葡萄籽浓缩单宁的解聚和纳米脂质体包封:理化特性、稳定性、体外释放和生物可及性。

IF 6.6 2区 医学 Q1 BIOCHEMISTRY & MOLECULAR BIOLOGY
Carolina F Morales, Marcela Zamorano, Natalia Brossard, Andreas Rosenkranz, Fernando A Osorio
{"title":"葡萄籽浓缩单宁的解聚和纳米脂质体包封:理化特性、稳定性、体外释放和生物可及性。","authors":"Carolina F Morales, Marcela Zamorano, Natalia Brossard, Andreas Rosenkranz, Fernando A Osorio","doi":"10.3390/antiox14091123","DOIUrl":null,"url":null,"abstract":"<p><p>Condensed tannins from grape seed residues show high antioxidant activity but low oral bioavailability because of their high degree of polymerization and covalent interactions with proteins. This study aimed to improve their bioaccessibility through depolymerization and encapsulation. Depolymerization was carried out using microwave-assisted SN1 reactions with gallic acid as a nucleophile under food-grade conditions, mainly producing epicatechin monomers with 99.8% polymer degradation efficiency. Importantly, the inhibition of ABTS●+ and DPPH● radicals remained unaffected (<i>p</i> > 0.05), indicating that depolymerization preserved the antioxidants' redox function, maintaining about 90% of their inhibition activity. The products were encapsulated in phosphatidylcholine liposomes, which had nanometric sizes and high encapsulation efficiency (83.11%), and remained stable for up to 60 days. In vitro release of nanoliposomal epicatechin in a D1 simulant was less than 10% after 48 h, fitting a Weibull model (β = 0.07), suggesting sub-diffusive transport and demonstrating high bioactive retention capacity in aqueous systems. During in vitro digestion, bioaccessibility of gallic acid and epicatechin reached 95.61 ± 0.58% and 98.56 ± 0.81%, respectively, with a 2333% increase in the bioaccessible mass of flavan-3-ols in native liposomal condensed tannins, which otherwise showed no detectable bioaccessibility. These findings highlight the potential of polyphenols from agro-industrial waste with enhanced bioaccessibility for applications in nutraceuticals and functional foods.</p>","PeriodicalId":7984,"journal":{"name":"Antioxidants","volume":"14 9","pages":""},"PeriodicalIF":6.6000,"publicationDate":"2025-09-16","publicationTypes":"Journal Article","fieldsOfStudy":null,"isOpenAccess":false,"openAccessPdf":"https://www.ncbi.nlm.nih.gov/pmc/articles/PMC12466359/pdf/","citationCount":"0","resultStr":"{\"title\":\"Depolymerization and Nanoliposomal Encapsulation of Grape Seed Condensed Tannins: Physicochemical Characterization, Stability, In Vitro Release and Bioaccessibility.\",\"authors\":\"Carolina F Morales, Marcela Zamorano, Natalia Brossard, Andreas Rosenkranz, Fernando A Osorio\",\"doi\":\"10.3390/antiox14091123\",\"DOIUrl\":null,\"url\":null,\"abstract\":\"<p><p>Condensed tannins from grape seed residues show high antioxidant activity but low oral bioavailability because of their high degree of polymerization and covalent interactions with proteins. This study aimed to improve their bioaccessibility through depolymerization and encapsulation. Depolymerization was carried out using microwave-assisted SN1 reactions with gallic acid as a nucleophile under food-grade conditions, mainly producing epicatechin monomers with 99.8% polymer degradation efficiency. Importantly, the inhibition of ABTS●+ and DPPH● radicals remained unaffected (<i>p</i> > 0.05), indicating that depolymerization preserved the antioxidants' redox function, maintaining about 90% of their inhibition activity. The products were encapsulated in phosphatidylcholine liposomes, which had nanometric sizes and high encapsulation efficiency (83.11%), and remained stable for up to 60 days. In vitro release of nanoliposomal epicatechin in a D1 simulant was less than 10% after 48 h, fitting a Weibull model (β = 0.07), suggesting sub-diffusive transport and demonstrating high bioactive retention capacity in aqueous systems. During in vitro digestion, bioaccessibility of gallic acid and epicatechin reached 95.61 ± 0.58% and 98.56 ± 0.81%, respectively, with a 2333% increase in the bioaccessible mass of flavan-3-ols in native liposomal condensed tannins, which otherwise showed no detectable bioaccessibility. These findings highlight the potential of polyphenols from agro-industrial waste with enhanced bioaccessibility for applications in nutraceuticals and functional foods.</p>\",\"PeriodicalId\":7984,\"journal\":{\"name\":\"Antioxidants\",\"volume\":\"14 9\",\"pages\":\"\"},\"PeriodicalIF\":6.6000,\"publicationDate\":\"2025-09-16\",\"publicationTypes\":\"Journal Article\",\"fieldsOfStudy\":null,\"isOpenAccess\":false,\"openAccessPdf\":\"https://www.ncbi.nlm.nih.gov/pmc/articles/PMC12466359/pdf/\",\"citationCount\":\"0\",\"resultStr\":null,\"platform\":\"Semanticscholar\",\"paperid\":null,\"PeriodicalName\":\"Antioxidants\",\"FirstCategoryId\":\"3\",\"ListUrlMain\":\"https://doi.org/10.3390/antiox14091123\",\"RegionNum\":2,\"RegionCategory\":\"医学\",\"ArticlePicture\":[],\"TitleCN\":null,\"AbstractTextCN\":null,\"PMCID\":null,\"EPubDate\":\"\",\"PubModel\":\"\",\"JCR\":\"Q1\",\"JCRName\":\"BIOCHEMISTRY & MOLECULAR BIOLOGY\",\"Score\":null,\"Total\":0}","platform":"Semanticscholar","paperid":null,"PeriodicalName":"Antioxidants","FirstCategoryId":"3","ListUrlMain":"https://doi.org/10.3390/antiox14091123","RegionNum":2,"RegionCategory":"医学","ArticlePicture":[],"TitleCN":null,"AbstractTextCN":null,"PMCID":null,"EPubDate":"","PubModel":"","JCR":"Q1","JCRName":"BIOCHEMISTRY & MOLECULAR BIOLOGY","Score":null,"Total":0}
引用次数: 0

摘要

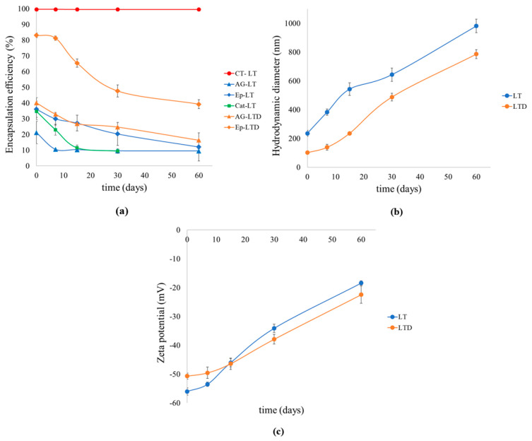
从葡萄籽残留物中提取的缩合单宁具有较高的抗氧化活性,但由于其高度聚合和与蛋白质的共价相互作用,口服生物利用度较低。本研究旨在通过解聚和包封提高其生物可及性。在食品级条件下,以没食子酸为亲核试剂,采用微波辅助SN1反应进行解聚,主要制备表儿茶素单体,聚合物降解效率为99.8%。重要的是,对ABTS●+和DPPH●自由基的抑制未受影响(p > 0.05),表明解聚保留了抗氧化剂的氧化还原功能,维持了约90%的抑制活性。产品包封在纳米尺寸的磷脂酰胆碱脂质体中,包封率高达83.11%,且包封时间长达60天。纳米脂质体表儿茶素在D1模拟物中的体外释放48 h后低于10%,符合Weibull模型(β = 0.07),表明其在水体系中具有亚扩散转运和高生物活性保留能力。在体外消化过程中,没食子酸和表儿茶素的生物可达度分别为95.61±0.58%和98.56±0.81%,天然脂质体缩合单宁中黄烷-3-醇的生物可达质量增加了2333%,其余均未检测到生物可达性。这些发现突出了来自农业工业废物的多酚具有增强生物可及性的潜力,可用于营养保健品和功能食品。
本文章由计算机程序翻译,如有差异,请以英文原文为准。

Depolymerization and Nanoliposomal Encapsulation of Grape Seed Condensed Tannins: Physicochemical Characterization, Stability, In Vitro Release and Bioaccessibility.

Depolymerization and Nanoliposomal Encapsulation of Grape Seed Condensed Tannins: Physicochemical Characterization, Stability, In Vitro Release and Bioaccessibility.

Depolymerization and Nanoliposomal Encapsulation of Grape Seed Condensed Tannins: Physicochemical Characterization, Stability, In Vitro Release and Bioaccessibility.

Depolymerization and Nanoliposomal Encapsulation of Grape Seed Condensed Tannins: Physicochemical Characterization, Stability, In Vitro Release and Bioaccessibility.

Condensed tannins from grape seed residues show high antioxidant activity but low oral bioavailability because of their high degree of polymerization and covalent interactions with proteins. This study aimed to improve their bioaccessibility through depolymerization and encapsulation. Depolymerization was carried out using microwave-assisted SN1 reactions with gallic acid as a nucleophile under food-grade conditions, mainly producing epicatechin monomers with 99.8% polymer degradation efficiency. Importantly, the inhibition of ABTS●+ and DPPH● radicals remained unaffected (p > 0.05), indicating that depolymerization preserved the antioxidants' redox function, maintaining about 90% of their inhibition activity. The products were encapsulated in phosphatidylcholine liposomes, which had nanometric sizes and high encapsulation efficiency (83.11%), and remained stable for up to 60 days. In vitro release of nanoliposomal epicatechin in a D1 simulant was less than 10% after 48 h, fitting a Weibull model (β = 0.07), suggesting sub-diffusive transport and demonstrating high bioactive retention capacity in aqueous systems. During in vitro digestion, bioaccessibility of gallic acid and epicatechin reached 95.61 ± 0.58% and 98.56 ± 0.81%, respectively, with a 2333% increase in the bioaccessible mass of flavan-3-ols in native liposomal condensed tannins, which otherwise showed no detectable bioaccessibility. These findings highlight the potential of polyphenols from agro-industrial waste with enhanced bioaccessibility for applications in nutraceuticals and functional foods.

求助全文
通过发布文献求助,成功后即可免费获取论文全文。 去求助
来源期刊
Antioxidants
Antioxidants Biochemistry, Genetics and Molecular Biology-Physiology
CiteScore
10.60
自引率
11.40%
发文量
2123
审稿时长
16.3 days
期刊介绍: Antioxidants (ISSN 2076-3921), provides an advanced forum for studies related to the science and technology of antioxidants. It publishes research papers, reviews and communications. Our aim is to encourage scientists to publish their experimental and theoretical results in as much detail as possible. There is no restriction on the length of the papers. The full experimental details must be provided so that the results can be reproduced. Electronic files and software regarding the full details of the calculation or experimental procedure, if unable to be published in a normal way, can be deposited as supplementary electronic material.
×
引用
GB/T 7714-2015
复制
MLA
复制
APA
复制
导出至
BibTeX EndNote RefMan NoteFirst NoteExpress
×
提示
您的信息不完整,为了账户安全,请先补充。
现在去补充
×
提示
您因"违规操作"
具体请查看互助需知
我知道了
×
提示
确定
请完成安全验证×
copy
已复制链接
快去分享给好友吧!
我知道了
右上角分享
点击右上角分享
0
联系我们:info@booksci.cn Book学术提供免费学术资源搜索服务,方便国内外学者检索中英文文献。致力于提供最便捷和优质的服务体验。 Copyright © 2023 布克学术 All rights reserved.
京ICP备2023020795号-1
ghs 京公网安备 11010802042870号
Book学术文献互助
Book学术文献互助群
群 号:604180095
Book学术官方微信