儿童癌症幸存者在日常生活活动中与身体质量指数相关的参与限制:一项横断面研究

IF 2.3 4区 医学 Q2 PEDIATRICS
Müberra Tanrıverdi, Sedef Sahin, Kardelen Yıldırım, Guleser Guney Yılmaz, Ceren Davutoglu, Fatma Betul Cakir, Özgün Kaya Kara
{"title":"儿童癌症幸存者在日常生活活动中与身体质量指数相关的参与限制:一项横断面研究","authors":"Müberra Tanrıverdi, Sedef Sahin, Kardelen Yıldırım, Guleser Guney Yılmaz, Ceren Davutoglu, Fatma Betul Cakir, Özgün Kaya Kara","doi":"10.1136/bmjpo-2025-003639","DOIUrl":null,"url":null,"abstract":"<p><strong>Objectives: </strong>This study compared participation limitations in daily life activities among childhood cancer survivors across different Body Mass Index (BMI) categories.</p><p><strong>Design: </strong>Prospective cross-sectional study.</p><p><strong>Setting: </strong>The study data were collected from two separate oncology outpatient clinics.</p><p><strong>Participants: </strong>116 children with cancer aged 10.07±3.83 were included in the study. The mean follow-up time after cancer treatment turnover was 36.28±6.43 months.</p><p><strong>Primary outcome measures: </strong>Participation levels were assessed using the Pediatric Outcomes Data Collection Instrument (PODCI) as the primary outcome of this study, and they were categorised by BMI.</p><p><strong>Results: </strong>The mean z score was 0.64 ± 1.12, and the average BMI was 17.76±3.56. The PODCI global functioning score averaged 80.25±15.23. There were no significant associations between the global functioning score and age, chemotherapy, or surgery (p>0.05). However, significant relationships were found between the global functioning score and gender, BMI, and radiotherapy (p<0.05). Significant functional differences were observed in the upper extremity, basic mobility transfer, happiness and overall functioning (p<0.05). No significant differences were noted in sports and physical functioning or pain/comfort across different BMI categories (underweight, normal/healthy, overweight) (p>0.05).</p><p><strong>Conclusions: </strong>Survivors experience participation restrictions in daily living activities after completing treatment. Systematic evaluation of feedback received from patients/parents regarding physical function, sports, transfer and participation highlights the importance of BMI in childhood cancer survivors. Addressing these factors is key to achieving better health-related quality of life in functionality and participatory outcomes for survivors.</p>","PeriodicalId":9069,"journal":{"name":"BMJ Paediatrics Open","volume":"9 1","pages":""},"PeriodicalIF":2.3000,"publicationDate":"2025-09-25","publicationTypes":"Journal Article","fieldsOfStudy":null,"isOpenAccess":false,"openAccessPdf":"https://www.ncbi.nlm.nih.gov/pmc/articles/PMC12481326/pdf/","citationCount":"0","resultStr":"{\"title\":\"Body mass index-related participation limitations in daily life activities among survivors of childhood cancer: a cross-sectional study.\",\"authors\":\"Müberra Tanrıverdi, Sedef Sahin, Kardelen Yıldırım, Guleser Guney Yılmaz, Ceren Davutoglu, Fatma Betul Cakir, Özgün Kaya Kara\",\"doi\":\"10.1136/bmjpo-2025-003639\",\"DOIUrl\":null,\"url\":null,\"abstract\":\"<p><strong>Objectives: </strong>This study compared participation limitations in daily life activities among childhood cancer survivors across different Body Mass Index (BMI) categories.</p><p><strong>Design: </strong>Prospective cross-sectional study.</p><p><strong>Setting: </strong>The study data were collected from two separate oncology outpatient clinics.</p><p><strong>Participants: </strong>116 children with cancer aged 10.07±3.83 were included in the study. The mean follow-up time after cancer treatment turnover was 36.28±6.43 months.</p><p><strong>Primary outcome measures: </strong>Participation levels were assessed using the Pediatric Outcomes Data Collection Instrument (PODCI) as the primary outcome of this study, and they were categorised by BMI.</p><p><strong>Results: </strong>The mean z score was 0.64 ± 1.12, and the average BMI was 17.76±3.56. The PODCI global functioning score averaged 80.25±15.23. There were no significant associations between the global functioning score and age, chemotherapy, or surgery (p>0.05). However, significant relationships were found between the global functioning score and gender, BMI, and radiotherapy (p<0.05). Significant functional differences were observed in the upper extremity, basic mobility transfer, happiness and overall functioning (p<0.05). No significant differences were noted in sports and physical functioning or pain/comfort across different BMI categories (underweight, normal/healthy, overweight) (p>0.05).</p><p><strong>Conclusions: </strong>Survivors experience participation restrictions in daily living activities after completing treatment. Systematic evaluation of feedback received from patients/parents regarding physical function, sports, transfer and participation highlights the importance of BMI in childhood cancer survivors. Addressing these factors is key to achieving better health-related quality of life in functionality and participatory outcomes for survivors.</p>\",\"PeriodicalId\":9069,\"journal\":{\"name\":\"BMJ Paediatrics Open\",\"volume\":\"9 1\",\"pages\":\"\"},\"PeriodicalIF\":2.3000,\"publicationDate\":\"2025-09-25\",\"publicationTypes\":\"Journal Article\",\"fieldsOfStudy\":null,\"isOpenAccess\":false,\"openAccessPdf\":\"https://www.ncbi.nlm.nih.gov/pmc/articles/PMC12481326/pdf/\",\"citationCount\":\"0\",\"resultStr\":null,\"platform\":\"Semanticscholar\",\"paperid\":null,\"PeriodicalName\":\"BMJ Paediatrics Open\",\"FirstCategoryId\":\"3\",\"ListUrlMain\":\"https://doi.org/10.1136/bmjpo-2025-003639\",\"RegionNum\":4,\"RegionCategory\":\"医学\",\"ArticlePicture\":[],\"TitleCN\":null,\"AbstractTextCN\":null,\"PMCID\":null,\"EPubDate\":\"\",\"PubModel\":\"\",\"JCR\":\"Q2\",\"JCRName\":\"PEDIATRICS\",\"Score\":null,\"Total\":0}","platform":"Semanticscholar","paperid":null,"PeriodicalName":"BMJ Paediatrics Open","FirstCategoryId":"3","ListUrlMain":"https://doi.org/10.1136/bmjpo-2025-003639","RegionNum":4,"RegionCategory":"医学","ArticlePicture":[],"TitleCN":null,"AbstractTextCN":null,"PMCID":null,"EPubDate":"","PubModel":"","JCR":"Q2","JCRName":"PEDIATRICS","Score":null,"Total":0}
引用次数: 0

摘要

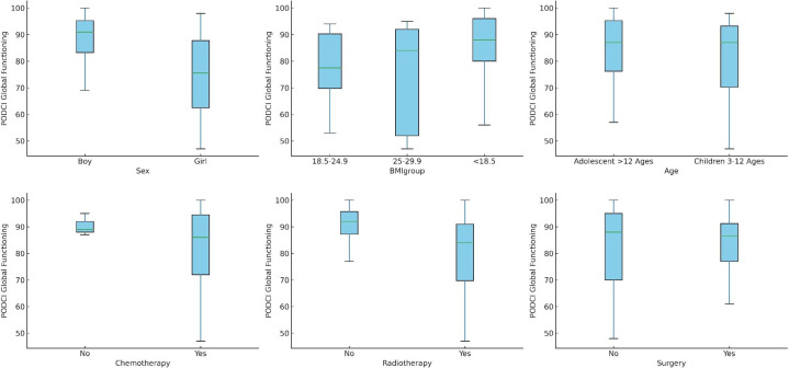
目的:本研究比较了不同体重指数(BMI)类别的儿童癌症幸存者在日常生活活动中的参与限制。设计:前瞻性横断面研究。研究背景:研究数据来自两个独立的肿瘤门诊诊所。研究对象:116名年龄为10.07±3.83岁的癌症患儿纳入研究。癌症治疗结束后平均随访时间36.28±6.43个月。主要结局指标:使用儿科结局数据收集工具(PODCI)作为本研究的主要结局来评估参与水平,并按BMI进行分类。结果:z评分平均值为0.64 ± 1.12,BMI平均值为17.76±3.56。PODCI整体功能评分平均为80.25±15.23分。总体功能评分与年龄、化疗或手术之间无显著相关性(p < 0.05)。然而,总体功能评分与性别、BMI和放疗之间存在显著相关性(p0.05)。结论:完成治疗后,幸存者在日常生活活动中的参与受到限制。系统评估从患者/家长那里收到的关于身体功能、运动、转移和参与的反馈,突出了BMI对儿童癌症幸存者的重要性。解决这些因素是幸存者在功能和参与性成果方面实现更好的健康相关生活质量的关键。
本文章由计算机程序翻译,如有差异,请以英文原文为准。

Body mass index-related participation limitations in daily life activities among survivors of childhood cancer: a cross-sectional study.

Body mass index-related participation limitations in daily life activities among survivors of childhood cancer: a cross-sectional study.

Body mass index-related participation limitations in daily life activities among survivors of childhood cancer: a cross-sectional study.

Objectives: This study compared participation limitations in daily life activities among childhood cancer survivors across different Body Mass Index (BMI) categories.

Design: Prospective cross-sectional study.

Setting: The study data were collected from two separate oncology outpatient clinics.

Participants: 116 children with cancer aged 10.07±3.83 were included in the study. The mean follow-up time after cancer treatment turnover was 36.28±6.43 months.

Primary outcome measures: Participation levels were assessed using the Pediatric Outcomes Data Collection Instrument (PODCI) as the primary outcome of this study, and they were categorised by BMI.

Results: The mean z score was 0.64 ± 1.12, and the average BMI was 17.76±3.56. The PODCI global functioning score averaged 80.25±15.23. There were no significant associations between the global functioning score and age, chemotherapy, or surgery (p>0.05). However, significant relationships were found between the global functioning score and gender, BMI, and radiotherapy (p<0.05). Significant functional differences were observed in the upper extremity, basic mobility transfer, happiness and overall functioning (p<0.05). No significant differences were noted in sports and physical functioning or pain/comfort across different BMI categories (underweight, normal/healthy, overweight) (p>0.05).

Conclusions: Survivors experience participation restrictions in daily living activities after completing treatment. Systematic evaluation of feedback received from patients/parents regarding physical function, sports, transfer and participation highlights the importance of BMI in childhood cancer survivors. Addressing these factors is key to achieving better health-related quality of life in functionality and participatory outcomes for survivors.

求助全文
通过发布文献求助,成功后即可免费获取论文全文。 去求助
来源期刊
BMJ Paediatrics Open
BMJ Paediatrics Open Medicine-Pediatrics, Perinatology and Child Health
CiteScore
4.10
自引率
3.80%
发文量
124
×
引用
GB/T 7714-2015
复制
MLA
复制
APA
复制
导出至
BibTeX EndNote RefMan NoteFirst NoteExpress
×
提示
您的信息不完整,为了账户安全,请先补充。
现在去补充
×
提示
您因"违规操作"
具体请查看互助需知
我知道了
×
提示
确定
请完成安全验证×
copy
已复制链接
快去分享给好友吧!
我知道了
右上角分享
点击右上角分享
0
联系我们:info@booksci.cn Book学术提供免费学术资源搜索服务,方便国内外学者检索中英文文献。致力于提供最便捷和优质的服务体验。 Copyright © 2023 布克学术 All rights reserved.
京ICP备2023020795号-1
ghs 京公网安备 11010802042870号
Book学术文献互助
Book学术文献互助群
群 号:604180095
Book学术官方微信