从队列,在实验室和在现场嫌疑人识别的准确性。

IF 3.1 2区 心理学 Q1 PSYCHOLOGY, EXPERIMENTAL
John T Wixted, Laura Mickes
{"title":"从队列,在实验室和在现场嫌疑人识别的准确性。","authors":"John T Wixted, Laura Mickes","doi":"10.1186/s41235-025-00670-1","DOIUrl":null,"url":null,"abstract":"<p><p>A 2016 field study conducted in collaboration with the Houston Police Department reported that simultaneous lineups were diagnostically superior to sequential lineups, that confidence was strongly predictive of accuracy, and that high-confidence suspect identifications were highly reliable. The study also estimated that most lineups (65%) contained an innocent suspect. Because the innocence or guilt of a suspect in a real police lineup is unknown, however, these conclusions could not be based on direct computations from target-present and target-absent lineups. Instead, they were parameter estimates from a signal detection model fit to the data. A recently published mock-crime laboratory study mirrored key methodological details of the Houston field study, allowing for similar analyses based on direct computations. Here, we compare the results of the two studies and find that they yield similar conclusions. In addition, new model-based analyses of the Houston field data weigh against recent concerns that unfair lineups and other potential biasing factors may have compromised the original model-based estimates. Finally, the lab and field data agree that when encoding conditions are poor (e.g., long viewing distance), witnesses make far fewer high-confidence identifications, but the few witnesses who do express high confidence maintain a high level of accuracy. These findings are consistent with likelihood ratio theories of recognition memory and reinforce a growing consensus that, as encoding conditions become degraded, high-confidence identifications become increasingly rare but are still highly diagnostic. Whether this conclusion holds when conditions are degraded in the extreme is unresolved.</p>","PeriodicalId":46827,"journal":{"name":"Cognitive Research-Principles and Implications","volume":"10 1","pages":"60"},"PeriodicalIF":3.1000,"publicationDate":"2025-09-19","publicationTypes":"Journal Article","fieldsOfStudy":null,"isOpenAccess":false,"openAccessPdf":"https://www.ncbi.nlm.nih.gov/pmc/articles/PMC12449283/pdf/","citationCount":"0","resultStr":"{\"title\":\"Suspect identification accuracy from lineups, in the lab and in the field.\",\"authors\":\"John T Wixted, Laura Mickes\",\"doi\":\"10.1186/s41235-025-00670-1\",\"DOIUrl\":null,\"url\":null,\"abstract\":\"<p><p>A 2016 field study conducted in collaboration with the Houston Police Department reported that simultaneous lineups were diagnostically superior to sequential lineups, that confidence was strongly predictive of accuracy, and that high-confidence suspect identifications were highly reliable. The study also estimated that most lineups (65%) contained an innocent suspect. Because the innocence or guilt of a suspect in a real police lineup is unknown, however, these conclusions could not be based on direct computations from target-present and target-absent lineups. Instead, they were parameter estimates from a signal detection model fit to the data. A recently published mock-crime laboratory study mirrored key methodological details of the Houston field study, allowing for similar analyses based on direct computations. Here, we compare the results of the two studies and find that they yield similar conclusions. In addition, new model-based analyses of the Houston field data weigh against recent concerns that unfair lineups and other potential biasing factors may have compromised the original model-based estimates. Finally, the lab and field data agree that when encoding conditions are poor (e.g., long viewing distance), witnesses make far fewer high-confidence identifications, but the few witnesses who do express high confidence maintain a high level of accuracy. These findings are consistent with likelihood ratio theories of recognition memory and reinforce a growing consensus that, as encoding conditions become degraded, high-confidence identifications become increasingly rare but are still highly diagnostic. Whether this conclusion holds when conditions are degraded in the extreme is unresolved.</p>\",\"PeriodicalId\":46827,\"journal\":{\"name\":\"Cognitive Research-Principles and Implications\",\"volume\":\"10 1\",\"pages\":\"60\"},\"PeriodicalIF\":3.1000,\"publicationDate\":\"2025-09-19\",\"publicationTypes\":\"Journal Article\",\"fieldsOfStudy\":null,\"isOpenAccess\":false,\"openAccessPdf\":\"https://www.ncbi.nlm.nih.gov/pmc/articles/PMC12449283/pdf/\",\"citationCount\":\"0\",\"resultStr\":null,\"platform\":\"Semanticscholar\",\"paperid\":null,\"PeriodicalName\":\"Cognitive Research-Principles and Implications\",\"FirstCategoryId\":\"102\",\"ListUrlMain\":\"https://doi.org/10.1186/s41235-025-00670-1\",\"RegionNum\":2,\"RegionCategory\":\"心理学\",\"ArticlePicture\":[],\"TitleCN\":null,\"AbstractTextCN\":null,\"PMCID\":null,\"EPubDate\":\"\",\"PubModel\":\"\",\"JCR\":\"Q1\",\"JCRName\":\"PSYCHOLOGY, EXPERIMENTAL\",\"Score\":null,\"Total\":0}","platform":"Semanticscholar","paperid":null,"PeriodicalName":"Cognitive Research-Principles and Implications","FirstCategoryId":"102","ListUrlMain":"https://doi.org/10.1186/s41235-025-00670-1","RegionNum":2,"RegionCategory":"心理学","ArticlePicture":[],"TitleCN":null,"AbstractTextCN":null,"PMCID":null,"EPubDate":"","PubModel":"","JCR":"Q1","JCRName":"PSYCHOLOGY, EXPERIMENTAL","Score":null,"Total":0}
引用次数: 0

摘要

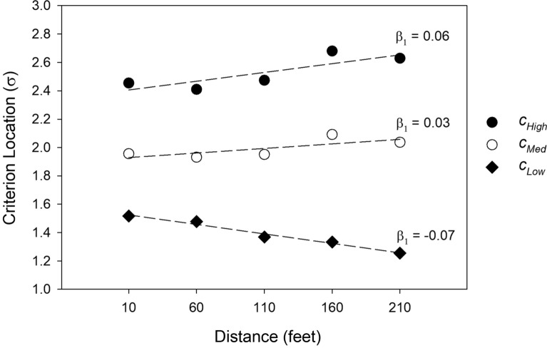
2016年与休斯顿警察局合作进行的一项实地研究报告称,同时列队在诊断上优于顺序列队,信心对准确性有很强的预测作用,高信心的嫌疑人识别高度可靠。该研究还估计,大多数队列(65%)包含一个无辜的嫌疑人。然而,由于在真实的警察阵容中,嫌疑犯的无罪或有罪是未知的,因此这些结论不可能基于目标在场和目标缺席阵容的直接计算。相反,它们是信号检测模型对数据的参数估计。最近发表的一项模拟犯罪实验室研究反映了休斯敦实地研究的关键方法细节,允许基于直接计算的类似分析。在这里,我们比较了两项研究的结果,发现它们得出了相似的结论。此外,基于休斯顿现场数据的新模型分析也抵消了最近的担忧,即不公平的排列和其他潜在的偏见因素可能会损害原始的基于模型的估计。最后,实验室和现场数据一致认为,当编码条件较差(例如,观看距离较远)时,目击者的高可信度识别要少得多,但少数表现出高可信度的目击者保持了高水平的准确性。这些发现与识别记忆的似然比理论一致,并强化了一个日益增长的共识,即随着编码条件的退化,高置信度的识别变得越来越罕见,但仍然具有很高的诊断价值。当条件极端恶化时,这一结论是否成立还不得而知。
本文章由计算机程序翻译,如有差异,请以英文原文为准。

Suspect identification accuracy from lineups, in the lab and in the field.

Suspect identification accuracy from lineups, in the lab and in the field.

Suspect identification accuracy from lineups, in the lab and in the field.

Suspect identification accuracy from lineups, in the lab and in the field.

A 2016 field study conducted in collaboration with the Houston Police Department reported that simultaneous lineups were diagnostically superior to sequential lineups, that confidence was strongly predictive of accuracy, and that high-confidence suspect identifications were highly reliable. The study also estimated that most lineups (65%) contained an innocent suspect. Because the innocence or guilt of a suspect in a real police lineup is unknown, however, these conclusions could not be based on direct computations from target-present and target-absent lineups. Instead, they were parameter estimates from a signal detection model fit to the data. A recently published mock-crime laboratory study mirrored key methodological details of the Houston field study, allowing for similar analyses based on direct computations. Here, we compare the results of the two studies and find that they yield similar conclusions. In addition, new model-based analyses of the Houston field data weigh against recent concerns that unfair lineups and other potential biasing factors may have compromised the original model-based estimates. Finally, the lab and field data agree that when encoding conditions are poor (e.g., long viewing distance), witnesses make far fewer high-confidence identifications, but the few witnesses who do express high confidence maintain a high level of accuracy. These findings are consistent with likelihood ratio theories of recognition memory and reinforce a growing consensus that, as encoding conditions become degraded, high-confidence identifications become increasingly rare but are still highly diagnostic. Whether this conclusion holds when conditions are degraded in the extreme is unresolved.

求助全文
通过发布文献求助,成功后即可免费获取论文全文。 去求助
来源期刊
CiteScore
6.80
自引率
7.30%
发文量
96
审稿时长
25 weeks
×
引用
GB/T 7714-2015
复制
MLA
复制
APA
复制
导出至
BibTeX EndNote RefMan NoteFirst NoteExpress
×
提示
您的信息不完整,为了账户安全,请先补充。
现在去补充
×
提示
您因"违规操作"
具体请查看互助需知
我知道了
×
提示
确定
请完成安全验证×
copy
已复制链接
快去分享给好友吧!
我知道了
右上角分享
点击右上角分享
0
联系我们:info@booksci.cn Book学术提供免费学术资源搜索服务,方便国内外学者检索中英文文献。致力于提供最便捷和优质的服务体验。 Copyright © 2023 布克学术 All rights reserved.
京ICP备2023020795号-1
ghs 京公网安备 11010802042870号
Book学术文献互助
Book学术文献互助群
群 号:604180095
Book学术官方微信