提取工艺对芦笋提取物没食子酸含量和抗氧化性能的影响及UPLC-MS/MS鉴别

IF 6.6 2区 医学 Q1 BIOCHEMISTRY & MOLECULAR BIOLOGY
Daniela Gómez-Espinoza, J A Gonzalez-Calderon, Enrique Delgado-Alvarado, Agustín L Herrera-May, Leandro García-González, César Leobardo Aguirre-Mancilla, Ricardo Rivera-Vázquez, Ma Cristina Irma Pérez-Pérez
{"title":"提取工艺对芦笋提取物没食子酸含量和抗氧化性能的影响及UPLC-MS/MS鉴别","authors":"Daniela Gómez-Espinoza, J A Gonzalez-Calderon, Enrique Delgado-Alvarado, Agustín L Herrera-May, Leandro García-González, César Leobardo Aguirre-Mancilla, Ricardo Rivera-Vázquez, Ma Cristina Irma Pérez-Pérez","doi":"10.3390/antiox14091074","DOIUrl":null,"url":null,"abstract":"<p><p>The palo prieto (<i>Lysiloma divaricata</i>) is a tree with grayish bark and pinnate leaves that is native to Mexico. This tree can reach heights close to 15 m and is a source of phytochemical compounds, including polyphenols. The optimized extraction method is important for preserving phytochemical compounds, particularly gallic acid. In general, solid-liquid extraction methods are the most commonly used methods for obtaining phytochemical compounds from <i>Lysiloma divaricata</i>. Herein, we report the results of a complex experimental design in which different parts of the plant (leaf, stem, and fruit) were used to investigate their antioxidant activities and gallic acid contents. In this design, we included variations in the type of solvent, time, and temperature. This method yields an extract rich in phytochemical components that may exhibit significant antioxidant activity, making it suitable for isolating natural antioxidant compounds. For these compounds, bromatological analysis, quantification of phenolic content, and identification and quantification of phytochemical compounds via UPLC-MS/MS identified 27 compounds, with gallic epicatechin, catechin, kaemferol-3-glucoside, procyanidin B1, and gallic acid as the major compounds. For the quantification of gallic acid by HPLC, the highest concentration of gallic acid was detected in the water-leaf-40 °C-90 min fraction. In addition, antioxidant activity via 1,1-diphenyl-1,2-picrylhydrazyl (DPPH), 2,2-azinobis (3-ethylbenzothiazoline-6-sulfonic acid) (ABTS), and ferric reducing antioxidant power (FRAP) was studied, and color measurements were performed. Additionally, the antioxidant activity of the fruit samples was evaluated via the DPPH method with an ethanol/water ratio of 30:70 % v/v at 60 °C for 60 min, which resulted in the highest percentage of inhibition. There was no significant difference in the antioxidant activity when ABTS was used between the samples. For the antioxidant activity determined via FRAP, the leaf sample exhibited the most significant activity when ethanol was used as the solvent at 50 °C for 90 min, with a value of 195,861 ± 44.20 µM eq Trolox/g DM. The phenol compounds of <i>Lysiloma divaricata</i> are promising sources of natural antimicrobials and antioxidants for potential applications in food packaging.</p>","PeriodicalId":7984,"journal":{"name":"Antioxidants","volume":"14 9","pages":""},"PeriodicalIF":6.6000,"publicationDate":"2025-09-01","publicationTypes":"Journal Article","fieldsOfStudy":null,"isOpenAccess":false,"openAccessPdf":"https://www.ncbi.nlm.nih.gov/pmc/articles/PMC12466600/pdf/","citationCount":"0","resultStr":"{\"title\":\"Impact of Extraction Parameters on the Gallic Acid Content and Antioxidant Properties of Palo Prieto (<i>Lysiloma divaricata</i>) Fractions and Their Identification via UPLC-MS/MS.\",\"authors\":\"Daniela Gómez-Espinoza, J A Gonzalez-Calderon, Enrique Delgado-Alvarado, Agustín L Herrera-May, Leandro García-González, César Leobardo Aguirre-Mancilla, Ricardo Rivera-Vázquez, Ma Cristina Irma Pérez-Pérez\",\"doi\":\"10.3390/antiox14091074\",\"DOIUrl\":null,\"url\":null,\"abstract\":\"<p><p>The palo prieto (<i>Lysiloma divaricata</i>) is a tree with grayish bark and pinnate leaves that is native to Mexico. This tree can reach heights close to 15 m and is a source of phytochemical compounds, including polyphenols. The optimized extraction method is important for preserving phytochemical compounds, particularly gallic acid. In general, solid-liquid extraction methods are the most commonly used methods for obtaining phytochemical compounds from <i>Lysiloma divaricata</i>. Herein, we report the results of a complex experimental design in which different parts of the plant (leaf, stem, and fruit) were used to investigate their antioxidant activities and gallic acid contents. In this design, we included variations in the type of solvent, time, and temperature. This method yields an extract rich in phytochemical components that may exhibit significant antioxidant activity, making it suitable for isolating natural antioxidant compounds. For these compounds, bromatological analysis, quantification of phenolic content, and identification and quantification of phytochemical compounds via UPLC-MS/MS identified 27 compounds, with gallic epicatechin, catechin, kaemferol-3-glucoside, procyanidin B1, and gallic acid as the major compounds. For the quantification of gallic acid by HPLC, the highest concentration of gallic acid was detected in the water-leaf-40 °C-90 min fraction. In addition, antioxidant activity via 1,1-diphenyl-1,2-picrylhydrazyl (DPPH), 2,2-azinobis (3-ethylbenzothiazoline-6-sulfonic acid) (ABTS), and ferric reducing antioxidant power (FRAP) was studied, and color measurements were performed. Additionally, the antioxidant activity of the fruit samples was evaluated via the DPPH method with an ethanol/water ratio of 30:70 % v/v at 60 °C for 60 min, which resulted in the highest percentage of inhibition. There was no significant difference in the antioxidant activity when ABTS was used between the samples. For the antioxidant activity determined via FRAP, the leaf sample exhibited the most significant activity when ethanol was used as the solvent at 50 °C for 90 min, with a value of 195,861 ± 44.20 µM eq Trolox/g DM. The phenol compounds of <i>Lysiloma divaricata</i> are promising sources of natural antimicrobials and antioxidants for potential applications in food packaging.</p>\",\"PeriodicalId\":7984,\"journal\":{\"name\":\"Antioxidants\",\"volume\":\"14 9\",\"pages\":\"\"},\"PeriodicalIF\":6.6000,\"publicationDate\":\"2025-09-01\",\"publicationTypes\":\"Journal Article\",\"fieldsOfStudy\":null,\"isOpenAccess\":false,\"openAccessPdf\":\"https://www.ncbi.nlm.nih.gov/pmc/articles/PMC12466600/pdf/\",\"citationCount\":\"0\",\"resultStr\":null,\"platform\":\"Semanticscholar\",\"paperid\":null,\"PeriodicalName\":\"Antioxidants\",\"FirstCategoryId\":\"3\",\"ListUrlMain\":\"https://doi.org/10.3390/antiox14091074\",\"RegionNum\":2,\"RegionCategory\":\"医学\",\"ArticlePicture\":[],\"TitleCN\":null,\"AbstractTextCN\":null,\"PMCID\":null,\"EPubDate\":\"\",\"PubModel\":\"\",\"JCR\":\"Q1\",\"JCRName\":\"BIOCHEMISTRY & MOLECULAR BIOLOGY\",\"Score\":null,\"Total\":0}","platform":"Semanticscholar","paperid":null,"PeriodicalName":"Antioxidants","FirstCategoryId":"3","ListUrlMain":"https://doi.org/10.3390/antiox14091074","RegionNum":2,"RegionCategory":"医学","ArticlePicture":[],"TitleCN":null,"AbstractTextCN":null,"PMCID":null,"EPubDate":"","PubModel":"","JCR":"Q1","JCRName":"BIOCHEMISTRY & MOLECULAR BIOLOGY","Score":null,"Total":0}
引用次数: 0

摘要

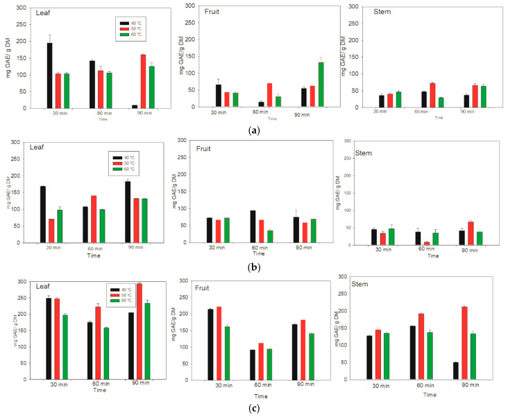
帕罗普雷托(Lysiloma divaricata)是一种原产于墨西哥的树,有灰色的树皮和羽状的叶子。这种树可以达到接近15米的高度,是植物化学化合物的来源,包括多酚。优化后的提取方法对保存植物化学成分,特别是没食子酸具有重要意义。一般来说,固液萃取法是提取水飞莲植物化学成分最常用的方法。在这里,我们报告了一个复杂的实验设计的结果,在这个实验设计中,植物的不同部分(叶、茎和果实)被用来研究它们的抗氧化活性和没食子酸含量。在这个设计中,我们考虑了溶剂类型、时间和温度的变化。这种方法产生的提取物富含植物化学成分,可能表现出显著的抗氧化活性,使其适用于分离天然抗氧化化合物。对这些化合物进行色谱分析、酚类含量定量以及UPLC-MS/MS鉴定和定量,鉴定出27个化合物,其中没食子表儿茶素、儿茶素、山山酚-3-葡萄糖苷、原花青素B1和没食子酸为主要化合物。HPLC法测定没食子酸含量时,水叶-40°C-90 min部位没食子酸含量最高。此外,通过1,1-二苯基-1,2-吡啶肼(DPPH)、2,2-氮唑(3-乙基苯并噻唑-6-磺酸)(ABTS)和铁还原抗氧化能力(FRAP)研究了其抗氧化活性,并进行了颜色测定。此外,通过DPPH法测定了样品的抗氧化活性,乙醇/水比为30:70 % v/v, 60°C, 60 min,抑制率最高。ABTS对不同样品的抗氧化活性无显著影响。通过FRAP测定的抗氧化活性表明,当乙醇作为溶剂在50°C下处理90 min时,叶片样品的抗氧化活性最显著,其值为195,861±44.20µM eq Trolox/g DM。水草酚类化合物是天然抗菌和抗氧化剂的潜在来源,在食品包装中具有潜在的应用前景。
本文章由计算机程序翻译,如有差异,请以英文原文为准。

Impact of Extraction Parameters on the Gallic Acid Content and Antioxidant Properties of Palo Prieto (<i>Lysiloma divaricata</i>) Fractions and Their Identification via UPLC-MS/MS.

Impact of Extraction Parameters on the Gallic Acid Content and Antioxidant Properties of Palo Prieto (<i>Lysiloma divaricata</i>) Fractions and Their Identification via UPLC-MS/MS.

Impact of Extraction Parameters on the Gallic Acid Content and Antioxidant Properties of Palo Prieto (<i>Lysiloma divaricata</i>) Fractions and Their Identification via UPLC-MS/MS.

Impact of Extraction Parameters on the Gallic Acid Content and Antioxidant Properties of Palo Prieto (Lysiloma divaricata) Fractions and Their Identification via UPLC-MS/MS.

The palo prieto (Lysiloma divaricata) is a tree with grayish bark and pinnate leaves that is native to Mexico. This tree can reach heights close to 15 m and is a source of phytochemical compounds, including polyphenols. The optimized extraction method is important for preserving phytochemical compounds, particularly gallic acid. In general, solid-liquid extraction methods are the most commonly used methods for obtaining phytochemical compounds from Lysiloma divaricata. Herein, we report the results of a complex experimental design in which different parts of the plant (leaf, stem, and fruit) were used to investigate their antioxidant activities and gallic acid contents. In this design, we included variations in the type of solvent, time, and temperature. This method yields an extract rich in phytochemical components that may exhibit significant antioxidant activity, making it suitable for isolating natural antioxidant compounds. For these compounds, bromatological analysis, quantification of phenolic content, and identification and quantification of phytochemical compounds via UPLC-MS/MS identified 27 compounds, with gallic epicatechin, catechin, kaemferol-3-glucoside, procyanidin B1, and gallic acid as the major compounds. For the quantification of gallic acid by HPLC, the highest concentration of gallic acid was detected in the water-leaf-40 °C-90 min fraction. In addition, antioxidant activity via 1,1-diphenyl-1,2-picrylhydrazyl (DPPH), 2,2-azinobis (3-ethylbenzothiazoline-6-sulfonic acid) (ABTS), and ferric reducing antioxidant power (FRAP) was studied, and color measurements were performed. Additionally, the antioxidant activity of the fruit samples was evaluated via the DPPH method with an ethanol/water ratio of 30:70 % v/v at 60 °C for 60 min, which resulted in the highest percentage of inhibition. There was no significant difference in the antioxidant activity when ABTS was used between the samples. For the antioxidant activity determined via FRAP, the leaf sample exhibited the most significant activity when ethanol was used as the solvent at 50 °C for 90 min, with a value of 195,861 ± 44.20 µM eq Trolox/g DM. The phenol compounds of Lysiloma divaricata are promising sources of natural antimicrobials and antioxidants for potential applications in food packaging.

求助全文
通过发布文献求助,成功后即可免费获取论文全文。 去求助
来源期刊
Antioxidants
Antioxidants Biochemistry, Genetics and Molecular Biology-Physiology
CiteScore
10.60
自引率
11.40%
发文量
2123
审稿时长
16.3 days
期刊介绍: Antioxidants (ISSN 2076-3921), provides an advanced forum for studies related to the science and technology of antioxidants. It publishes research papers, reviews and communications. Our aim is to encourage scientists to publish their experimental and theoretical results in as much detail as possible. There is no restriction on the length of the papers. The full experimental details must be provided so that the results can be reproduced. Electronic files and software regarding the full details of the calculation or experimental procedure, if unable to be published in a normal way, can be deposited as supplementary electronic material.
×
引用
GB/T 7714-2015
复制
MLA
复制
APA
复制
导出至
BibTeX EndNote RefMan NoteFirst NoteExpress
×
提示
您的信息不完整,为了账户安全,请先补充。
现在去补充
×
提示
您因"违规操作"
具体请查看互助需知
我知道了
×
提示
确定
请完成安全验证×
copy
已复制链接
快去分享给好友吧!
我知道了
右上角分享
点击右上角分享
0
联系我们:info@booksci.cn Book学术提供免费学术资源搜索服务,方便国内外学者检索中英文文献。致力于提供最便捷和优质的服务体验。 Copyright © 2023 布克学术 All rights reserved.
京ICP备2023020795号-1
ghs 京公网安备 11010802042870号
Book学术文献互助
Book学术文献互助群
群 号:604180095
Book学术官方微信