分子氢作为抗氧化剂和辐射保护剂:从蒙特卡罗辐射化学模拟的机理见解。

IF 6.6 2区 医学 Q1 BIOCHEMISTRY & MOLECULAR BIOLOGY
Sumaiya Akhter Ria, Jintana Meesungnoen, Jean-Paul Jay-Gerin
{"title":"分子氢作为抗氧化剂和辐射保护剂:从蒙特卡罗辐射化学模拟的机理见解。","authors":"Sumaiya Akhter Ria, Jintana Meesungnoen, Jean-Paul Jay-Gerin","doi":"10.3390/antiox14091054","DOIUrl":null,"url":null,"abstract":"<p><p>(1) Background: Water, comprising about 70-80% of cellular mass, is the most abundant constituent of living cells. Upon exposure to ionizing radiation, water undergoes radiolysis, generating a variety of reactive species, including free radicals and molecular products. Among these, hydroxyl radicals (<sup>•</sup>OH) are particularly damaging due to their very high reactivity and their capacity to induce oxidative injury to vital biomolecules such as DNA, membrane lipids, and proteins. From a radiation-chemical perspective, this study investigates the selective scavenging ability of molecular hydrogen (H<sub>2</sub>) toward <sup>•</sup>OH radicals, with the aim of evaluating its potential as an antioxidant and radioprotective agent; (2) Methods: We employed our Monte Carlo track chemistry simulation code, IONLYS-IRT, to model the time-dependent yields of ROS in a neutral, aerated aqueous environment. The simulations included varying concentrations of dissolved H<sub>2</sub> and, for comparison, cystamine-a well-known sulfur-containing radioprotector and antioxidant. Irradiation was simulated using 300 MeV protons, chosen to mimic the radiolytic effects of low linear energy transfer (LET) radiation, such as that of <sup>60</sup>Co γ-rays or fast (>1 MeV) electrons; (3) Results: Our simulations quantitatively demonstrated that H<sub>2</sub> selectively scavenges <sup>•</sup>OH radicals. Nevertheless, its scavenging efficiency was consistently lower than that of cystamine, which produced a faster and more pronounced suppression of <sup>•</sup>OH due to its higher reactivity and superior radical-quenching capacity; (4) Conclusions: Molecular hydrogen offers several unique advantages, including low toxicity, high diffusivity, selective scavenging of <sup>•</sup>OH radicals, and well-documented anti-inflammatory effects. Although it is less potent than cystamine in terms of radical-scavenging efficiency, its excellent safety profile and biological compatibility position H<sub>2</sub> as a promising radioprotector and antioxidant for therapeutic applications targeting radiation-induced oxidative stress and inflammation.</p>","PeriodicalId":7984,"journal":{"name":"Antioxidants","volume":"14 9","pages":""},"PeriodicalIF":6.6000,"publicationDate":"2025-08-27","publicationTypes":"Journal Article","fieldsOfStudy":null,"isOpenAccess":false,"openAccessPdf":"https://www.ncbi.nlm.nih.gov/pmc/articles/PMC12466412/pdf/","citationCount":"0","resultStr":"{\"title\":\"Molecular Hydrogen as an Antioxidant and Radioprotector: Mechanistic Insights from Monte Carlo Radiation-Chemical Simulations.\",\"authors\":\"Sumaiya Akhter Ria, Jintana Meesungnoen, Jean-Paul Jay-Gerin\",\"doi\":\"10.3390/antiox14091054\",\"DOIUrl\":null,\"url\":null,\"abstract\":\"<p><p>(1) Background: Water, comprising about 70-80% of cellular mass, is the most abundant constituent of living cells. Upon exposure to ionizing radiation, water undergoes radiolysis, generating a variety of reactive species, including free radicals and molecular products. Among these, hydroxyl radicals (<sup>•</sup>OH) are particularly damaging due to their very high reactivity and their capacity to induce oxidative injury to vital biomolecules such as DNA, membrane lipids, and proteins. From a radiation-chemical perspective, this study investigates the selective scavenging ability of molecular hydrogen (H<sub>2</sub>) toward <sup>•</sup>OH radicals, with the aim of evaluating its potential as an antioxidant and radioprotective agent; (2) Methods: We employed our Monte Carlo track chemistry simulation code, IONLYS-IRT, to model the time-dependent yields of ROS in a neutral, aerated aqueous environment. The simulations included varying concentrations of dissolved H<sub>2</sub> and, for comparison, cystamine-a well-known sulfur-containing radioprotector and antioxidant. Irradiation was simulated using 300 MeV protons, chosen to mimic the radiolytic effects of low linear energy transfer (LET) radiation, such as that of <sup>60</sup>Co γ-rays or fast (>1 MeV) electrons; (3) Results: Our simulations quantitatively demonstrated that H<sub>2</sub> selectively scavenges <sup>•</sup>OH radicals. Nevertheless, its scavenging efficiency was consistently lower than that of cystamine, which produced a faster and more pronounced suppression of <sup>•</sup>OH due to its higher reactivity and superior radical-quenching capacity; (4) Conclusions: Molecular hydrogen offers several unique advantages, including low toxicity, high diffusivity, selective scavenging of <sup>•</sup>OH radicals, and well-documented anti-inflammatory effects. Although it is less potent than cystamine in terms of radical-scavenging efficiency, its excellent safety profile and biological compatibility position H<sub>2</sub> as a promising radioprotector and antioxidant for therapeutic applications targeting radiation-induced oxidative stress and inflammation.</p>\",\"PeriodicalId\":7984,\"journal\":{\"name\":\"Antioxidants\",\"volume\":\"14 9\",\"pages\":\"\"},\"PeriodicalIF\":6.6000,\"publicationDate\":\"2025-08-27\",\"publicationTypes\":\"Journal Article\",\"fieldsOfStudy\":null,\"isOpenAccess\":false,\"openAccessPdf\":\"https://www.ncbi.nlm.nih.gov/pmc/articles/PMC12466412/pdf/\",\"citationCount\":\"0\",\"resultStr\":null,\"platform\":\"Semanticscholar\",\"paperid\":null,\"PeriodicalName\":\"Antioxidants\",\"FirstCategoryId\":\"3\",\"ListUrlMain\":\"https://doi.org/10.3390/antiox14091054\",\"RegionNum\":2,\"RegionCategory\":\"医学\",\"ArticlePicture\":[],\"TitleCN\":null,\"AbstractTextCN\":null,\"PMCID\":null,\"EPubDate\":\"\",\"PubModel\":\"\",\"JCR\":\"Q1\",\"JCRName\":\"BIOCHEMISTRY & MOLECULAR BIOLOGY\",\"Score\":null,\"Total\":0}","platform":"Semanticscholar","paperid":null,"PeriodicalName":"Antioxidants","FirstCategoryId":"3","ListUrlMain":"https://doi.org/10.3390/antiox14091054","RegionNum":2,"RegionCategory":"医学","ArticlePicture":[],"TitleCN":null,"AbstractTextCN":null,"PMCID":null,"EPubDate":"","PubModel":"","JCR":"Q1","JCRName":"BIOCHEMISTRY & MOLECULAR BIOLOGY","Score":null,"Total":0}
引用次数: 0

摘要

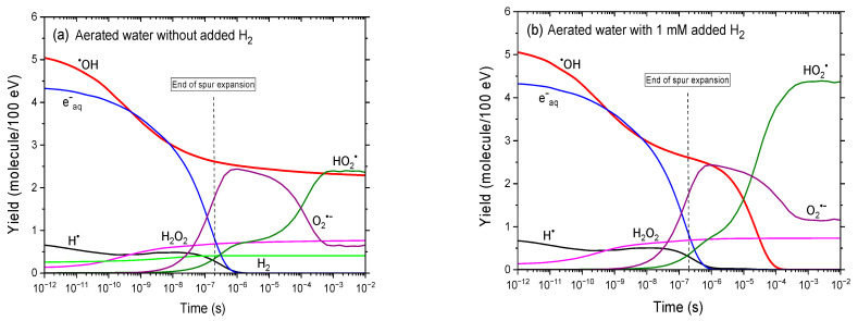
(1)背景:水约占细胞质量的70-80%,是活细胞中最丰富的成分。在电离辐射下,水发生辐射分解,产生多种活性物质,包括自由基和分子产物。其中,羟基自由基(•OH)由于其非常高的反应活性和诱导重要生物分子(如DNA、膜脂和蛋白质)氧化损伤的能力而特别具有破坏性。从辐射化学的角度,本研究研究了分子氢(H2)对•OH自由基的选择性清除能力,目的是评估其作为抗氧化剂和辐射防护剂的潜力;(2)方法:采用蒙特卡罗轨迹化学模拟代码IONLYS-IRT,模拟中性曝气水环境中ROS产率随时间的变化。模拟包括不同浓度的溶解H2和胱胺(一种众所周知的含硫放射性保护剂和抗氧化剂)作为比较。使用300 MeV质子模拟辐照,选择300 MeV质子模拟低线性能量转移(LET)辐射的辐射分解效应,如60Co γ射线或快速(bbb1mev)电子;(3)结果:我们的模拟定量证明了H2选择性清除•OH自由基。然而,其清除效率始终低于半胺,而半胺由于其更高的反应活性和更强的自由基猝灭能力,对•OH的抑制速度更快、更明显;(4)结论:氢分子具有低毒性、高扩散性、选择性清除•OH自由基、抗炎作用等独特优势。虽然它在自由基清除效率方面不如半胺,但其良好的安全性和生物相容性使H2成为一种有前途的放射性保护剂和抗氧化剂,用于治疗辐射诱导的氧化应激和炎症。
本文章由计算机程序翻译,如有差异,请以英文原文为准。

Molecular Hydrogen as an Antioxidant and Radioprotector: Mechanistic Insights from Monte Carlo Radiation-Chemical Simulations.

Molecular Hydrogen as an Antioxidant and Radioprotector: Mechanistic Insights from Monte Carlo Radiation-Chemical Simulations.

Molecular Hydrogen as an Antioxidant and Radioprotector: Mechanistic Insights from Monte Carlo Radiation-Chemical Simulations.

Molecular Hydrogen as an Antioxidant and Radioprotector: Mechanistic Insights from Monte Carlo Radiation-Chemical Simulations.

(1) Background: Water, comprising about 70-80% of cellular mass, is the most abundant constituent of living cells. Upon exposure to ionizing radiation, water undergoes radiolysis, generating a variety of reactive species, including free radicals and molecular products. Among these, hydroxyl radicals (OH) are particularly damaging due to their very high reactivity and their capacity to induce oxidative injury to vital biomolecules such as DNA, membrane lipids, and proteins. From a radiation-chemical perspective, this study investigates the selective scavenging ability of molecular hydrogen (H2) toward OH radicals, with the aim of evaluating its potential as an antioxidant and radioprotective agent; (2) Methods: We employed our Monte Carlo track chemistry simulation code, IONLYS-IRT, to model the time-dependent yields of ROS in a neutral, aerated aqueous environment. The simulations included varying concentrations of dissolved H2 and, for comparison, cystamine-a well-known sulfur-containing radioprotector and antioxidant. Irradiation was simulated using 300 MeV protons, chosen to mimic the radiolytic effects of low linear energy transfer (LET) radiation, such as that of 60Co γ-rays or fast (>1 MeV) electrons; (3) Results: Our simulations quantitatively demonstrated that H2 selectively scavenges OH radicals. Nevertheless, its scavenging efficiency was consistently lower than that of cystamine, which produced a faster and more pronounced suppression of OH due to its higher reactivity and superior radical-quenching capacity; (4) Conclusions: Molecular hydrogen offers several unique advantages, including low toxicity, high diffusivity, selective scavenging of OH radicals, and well-documented anti-inflammatory effects. Although it is less potent than cystamine in terms of radical-scavenging efficiency, its excellent safety profile and biological compatibility position H2 as a promising radioprotector and antioxidant for therapeutic applications targeting radiation-induced oxidative stress and inflammation.

求助全文
通过发布文献求助,成功后即可免费获取论文全文。 去求助
来源期刊
Antioxidants
Antioxidants Biochemistry, Genetics and Molecular Biology-Physiology
CiteScore
10.60
自引率
11.40%
发文量
2123
审稿时长
16.3 days
期刊介绍: Antioxidants (ISSN 2076-3921), provides an advanced forum for studies related to the science and technology of antioxidants. It publishes research papers, reviews and communications. Our aim is to encourage scientists to publish their experimental and theoretical results in as much detail as possible. There is no restriction on the length of the papers. The full experimental details must be provided so that the results can be reproduced. Electronic files and software regarding the full details of the calculation or experimental procedure, if unable to be published in a normal way, can be deposited as supplementary electronic material.
×
引用
GB/T 7714-2015
复制
MLA
复制
APA
复制
导出至
BibTeX EndNote RefMan NoteFirst NoteExpress
×
提示
您的信息不完整,为了账户安全,请先补充。
现在去补充
×
提示
您因"违规操作"
具体请查看互助需知
我知道了
×
提示
确定
请完成安全验证×
copy
已复制链接
快去分享给好友吧!
我知道了
右上角分享
点击右上角分享
0
联系我们:info@booksci.cn Book学术提供免费学术资源搜索服务,方便国内外学者检索中英文文献。致力于提供最便捷和优质的服务体验。 Copyright © 2023 布克学术 All rights reserved.
京ICP备2023020795号-1
ghs 京公网安备 11010802042870号
Book学术文献互助
Book学术文献互助群
群 号:604180095
Book学术官方微信