青少年创伤后应激:时间视角在创伤暴露、PTSD症状和大麻使用之间的中介作用。

IF 2.6 Q1 PSYCHOLOGY, CLINICAL
Alexander Pütz, Gerhard Hapfelmeier, Alexandra Martin, Stephan Bender, Marco Walg
{"title":"青少年创伤后应激:时间视角在创伤暴露、PTSD症状和大麻使用之间的中介作用。","authors":"Alexander Pütz, Gerhard Hapfelmeier, Alexandra Martin, Stephan Bender, Marco Walg","doi":"10.3390/ejihpe15090177","DOIUrl":null,"url":null,"abstract":"<p><p>Post-traumatic stress symptoms (PTSSs) are associated with an imbalanced time perspective (TP) as well as with unhealthy substance use. Although neurodevelopmental processes during adolescence may impact PTSS, most etiological models of post-traumatic stress disorder (PTSD) are derived from studies with adults and neglect possible distinctive characteristics in adolescent PTSD. This study examined possible direct and mediated relations between exposure to potentially traumatic experiences (EPTEs) and PTSS with TP as a potential mediator. In addition, the study investigated the direct and indirect effects of EPTE, TP, and PTSS on cannabis use. The aim of this study was to investigate whether findings from adult studies can be transferred to adolescent PTSD. One hundred and five patients between 14 and 20 years of age were recruited from child and adolescent psychiatric units. They answered questionnaires to assess EPTE, PTSS, TP, and cannabis use. Participants with clinically relevant PTSS showed imbalanced TP with a high orientation to negative past and a low orientation to positive past and future. Higher EPTE was associated with higher level of PTSS, but TP mediated the level of PTSS in this relation. PTSS predicted the frequency of cannabis use. It may therefore be beneficial to consider TP in PTSD therapy with the aim of reducing deviation from balanced TP and PTSS and preventing comorbid substance use.</p>","PeriodicalId":30631,"journal":{"name":"European Journal of Investigation in Health Psychology and Education","volume":"15 9","pages":""},"PeriodicalIF":2.6000,"publicationDate":"2025-09-01","publicationTypes":"Journal Article","fieldsOfStudy":null,"isOpenAccess":false,"openAccessPdf":"https://www.ncbi.nlm.nih.gov/pmc/articles/PMC12468235/pdf/","citationCount":"0","resultStr":"{\"title\":\"Post-Traumatic Stress in Adolescence: The Mediating Role of Time Perspective Between Trauma Exposure, PTSD Symptoms, and Cannabis Use.\",\"authors\":\"Alexander Pütz, Gerhard Hapfelmeier, Alexandra Martin, Stephan Bender, Marco Walg\",\"doi\":\"10.3390/ejihpe15090177\",\"DOIUrl\":null,\"url\":null,\"abstract\":\"<p><p>Post-traumatic stress symptoms (PTSSs) are associated with an imbalanced time perspective (TP) as well as with unhealthy substance use. Although neurodevelopmental processes during adolescence may impact PTSS, most etiological models of post-traumatic stress disorder (PTSD) are derived from studies with adults and neglect possible distinctive characteristics in adolescent PTSD. This study examined possible direct and mediated relations between exposure to potentially traumatic experiences (EPTEs) and PTSS with TP as a potential mediator. In addition, the study investigated the direct and indirect effects of EPTE, TP, and PTSS on cannabis use. The aim of this study was to investigate whether findings from adult studies can be transferred to adolescent PTSD. One hundred and five patients between 14 and 20 years of age were recruited from child and adolescent psychiatric units. They answered questionnaires to assess EPTE, PTSS, TP, and cannabis use. Participants with clinically relevant PTSS showed imbalanced TP with a high orientation to negative past and a low orientation to positive past and future. Higher EPTE was associated with higher level of PTSS, but TP mediated the level of PTSS in this relation. PTSS predicted the frequency of cannabis use. It may therefore be beneficial to consider TP in PTSD therapy with the aim of reducing deviation from balanced TP and PTSS and preventing comorbid substance use.</p>\",\"PeriodicalId\":30631,\"journal\":{\"name\":\"European Journal of Investigation in Health Psychology and Education\",\"volume\":\"15 9\",\"pages\":\"\"},\"PeriodicalIF\":2.6000,\"publicationDate\":\"2025-09-01\",\"publicationTypes\":\"Journal Article\",\"fieldsOfStudy\":null,\"isOpenAccess\":false,\"openAccessPdf\":\"https://www.ncbi.nlm.nih.gov/pmc/articles/PMC12468235/pdf/\",\"citationCount\":\"0\",\"resultStr\":null,\"platform\":\"Semanticscholar\",\"paperid\":null,\"PeriodicalName\":\"European Journal of Investigation in Health Psychology and Education\",\"FirstCategoryId\":\"1085\",\"ListUrlMain\":\"https://doi.org/10.3390/ejihpe15090177\",\"RegionNum\":0,\"RegionCategory\":null,\"ArticlePicture\":[],\"TitleCN\":null,\"AbstractTextCN\":null,\"PMCID\":null,\"EPubDate\":\"\",\"PubModel\":\"\",\"JCR\":\"Q1\",\"JCRName\":\"PSYCHOLOGY, CLINICAL\",\"Score\":null,\"Total\":0}","platform":"Semanticscholar","paperid":null,"PeriodicalName":"European Journal of Investigation in Health Psychology and Education","FirstCategoryId":"1085","ListUrlMain":"https://doi.org/10.3390/ejihpe15090177","RegionNum":0,"RegionCategory":null,"ArticlePicture":[],"TitleCN":null,"AbstractTextCN":null,"PMCID":null,"EPubDate":"","PubModel":"","JCR":"Q1","JCRName":"PSYCHOLOGY, CLINICAL","Score":null,"Total":0}
引用次数: 0

摘要

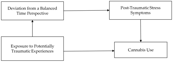
创伤后应激症状(ptsd)与不平衡的时间观(TP)以及不健康的物质使用有关。尽管青春期的神经发育过程可能会影响创伤后应激障碍,但大多数创伤后应激障碍(PTSD)的病因学模型都是基于成人的研究,而忽视了青少年创伤后应激障碍可能具有的独特特征。本研究探讨了暴露于潜在创伤经历(EPTEs)和创伤后应激障碍之间可能的直接和中介关系,其中TP作为潜在的中介。此外,该研究还调查了EPTE、TP和PTSS对大麻使用的直接和间接影响。这项研究的目的是调查成人研究的结果是否可以转移到青少年创伤后应激障碍。从儿童和青少年精神科招募了105名年龄在14至20岁之间的患者。他们回答了评估EPTE、PTSS、TP和大麻使用情况的问卷。临床相关ptsd患者表现出TP不平衡,对消极过去倾向高,对积极过去和未来倾向低。高EPTE与高PTSS水平相关,但TP介导PTSS水平。PTSS预测了大麻使用的频率。因此,在PTSD治疗中考虑TP可能是有益的,目的是减少TP和PTSS平衡的偏离,防止合并症的物质使用。
本文章由计算机程序翻译,如有差异,请以英文原文为准。

Post-Traumatic Stress in Adolescence: The Mediating Role of Time Perspective Between Trauma Exposure, PTSD Symptoms, and Cannabis Use.

Post-Traumatic Stress in Adolescence: The Mediating Role of Time Perspective Between Trauma Exposure, PTSD Symptoms, and Cannabis Use.

Post-Traumatic Stress in Adolescence: The Mediating Role of Time Perspective Between Trauma Exposure, PTSD Symptoms, and Cannabis Use.

Post-Traumatic Stress in Adolescence: The Mediating Role of Time Perspective Between Trauma Exposure, PTSD Symptoms, and Cannabis Use.

Post-traumatic stress symptoms (PTSSs) are associated with an imbalanced time perspective (TP) as well as with unhealthy substance use. Although neurodevelopmental processes during adolescence may impact PTSS, most etiological models of post-traumatic stress disorder (PTSD) are derived from studies with adults and neglect possible distinctive characteristics in adolescent PTSD. This study examined possible direct and mediated relations between exposure to potentially traumatic experiences (EPTEs) and PTSS with TP as a potential mediator. In addition, the study investigated the direct and indirect effects of EPTE, TP, and PTSS on cannabis use. The aim of this study was to investigate whether findings from adult studies can be transferred to adolescent PTSD. One hundred and five patients between 14 and 20 years of age were recruited from child and adolescent psychiatric units. They answered questionnaires to assess EPTE, PTSS, TP, and cannabis use. Participants with clinically relevant PTSS showed imbalanced TP with a high orientation to negative past and a low orientation to positive past and future. Higher EPTE was associated with higher level of PTSS, but TP mediated the level of PTSS in this relation. PTSS predicted the frequency of cannabis use. It may therefore be beneficial to consider TP in PTSD therapy with the aim of reducing deviation from balanced TP and PTSS and preventing comorbid substance use.

求助全文
通过发布文献求助,成功后即可免费获取论文全文。 去求助
来源期刊
CiteScore
4.40
自引率
12.50%
发文量
111
审稿时长
8 weeks
×
引用
GB/T 7714-2015
复制
MLA
复制
APA
复制
导出至
BibTeX EndNote RefMan NoteFirst NoteExpress
×
提示
您的信息不完整,为了账户安全,请先补充。
现在去补充
×
提示
您因"违规操作"
具体请查看互助需知
我知道了
×
提示
确定
请完成安全验证×
copy
已复制链接
快去分享给好友吧!
我知道了
右上角分享
点击右上角分享
0
联系我们:info@booksci.cn Book学术提供免费学术资源搜索服务,方便国内外学者检索中英文文献。致力于提供最便捷和优质的服务体验。 Copyright © 2023 布克学术 All rights reserved.
京ICP备2023020795号-1
ghs 京公网安备 11010802042870号
Book学术文献互助
Book学术文献互助群
群 号:604180095
Book学术官方微信