维生素D保护胰腺癌细胞免受氧化应激引起的死亡和DNA损伤。

IF 6.6 2区 医学 Q1 BIOCHEMISTRY & MOLECULAR BIOLOGY
Izabela Szymczak-Pajor, Egle Morta Antanaviciute, Józef Drzewoski, Ireneusz Majsterek, Agnieszka Śliwińska
{"title":"维生素D保护胰腺癌细胞免受氧化应激引起的死亡和DNA损伤。","authors":"Izabela Szymczak-Pajor, Egle Morta Antanaviciute, Józef Drzewoski, Ireneusz Majsterek, Agnieszka Śliwińska","doi":"10.3390/antiox14091101","DOIUrl":null,"url":null,"abstract":"<p><p>In addition to its well-recognized roles in immunomodulation and calcium phosphate homeostasis, growing evidence shows that Vitamin D (Vit. D) presents a wide range of other properties, including antioxidant and anticancer effects. However, the action of Vit. D is not fully recognized in pancreatic cancer (PC) cells exposed to oxidative stress. Therefore, the aim of the present study was to investigate whether vitamin D<sub>3</sub> (Vit. D<sub>3</sub>) protects PC cells from death induced by oxidative stress. PC cells are suggested to be resistant to oxidative stress since they demonstrate overexpression of superoxide dismutase (SOD) 1-3. The study measured PC cell viability, DNA damage level, the mRNA and protein expression of antioxidant enzymes, reactive oxygen species (ROS) level and activity of antioxidant enzymes after exposure to H<sub>2</sub>O<sub>2</sub>, Vit. D<sub>3</sub> and their combinations. N-Acetyl-L-Cysteine (NAC), a well-known direct ROS scavenger, was used as a positive control. Vit. D<sub>3</sub> exposure alone had no effect on PC cell viability, ROS level and DNA damage. Its impact on the mRNA and protein expression of antioxidant enzymes was also scarce. However, Vit. D<sub>3</sub> protected PC cells against H<sub>2</sub>O<sub>2</sub>-induced death, similarly to NAC. It also diminished the increase in ROS and DNA damage caused by H<sub>2</sub>O<sub>2</sub>. In addition, Vit. D<sub>3</sub> enhanced the mRNA expression of catalase (CAT), SOD 1-3 and glutathione peroxidase (Gpx)3, but did not affect their protein levels in PC cells exposed to oxidative stress. Interestingly, Vit. D<sub>3</sub> increased CAT activity after 24 h in 1.2B4 cells and elevated the activity of both CAT and Gpx after 2 h in PANC-1 cells, which could contribute to the observed reduction of H<sub>2</sub>O<sub>2</sub>-induced ROS level. To conclude, our findings show that antioxidant properties of Vit. D<sub>3</sub> may protect PC cells from oxidative stress-induced death. Therefore, further studies are needed to understand the action of Vit. D<sub>3</sub> in PC cells.</p>","PeriodicalId":7984,"journal":{"name":"Antioxidants","volume":"14 9","pages":""},"PeriodicalIF":6.6000,"publicationDate":"2025-09-10","publicationTypes":"Journal Article","fieldsOfStudy":null,"isOpenAccess":false,"openAccessPdf":"https://www.ncbi.nlm.nih.gov/pmc/articles/PMC12466453/pdf/","citationCount":"0","resultStr":"{\"title\":\"Vitamin D Protects Pancreatic Cancer (PC) Cells from Death and DNA Damage Induced by Oxidative Stress.\",\"authors\":\"Izabela Szymczak-Pajor, Egle Morta Antanaviciute, Józef Drzewoski, Ireneusz Majsterek, Agnieszka Śliwińska\",\"doi\":\"10.3390/antiox14091101\",\"DOIUrl\":null,\"url\":null,\"abstract\":\"<p><p>In addition to its well-recognized roles in immunomodulation and calcium phosphate homeostasis, growing evidence shows that Vitamin D (Vit. D) presents a wide range of other properties, including antioxidant and anticancer effects. However, the action of Vit. D is not fully recognized in pancreatic cancer (PC) cells exposed to oxidative stress. Therefore, the aim of the present study was to investigate whether vitamin D<sub>3</sub> (Vit. D<sub>3</sub>) protects PC cells from death induced by oxidative stress. PC cells are suggested to be resistant to oxidative stress since they demonstrate overexpression of superoxide dismutase (SOD) 1-3. The study measured PC cell viability, DNA damage level, the mRNA and protein expression of antioxidant enzymes, reactive oxygen species (ROS) level and activity of antioxidant enzymes after exposure to H<sub>2</sub>O<sub>2</sub>, Vit. D<sub>3</sub> and their combinations. N-Acetyl-L-Cysteine (NAC), a well-known direct ROS scavenger, was used as a positive control. Vit. D<sub>3</sub> exposure alone had no effect on PC cell viability, ROS level and DNA damage. Its impact on the mRNA and protein expression of antioxidant enzymes was also scarce. However, Vit. D<sub>3</sub> protected PC cells against H<sub>2</sub>O<sub>2</sub>-induced death, similarly to NAC. It also diminished the increase in ROS and DNA damage caused by H<sub>2</sub>O<sub>2</sub>. In addition, Vit. D<sub>3</sub> enhanced the mRNA expression of catalase (CAT), SOD 1-3 and glutathione peroxidase (Gpx)3, but did not affect their protein levels in PC cells exposed to oxidative stress. Interestingly, Vit. D<sub>3</sub> increased CAT activity after 24 h in 1.2B4 cells and elevated the activity of both CAT and Gpx after 2 h in PANC-1 cells, which could contribute to the observed reduction of H<sub>2</sub>O<sub>2</sub>-induced ROS level. To conclude, our findings show that antioxidant properties of Vit. D<sub>3</sub> may protect PC cells from oxidative stress-induced death. Therefore, further studies are needed to understand the action of Vit. D<sub>3</sub> in PC cells.</p>\",\"PeriodicalId\":7984,\"journal\":{\"name\":\"Antioxidants\",\"volume\":\"14 9\",\"pages\":\"\"},\"PeriodicalIF\":6.6000,\"publicationDate\":\"2025-09-10\",\"publicationTypes\":\"Journal Article\",\"fieldsOfStudy\":null,\"isOpenAccess\":false,\"openAccessPdf\":\"https://www.ncbi.nlm.nih.gov/pmc/articles/PMC12466453/pdf/\",\"citationCount\":\"0\",\"resultStr\":null,\"platform\":\"Semanticscholar\",\"paperid\":null,\"PeriodicalName\":\"Antioxidants\",\"FirstCategoryId\":\"3\",\"ListUrlMain\":\"https://doi.org/10.3390/antiox14091101\",\"RegionNum\":2,\"RegionCategory\":\"医学\",\"ArticlePicture\":[],\"TitleCN\":null,\"AbstractTextCN\":null,\"PMCID\":null,\"EPubDate\":\"\",\"PubModel\":\"\",\"JCR\":\"Q1\",\"JCRName\":\"BIOCHEMISTRY & MOLECULAR BIOLOGY\",\"Score\":null,\"Total\":0}","platform":"Semanticscholar","paperid":null,"PeriodicalName":"Antioxidants","FirstCategoryId":"3","ListUrlMain":"https://doi.org/10.3390/antiox14091101","RegionNum":2,"RegionCategory":"医学","ArticlePicture":[],"TitleCN":null,"AbstractTextCN":null,"PMCID":null,"EPubDate":"","PubModel":"","JCR":"Q1","JCRName":"BIOCHEMISTRY & MOLECULAR BIOLOGY","Score":null,"Total":0}
引用次数: 0

摘要

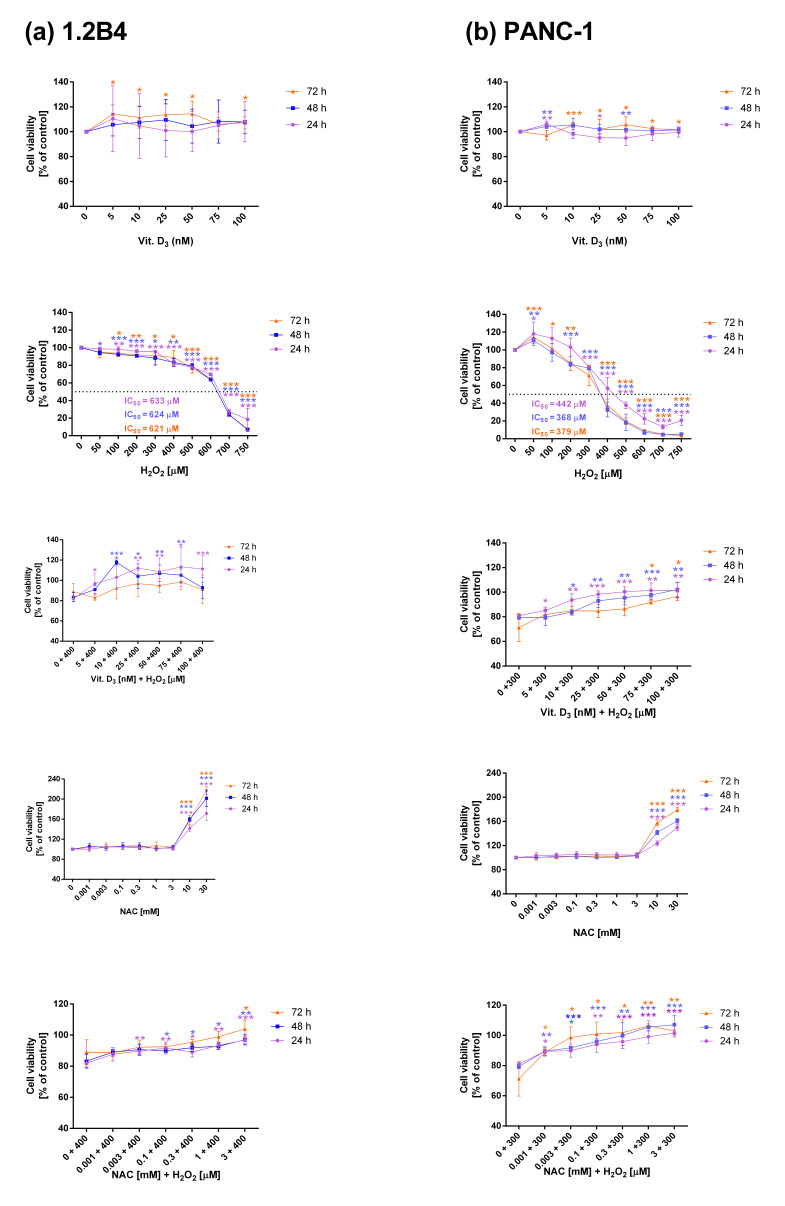
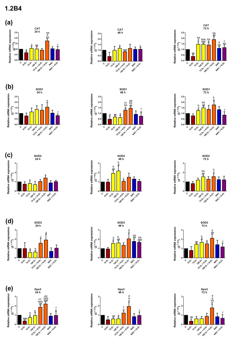
除了其在免疫调节和磷酸钙稳态中公认的作用外,越来越多的证据表明维生素D (Vit。D)表现出广泛的其他特性,包括抗氧化和抗癌作用。然而,Vit的作用。暴露于氧化应激的胰腺癌(PC)细胞不能完全识别D。因此,本研究的目的是调查维生素D3 (Vit。D3)保护PC细胞免受氧化应激诱导的死亡。PC细胞被认为是抗氧化应激的,因为它们表现出超氧化物歧化酶(SOD)的过度表达1-3。本研究测定了H2O2、Vit处理后PC细胞活力、DNA损伤水平、抗氧化酶mRNA和蛋白表达、活性氧(ROS)水平和抗氧化酶活性。D3和它们的组合。以n -乙酰- l-半胱氨酸(NAC)作为阳性对照,NAC是一种众所周知的直接活性氧清除剂。维特。单独暴露D3对PC细胞活力、ROS水平和DNA损伤无影响。其对抗氧化酶mRNA和蛋白表达的影响也很少。然而,维特。与NAC类似,D3可以保护PC细胞免受h2o2诱导的死亡。它还能减少H2O2引起的ROS增加和DNA损伤。此外,Vit。D3增强过氧化氢酶(CAT)、SOD 1-3和谷胱甘肽过氧化物酶(Gpx)3 mRNA的表达,但不影响氧化应激下PC细胞的蛋白水平。有趣的是,维特。D3增加了1.2B4细胞24 h后的CAT活性,提高了PANC-1细胞2 h后的CAT和Gpx活性,这可能有助于观察到h2o2诱导的ROS水平的降低。综上所述,我们的研究结果表明维生素d的抗氧化特性。D3可能保护PC细胞免受氧化应激诱导的死亡。因此,需要进一步的研究来了解Vit的作用。D3在PC细胞中。
本文章由计算机程序翻译,如有差异,请以英文原文为准。

Vitamin D Protects Pancreatic Cancer (PC) Cells from Death and DNA Damage Induced by Oxidative Stress.

Vitamin D Protects Pancreatic Cancer (PC) Cells from Death and DNA Damage Induced by Oxidative Stress.

Vitamin D Protects Pancreatic Cancer (PC) Cells from Death and DNA Damage Induced by Oxidative Stress.

Vitamin D Protects Pancreatic Cancer (PC) Cells from Death and DNA Damage Induced by Oxidative Stress.

In addition to its well-recognized roles in immunomodulation and calcium phosphate homeostasis, growing evidence shows that Vitamin D (Vit. D) presents a wide range of other properties, including antioxidant and anticancer effects. However, the action of Vit. D is not fully recognized in pancreatic cancer (PC) cells exposed to oxidative stress. Therefore, the aim of the present study was to investigate whether vitamin D3 (Vit. D3) protects PC cells from death induced by oxidative stress. PC cells are suggested to be resistant to oxidative stress since they demonstrate overexpression of superoxide dismutase (SOD) 1-3. The study measured PC cell viability, DNA damage level, the mRNA and protein expression of antioxidant enzymes, reactive oxygen species (ROS) level and activity of antioxidant enzymes after exposure to H2O2, Vit. D3 and their combinations. N-Acetyl-L-Cysteine (NAC), a well-known direct ROS scavenger, was used as a positive control. Vit. D3 exposure alone had no effect on PC cell viability, ROS level and DNA damage. Its impact on the mRNA and protein expression of antioxidant enzymes was also scarce. However, Vit. D3 protected PC cells against H2O2-induced death, similarly to NAC. It also diminished the increase in ROS and DNA damage caused by H2O2. In addition, Vit. D3 enhanced the mRNA expression of catalase (CAT), SOD 1-3 and glutathione peroxidase (Gpx)3, but did not affect their protein levels in PC cells exposed to oxidative stress. Interestingly, Vit. D3 increased CAT activity after 24 h in 1.2B4 cells and elevated the activity of both CAT and Gpx after 2 h in PANC-1 cells, which could contribute to the observed reduction of H2O2-induced ROS level. To conclude, our findings show that antioxidant properties of Vit. D3 may protect PC cells from oxidative stress-induced death. Therefore, further studies are needed to understand the action of Vit. D3 in PC cells.

求助全文
通过发布文献求助,成功后即可免费获取论文全文。 去求助
来源期刊
Antioxidants
Antioxidants Biochemistry, Genetics and Molecular Biology-Physiology
CiteScore
10.60
自引率
11.40%
发文量
2123
审稿时长
16.3 days
期刊介绍: Antioxidants (ISSN 2076-3921), provides an advanced forum for studies related to the science and technology of antioxidants. It publishes research papers, reviews and communications. Our aim is to encourage scientists to publish their experimental and theoretical results in as much detail as possible. There is no restriction on the length of the papers. The full experimental details must be provided so that the results can be reproduced. Electronic files and software regarding the full details of the calculation or experimental procedure, if unable to be published in a normal way, can be deposited as supplementary electronic material.
×
引用
GB/T 7714-2015
复制
MLA
复制
APA
复制
导出至
BibTeX EndNote RefMan NoteFirst NoteExpress
×
提示
您的信息不完整,为了账户安全,请先补充。
现在去补充
×
提示
您因"违规操作"
具体请查看互助需知
我知道了
×
提示
确定
请完成安全验证×
copy
已复制链接
快去分享给好友吧!
我知道了
右上角分享
点击右上角分享
0
联系我们:info@booksci.cn Book学术提供免费学术资源搜索服务,方便国内外学者检索中英文文献。致力于提供最便捷和优质的服务体验。 Copyright © 2023 布克学术 All rights reserved.
京ICP备2023020795号-1
ghs 京公网安备 11010802042870号
Book学术文献互助
Book学术文献互助群
群 号:604180095
Book学术官方微信