菊粉在维持菊芋抗氧化能力和酶活性中的作用冷藏期间的栽培品种。

IF 6.6 2区 医学 Q1 BIOCHEMISTRY & MOLECULAR BIOLOGY
Yuwen Mu, Bohua Zhang, Shiqi Lv, Fencan Li, Changming Zhao
{"title":"菊粉在维持菊芋抗氧化能力和酶活性中的作用冷藏期间的栽培品种。","authors":"Yuwen Mu, Bohua Zhang, Shiqi Lv, Fencan Li, Changming Zhao","doi":"10.3390/antiox14091109","DOIUrl":null,"url":null,"abstract":"<p><p>Jerusalem artichoke (<i>Helianthus tuberosus</i> L.) is valued for its high inulin content and adaptability to marginal lands. This study investigated the changes in inulin content, antioxidant capacity, polyphenol concentrations, and enzymatic activities of eight cultivars during 60 days of cold storage. Inulin levels ranged from 582.43 g/kg (LZJ006) to 809.70 g/kg (LZJ055), with LZJ047 maintaining the highest content throughout storage. The antioxidant potential, as measured by ferric reducing antioxidant power (FRAP) and 2,2-diphenyl-1-picrylhydrazyl (DPPH) assay, declined across all cultivars, correlating with the reduction in inulin content. The polyphenol content varied significantly, with LZJ119 having 2.17 times more than LZJ010. POD activity increased, while catalase (CAT) and superoxide dismutase (SOD) activities fluctuated during the storage period. Hierarchical Cluster Analysis identified three distinct antioxidant clusters, revealing significant correlations between inulin content and key antioxidant parameters (CAT, FRAP, DPPH). These findings highlight the pivotal role of inulin in preserving the antioxidant system and bioactive properties of Jerusalem artichoke tubers during extended cold storage, providing valuable insights for post-harvest management and cultivar selection.</p>","PeriodicalId":7984,"journal":{"name":"Antioxidants","volume":"14 9","pages":""},"PeriodicalIF":6.6000,"publicationDate":"2025-09-12","publicationTypes":"Journal Article","fieldsOfStudy":null,"isOpenAccess":false,"openAccessPdf":"https://www.ncbi.nlm.nih.gov/pmc/articles/PMC12466436/pdf/","citationCount":"0","resultStr":"{\"title\":\"The Role of Inulin in Maintaining Antioxidant Capacity and Enzymatic Activities of Jerusalem Artichoke (<i>Helianthus tuberosus</i> L.) Cultivars During Cold Storage.\",\"authors\":\"Yuwen Mu, Bohua Zhang, Shiqi Lv, Fencan Li, Changming Zhao\",\"doi\":\"10.3390/antiox14091109\",\"DOIUrl\":null,\"url\":null,\"abstract\":\"<p><p>Jerusalem artichoke (<i>Helianthus tuberosus</i> L.) is valued for its high inulin content and adaptability to marginal lands. This study investigated the changes in inulin content, antioxidant capacity, polyphenol concentrations, and enzymatic activities of eight cultivars during 60 days of cold storage. Inulin levels ranged from 582.43 g/kg (LZJ006) to 809.70 g/kg (LZJ055), with LZJ047 maintaining the highest content throughout storage. The antioxidant potential, as measured by ferric reducing antioxidant power (FRAP) and 2,2-diphenyl-1-picrylhydrazyl (DPPH) assay, declined across all cultivars, correlating with the reduction in inulin content. The polyphenol content varied significantly, with LZJ119 having 2.17 times more than LZJ010. POD activity increased, while catalase (CAT) and superoxide dismutase (SOD) activities fluctuated during the storage period. Hierarchical Cluster Analysis identified three distinct antioxidant clusters, revealing significant correlations between inulin content and key antioxidant parameters (CAT, FRAP, DPPH). These findings highlight the pivotal role of inulin in preserving the antioxidant system and bioactive properties of Jerusalem artichoke tubers during extended cold storage, providing valuable insights for post-harvest management and cultivar selection.</p>\",\"PeriodicalId\":7984,\"journal\":{\"name\":\"Antioxidants\",\"volume\":\"14 9\",\"pages\":\"\"},\"PeriodicalIF\":6.6000,\"publicationDate\":\"2025-09-12\",\"publicationTypes\":\"Journal Article\",\"fieldsOfStudy\":null,\"isOpenAccess\":false,\"openAccessPdf\":\"https://www.ncbi.nlm.nih.gov/pmc/articles/PMC12466436/pdf/\",\"citationCount\":\"0\",\"resultStr\":null,\"platform\":\"Semanticscholar\",\"paperid\":null,\"PeriodicalName\":\"Antioxidants\",\"FirstCategoryId\":\"3\",\"ListUrlMain\":\"https://doi.org/10.3390/antiox14091109\",\"RegionNum\":2,\"RegionCategory\":\"医学\",\"ArticlePicture\":[],\"TitleCN\":null,\"AbstractTextCN\":null,\"PMCID\":null,\"EPubDate\":\"\",\"PubModel\":\"\",\"JCR\":\"Q1\",\"JCRName\":\"BIOCHEMISTRY & MOLECULAR BIOLOGY\",\"Score\":null,\"Total\":0}","platform":"Semanticscholar","paperid":null,"PeriodicalName":"Antioxidants","FirstCategoryId":"3","ListUrlMain":"https://doi.org/10.3390/antiox14091109","RegionNum":2,"RegionCategory":"医学","ArticlePicture":[],"TitleCN":null,"AbstractTextCN":null,"PMCID":null,"EPubDate":"","PubModel":"","JCR":"Q1","JCRName":"BIOCHEMISTRY & MOLECULAR BIOLOGY","Score":null,"Total":0}
引用次数: 0

摘要

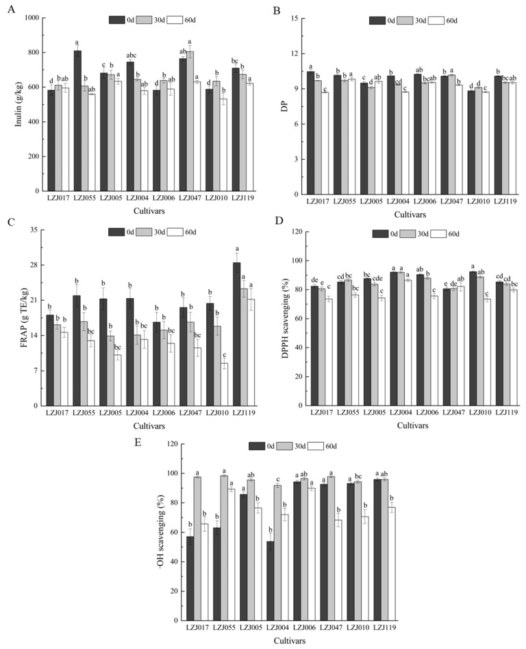
菊芋(Helianthus tuberosus L.)因其高菊粉含量和对边缘土地的适应性而受到重视。研究了8个品种菊粉的含量、抗氧化能力、多酚浓度和酶活性在冷藏60 d期间的变化。菊粉含量范围为582.43 g/kg (LZJ006) ~ 809.70 g/kg (LZJ055),其中LZJ047在贮藏过程中含量最高。通过铁还原抗氧化能力(FRAP)和2,2-二苯基-1-苦酰肼(DPPH)测定,各品种的抗氧化能力均下降,这与菊粉含量的降低有关。其中,LZJ119的多酚含量是LZJ010的2.17倍。POD活性升高,过氧化氢酶(CAT)和超氧化物歧化酶(SOD)活性波动。分层聚类分析鉴定出3个不同的抗氧化簇,揭示了菊粉含量与关键抗氧化参数(CAT、FRAP、DPPH)之间的显著相关性。这些发现强调了菊粉在延长冷藏期间保持耶路撒冷朝鲜蓟的抗氧化系统和生物活性特性中的关键作用,为收获后管理和品种选择提供了有价值的见解。
本文章由计算机程序翻译,如有差异,请以英文原文为准。

The Role of Inulin in Maintaining Antioxidant Capacity and Enzymatic Activities of Jerusalem Artichoke (<i>Helianthus tuberosus</i> L.) Cultivars During Cold Storage.

The Role of Inulin in Maintaining Antioxidant Capacity and Enzymatic Activities of Jerusalem Artichoke (<i>Helianthus tuberosus</i> L.) Cultivars During Cold Storage.

The Role of Inulin in Maintaining Antioxidant Capacity and Enzymatic Activities of Jerusalem Artichoke (<i>Helianthus tuberosus</i> L.) Cultivars During Cold Storage.

The Role of Inulin in Maintaining Antioxidant Capacity and Enzymatic Activities of Jerusalem Artichoke (Helianthus tuberosus L.) Cultivars During Cold Storage.

Jerusalem artichoke (Helianthus tuberosus L.) is valued for its high inulin content and adaptability to marginal lands. This study investigated the changes in inulin content, antioxidant capacity, polyphenol concentrations, and enzymatic activities of eight cultivars during 60 days of cold storage. Inulin levels ranged from 582.43 g/kg (LZJ006) to 809.70 g/kg (LZJ055), with LZJ047 maintaining the highest content throughout storage. The antioxidant potential, as measured by ferric reducing antioxidant power (FRAP) and 2,2-diphenyl-1-picrylhydrazyl (DPPH) assay, declined across all cultivars, correlating with the reduction in inulin content. The polyphenol content varied significantly, with LZJ119 having 2.17 times more than LZJ010. POD activity increased, while catalase (CAT) and superoxide dismutase (SOD) activities fluctuated during the storage period. Hierarchical Cluster Analysis identified three distinct antioxidant clusters, revealing significant correlations between inulin content and key antioxidant parameters (CAT, FRAP, DPPH). These findings highlight the pivotal role of inulin in preserving the antioxidant system and bioactive properties of Jerusalem artichoke tubers during extended cold storage, providing valuable insights for post-harvest management and cultivar selection.

求助全文
通过发布文献求助,成功后即可免费获取论文全文。 去求助
来源期刊
Antioxidants
Antioxidants Biochemistry, Genetics and Molecular Biology-Physiology
CiteScore
10.60
自引率
11.40%
发文量
2123
审稿时长
16.3 days
期刊介绍: Antioxidants (ISSN 2076-3921), provides an advanced forum for studies related to the science and technology of antioxidants. It publishes research papers, reviews and communications. Our aim is to encourage scientists to publish their experimental and theoretical results in as much detail as possible. There is no restriction on the length of the papers. The full experimental details must be provided so that the results can be reproduced. Electronic files and software regarding the full details of the calculation or experimental procedure, if unable to be published in a normal way, can be deposited as supplementary electronic material.
×
引用
GB/T 7714-2015
复制
MLA
复制
APA
复制
导出至
BibTeX EndNote RefMan NoteFirst NoteExpress
×
提示
您的信息不完整,为了账户安全,请先补充。
现在去补充
×
提示
您因"违规操作"
具体请查看互助需知
我知道了
×
提示
确定
请完成安全验证×
copy
已复制链接
快去分享给好友吧!
我知道了
右上角分享
点击右上角分享
0
联系我们:info@booksci.cn Book学术提供免费学术资源搜索服务,方便国内外学者检索中英文文献。致力于提供最便捷和优质的服务体验。 Copyright © 2023 布克学术 All rights reserved.
京ICP备2023020795号-1
ghs 京公网安备 11010802042870号
Book学术文献互助
Book学术文献互助群
群 号:604180095
Book学术官方微信