"0","resultStr":"{\"title\":\"The Supersulfide-Producing Activity of Rat Cystathionine γ-Lyase Is Irreversibly Inactivated by L-CysNO but Not by L-GSNO.\",\"authors\":\"Shoma Araki, Tsuyoshi Takata, Sunghyeon Yoon, Shingo Kasamatsu, Hideshi Ihara, Hidehiko Nakagawa, Takaaki Akaike, Yukihiro Tsuchiya, Yasuo Watanabe\",\"doi\":\"10.3390/antiox14091113\",\"DOIUrl\":null,\"url\":null,\"abstract\":\"<p><p>Cystathionine γ-lyase (CSE) is a pyridoxal 5'-phosphate (PLP)-dependent enzyme that catalyzes the final step of the transsulfuration pathway, converting cystathionine into cysteine. Additionally, CSE is also essential for the formation of cysteine hydropolysulfide (Cys-S-(S)n-H), known as supersulfides, by metabolizing cystine under pathological conditions. We previously reported that, during cystine metabolism, CSE undergoes self-inactivation through polysulfidation at the Cys136 residue. Here, contrary to the anticipated role of L-S-nitrosocysteine (L-CysNO) as a nitric oxide (NO) donor, we demonstrate that it serves as a substrate for CSE and that its metabolites inhibit the activity of the enzyme during L-CysNO metabolism. The in vitro incubation of CSE-but not the Cys136/171Val mutant-with L-CysNO resulted in the dose-dependent inhibition of supersulfide production, which was not reversed by the reducing agents. Notably, CSE activity remained unchanged upon preincubation with other NO donors, such as S-nitrosoglutathione or D-CysNO, but was inhibited when coincubated with cysteine. Furthermore, when PLP was removed from the CSE/L-CysNO premix, L-CysNO no longer inhibited CSE activity, suggesting that CSE metabolizes L-CysNO and that its metabolites contribute to enzyme inactivation. Indeed, we identified thionitrous acid and pyruvate as the primary CSE/L-CysNO reaction products. Thus, we establish L-CysNO as a CSE substrate and demonstrate that its metabolites act as enzyme inhibitors through a novel irreversible modification at the Cys136/171 residues.</p>\",\"PeriodicalId\":7984,\"journal\":{\"name\":\"Antioxidants\",\"volume\":\"14 9\",\"pages\":\"\"},\"PeriodicalIF\":6.6000,\"publicationDate\":\"2025-09-13\",\"publicationTypes\":\"Journal Article\",\"fieldsOfStudy\":null,\"isOpenAccess\":false,\"openAccessPdf\":\"https://www.ncbi.nlm.nih.gov/pmc/articles/PMC12466479/pdf/\",\"citationCount\":\"0\",\"resultStr\":null,\"platform\":\"Semanticscholar\",\"paperid\":null,\"PeriodicalName\":\"Antioxidants\",\"FirstCategoryId\":\"3\",\"ListUrlMain\":\"https://doi.org/10.3390/antiox14091113\",\"RegionNum\":2,\"RegionCategory\":\"医学\",\"ArticlePicture\":[],\"TitleCN\":null,\"AbstractTextCN\":null,\"PMCID\":null,\"EPubDate\":\"\",\"PubModel\":\"\",\"JCR\":\"Q1\",\"JCRName\":\"BIOCHEMISTRY & MOLECULAR BIOLOGY\",\"Score\":null,\"Total\":0}","platform":"Semanticscholar","paperid":null,"PeriodicalName":"Antioxidants","FirstCategoryId":"3","ListUrlMain":"https://doi.org/10.3390/antiox14091113","RegionNum":2,"RegionCategory":"医学","ArticlePicture":[],"TitleCN":null,"AbstractTextCN":null,"PMCID":null,"EPubDate":"","PubModel":"","JCR":"Q1","JCRName":"BIOCHEMISTRY & MOLECULAR BIOLOGY","Score":null,"Total":0}
引用次数: 0

摘要

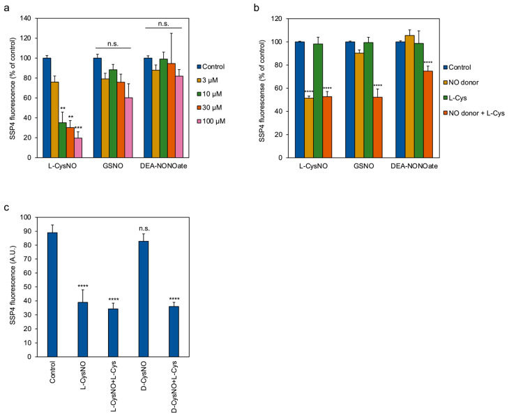
半胱硫氨酸γ-裂解酶(CSE)是一种吡哆醛5'-磷酸(PLP)依赖性酶,催化转硫途径的最后一步,将半胱硫氨酸转化为半胱氨酸。此外,CSE也是病理条件下通过代谢胱氨酸形成半胱氨酸氢多硫化物(Cys-S-(S)n-H)所必需的,称为超硫化物。我们之前报道过,在胱氨酸代谢过程中,CSE通过Cys136残基的多硫化进行自我失活。在这里,与l - s -亚硝基半胱氨酸(L-CysNO)作为一氧化氮(NO)供体的预期作用相反,我们证明它作为CSE的底物,其代谢物在L-CysNO代谢过程中抑制酶的活性。用L-CysNO体外培养cse(而不是Cys136/171Val突变体)可产生剂量依赖性的超硫化物产生抑制,这种抑制不被还原剂逆转。值得注意的是,CSE与其他NO供体(如s -亚硝基谷胱甘肽或D-CysNO)共孵育后活性保持不变,但与半胱氨酸共孵育时活性被抑制。此外,当PLP从CSE/L-CysNO预混物中去除时,L-CysNO不再抑制CSE的活性,这表明CSE代谢L-CysNO,其代谢物有助于酶失活。事实上,我们确定了硫代亚硝酸和丙酮酸是主要的CSE/L-CysNO反应产物。因此,我们建立了L-CysNO作为CSE底物,并证明其代谢产物通过在Cys136/171残基上进行新的不可逆修饰而起酶抑制剂的作用。
本文章由计算机程序翻译,如有差异,请以英文原文为准。

The Supersulfide-Producing Activity of Rat Cystathionine γ-Lyase Is Irreversibly Inactivated by L-CysNO but Not by L-GSNO.

The Supersulfide-Producing Activity of Rat Cystathionine γ-Lyase Is Irreversibly Inactivated by L-CysNO but Not by L-GSNO.

The Supersulfide-Producing Activity of Rat Cystathionine γ-Lyase Is Irreversibly Inactivated by L-CysNO but Not by L-GSNO.

The Supersulfide-Producing Activity of Rat Cystathionine γ-Lyase Is Irreversibly Inactivated by L-CysNO but Not by L-GSNO.

Cystathionine γ-lyase (CSE) is a pyridoxal 5'-phosphate (PLP)-dependent enzyme that catalyzes the final step of the transsulfuration pathway, converting cystathionine into cysteine. Additionally, CSE is also essential for the formation of cysteine hydropolysulfide (Cys-S-(S)n-H), known as supersulfides, by metabolizing cystine under pathological conditions. We previously reported that, during cystine metabolism, CSE undergoes self-inactivation through polysulfidation at the Cys136 residue. Here, contrary to the anticipated role of L-S-nitrosocysteine (L-CysNO) as a nitric oxide (NO) donor, we demonstrate that it serves as a substrate for CSE and that its metabolites inhibit the activity of the enzyme during L-CysNO metabolism. The in vitro incubation of CSE-but not the Cys136/171Val mutant-with L-CysNO resulted in the dose-dependent inhibition of supersulfide production, which was not reversed by the reducing agents. Notably, CSE activity remained unchanged upon preincubation with other NO donors, such as S-nitrosoglutathione or D-CysNO, but was inhibited when coincubated with cysteine. Furthermore, when PLP was removed from the CSE/L-CysNO premix, L-CysNO no longer inhibited CSE activity, suggesting that CSE metabolizes L-CysNO and that its metabolites contribute to enzyme inactivation. Indeed, we identified thionitrous acid and pyruvate as the primary CSE/L-CysNO reaction products. Thus, we establish L-CysNO as a CSE substrate and demonstrate that its metabolites act as enzyme inhibitors through a novel irreversible modification at the Cys136/171 residues.

求助全文
通过发布文献求助,成功后即可免费获取论文全文。 去求助
来源期刊
Antioxidants
Antioxidants Biochemistry, Genetics and Molecular Biology-Physiology
CiteScore
10.60
自引率
11.40%
发文量
2123
审稿时长
16.3 days
期刊介绍: Antioxidants (ISSN 2076-3921), provides an advanced forum for studies related to the science and technology of antioxidants. It publishes research papers, reviews and communications. Our aim is to encourage scientists to publish their experimental and theoretical results in as much detail as possible. There is no restriction on the length of the papers. The full experimental details must be provided so that the results can be reproduced. Electronic files and software regarding the full details of the calculation or experimental procedure, if unable to be published in a normal way, can be deposited as supplementary electronic material.
×
引用
GB/T 7714-2015
复制
MLA
复制
APA
复制
导出至
BibTeX EndNote RefMan NoteFirst NoteExpress
×
提示
您的信息不完整,为了账户安全,请先补充。
现在去补充
×
提示
您因"违规操作"
具体请查看互助需知
我知道了
×
提示
确定
请完成安全验证×
copy
已复制链接
快去分享给好友吧!
我知道了
右上角分享
点击右上角分享
0
联系我们:info@booksci.cn Book学术提供免费学术资源搜索服务,方便国内外学者检索中英文文献。致力于提供最便捷和优质的服务体验。 Copyright © 2023 布克学术 All rights reserved.
京ICP备2023020795号-1
ghs 京公网安备 11010802042870号
Book学术文献互助
Book学术文献互助群
群 号:604180095
Book学术官方微信