信任然后说话还是说话然后信任?沟通网络的共同演化与组织间信任。

IF 3.1 2区 心理学 Q1 PSYCHOLOGY, EXPERIMENTAL
Sean M Fitzhugh, Cynthia K Maupin, Arwen H DeCostanza
{"title":"信任然后说话还是说话然后信任?沟通网络的共同演化与组织间信任。","authors":"Sean M Fitzhugh, Cynthia K Maupin, Arwen H DeCostanza","doi":"10.1186/s41235-025-00662-1","DOIUrl":null,"url":null,"abstract":"<p><p>Trust serves an important purpose in organizations composed of numerous, specialized, interdependent roles. Supporting confidence that individuals will dutifully fulfill the responsibilities of those roles without causing harm to the organization, trust enables coordinated task execution across multiple roles and facilitates information exchange among individuals by reducing cognitive resources spent verifying information accuracy and reliability. Interactions play an important role in shaping and updating trust, but the mechanisms underlying the relationship between communication networks and trust dynamics remain poorly understood. This paper addresses that gap by directly examining the coevolution of communication networks and trust. During a multi-day military training exercise, participants (n=83) from three distinct units formed a coalition organization largely focused on collecting, analyzing, and acting on information gleaned from the operating environment of roughly 10k units under their command. Over the course of the exercise, each participant provided eight ratings of trust in their own unit and their coalition partners' units. Static and dynamic network models of the organization's communication networks assessed whether trust is an antecedent or product of communication. Results consistently show that when individuals report elevated trust in a unit, they become more likely to form and sustain relationships to members of that unit during the next time period. They also increase their rates of communication to those unit members. However, this relationship does not work in reverse: Increased communication to a unit does not precede increased trust in that unit. These findings suggest temporal directionality in the coevolution of trust and communication.</p>","PeriodicalId":46827,"journal":{"name":"Cognitive Research-Principles and Implications","volume":"10 1","pages":"61"},"PeriodicalIF":3.1000,"publicationDate":"2025-09-19","publicationTypes":"Journal Article","fieldsOfStudy":null,"isOpenAccess":false,"openAccessPdf":"https://www.ncbi.nlm.nih.gov/pmc/articles/PMC12449295/pdf/","citationCount":"0","resultStr":"{\"title\":\"Trust then talk or talk then trust? The coevolution of communication networks and inter-organizational trust.\",\"authors\":\"Sean M Fitzhugh, Cynthia K Maupin, Arwen H DeCostanza\",\"doi\":\"10.1186/s41235-025-00662-1\",\"DOIUrl\":null,\"url\":null,\"abstract\":\"<p><p>Trust serves an important purpose in organizations composed of numerous, specialized, interdependent roles. Supporting confidence that individuals will dutifully fulfill the responsibilities of those roles without causing harm to the organization, trust enables coordinated task execution across multiple roles and facilitates information exchange among individuals by reducing cognitive resources spent verifying information accuracy and reliability. Interactions play an important role in shaping and updating trust, but the mechanisms underlying the relationship between communication networks and trust dynamics remain poorly understood. This paper addresses that gap by directly examining the coevolution of communication networks and trust. During a multi-day military training exercise, participants (n=83) from three distinct units formed a coalition organization largely focused on collecting, analyzing, and acting on information gleaned from the operating environment of roughly 10k units under their command. Over the course of the exercise, each participant provided eight ratings of trust in their own unit and their coalition partners' units. Static and dynamic network models of the organization's communication networks assessed whether trust is an antecedent or product of communication. Results consistently show that when individuals report elevated trust in a unit, they become more likely to form and sustain relationships to members of that unit during the next time period. They also increase their rates of communication to those unit members. However, this relationship does not work in reverse: Increased communication to a unit does not precede increased trust in that unit. These findings suggest temporal directionality in the coevolution of trust and communication.</p>\",\"PeriodicalId\":46827,\"journal\":{\"name\":\"Cognitive Research-Principles and Implications\",\"volume\":\"10 1\",\"pages\":\"61\"},\"PeriodicalIF\":3.1000,\"publicationDate\":\"2025-09-19\",\"publicationTypes\":\"Journal Article\",\"fieldsOfStudy\":null,\"isOpenAccess\":false,\"openAccessPdf\":\"https://www.ncbi.nlm.nih.gov/pmc/articles/PMC12449295/pdf/\",\"citationCount\":\"0\",\"resultStr\":null,\"platform\":\"Semanticscholar\",\"paperid\":null,\"PeriodicalName\":\"Cognitive Research-Principles and Implications\",\"FirstCategoryId\":\"102\",\"ListUrlMain\":\"https://doi.org/10.1186/s41235-025-00662-1\",\"RegionNum\":2,\"RegionCategory\":\"心理学\",\"ArticlePicture\":[],\"TitleCN\":null,\"AbstractTextCN\":null,\"PMCID\":null,\"EPubDate\":\"\",\"PubModel\":\"\",\"JCR\":\"Q1\",\"JCRName\":\"PSYCHOLOGY, EXPERIMENTAL\",\"Score\":null,\"Total\":0}","platform":"Semanticscholar","paperid":null,"PeriodicalName":"Cognitive Research-Principles and Implications","FirstCategoryId":"102","ListUrlMain":"https://doi.org/10.1186/s41235-025-00662-1","RegionNum":2,"RegionCategory":"心理学","ArticlePicture":[],"TitleCN":null,"AbstractTextCN":null,"PMCID":null,"EPubDate":"","PubModel":"","JCR":"Q1","JCRName":"PSYCHOLOGY, EXPERIMENTAL","Score":null,"Total":0}
引用次数: 0

摘要

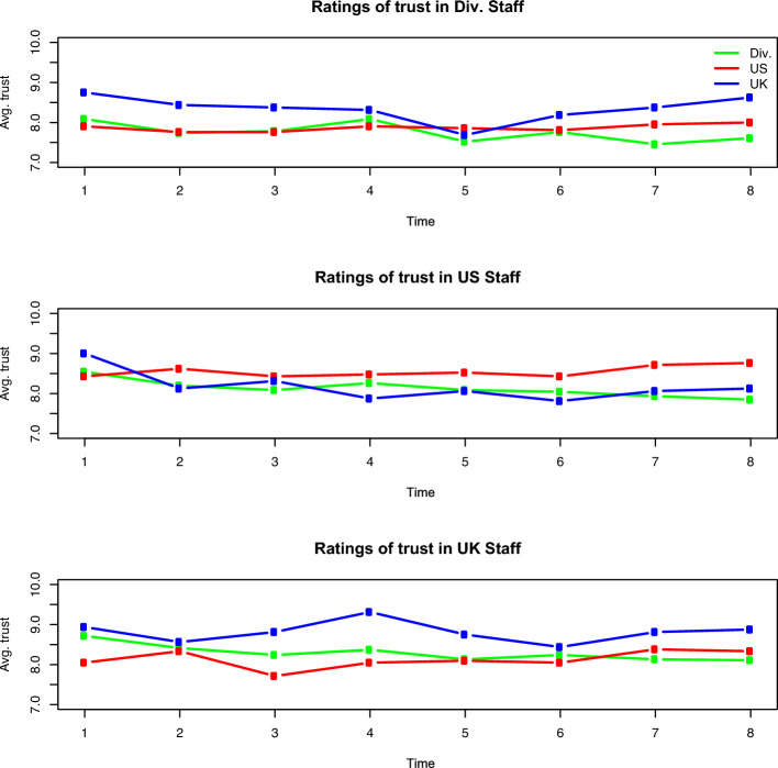
在由众多专门的、相互依赖的角色组成的组织中,信任起着重要的作用。信任支持个人将尽职尽责地履行这些角色的责任而不会对组织造成伤害的信心,信任使跨多个角色的协调任务得以执行,并通过减少验证信息准确性和可靠性所花费的认知资源,促进个人之间的信息交换。互动在形成和更新信任方面发挥着重要作用,但沟通网络和信任动态之间关系的潜在机制仍然知之甚少。本文通过直接研究通信网络和信任的共同进化来解决这一差距。在为期数天的军事训练演习中,来自三个不同单位的参与者(n=83)组成了一个联合组织,主要集中在收集、分析和行动上,这些信息来自他们指挥下的大约1万个单位的作战环境。在演习过程中,每个参与者对自己的部队和联盟伙伴的部队提供了8个信任等级。组织沟通网络的静态和动态网络模型评估信任是沟通的先决条件还是产品。结果一致表明,当个人报告对一个单位的信任度提高时,他们更有可能在接下来的一段时间内与该单位的成员建立和维持关系。他们还提高了与这些单位成员的沟通率。然而,这种关系并不会反过来起作用:增加与一个单位的沟通并不会增加对该单位的信任。这些发现表明信任和沟通的共同进化具有时间方向性。
本文章由计算机程序翻译,如有差异,请以英文原文为准。

Trust then talk or talk then trust? The coevolution of communication networks and inter-organizational trust.

Trust then talk or talk then trust? The coevolution of communication networks and inter-organizational trust.

Trust then talk or talk then trust? The coevolution of communication networks and inter-organizational trust.

Trust then talk or talk then trust? The coevolution of communication networks and inter-organizational trust.

Trust serves an important purpose in organizations composed of numerous, specialized, interdependent roles. Supporting confidence that individuals will dutifully fulfill the responsibilities of those roles without causing harm to the organization, trust enables coordinated task execution across multiple roles and facilitates information exchange among individuals by reducing cognitive resources spent verifying information accuracy and reliability. Interactions play an important role in shaping and updating trust, but the mechanisms underlying the relationship between communication networks and trust dynamics remain poorly understood. This paper addresses that gap by directly examining the coevolution of communication networks and trust. During a multi-day military training exercise, participants (n=83) from three distinct units formed a coalition organization largely focused on collecting, analyzing, and acting on information gleaned from the operating environment of roughly 10k units under their command. Over the course of the exercise, each participant provided eight ratings of trust in their own unit and their coalition partners' units. Static and dynamic network models of the organization's communication networks assessed whether trust is an antecedent or product of communication. Results consistently show that when individuals report elevated trust in a unit, they become more likely to form and sustain relationships to members of that unit during the next time period. They also increase their rates of communication to those unit members. However, this relationship does not work in reverse: Increased communication to a unit does not precede increased trust in that unit. These findings suggest temporal directionality in the coevolution of trust and communication.

求助全文
通过发布文献求助,成功后即可免费获取论文全文。 去求助
来源期刊
CiteScore
6.80
自引率
7.30%
发文量
96
审稿时长
25 weeks
×
引用
GB/T 7714-2015
复制
MLA
复制
APA
复制
导出至
BibTeX EndNote RefMan NoteFirst NoteExpress
×
提示
您的信息不完整,为了账户安全,请先补充。
现在去补充
×
提示
您因"违规操作"
具体请查看互助需知
我知道了
×
提示
确定
请完成安全验证×
copy
已复制链接
快去分享给好友吧!
我知道了
右上角分享
点击右上角分享
0
联系我们:info@booksci.cn Book学术提供免费学术资源搜索服务,方便国内外学者检索中英文文献。致力于提供最便捷和优质的服务体验。 Copyright © 2023 布克学术 All rights reserved.
京ICP备2023020795号-1
ghs 京公网安备 11010802042870号
Book学术文献互助
Book学术文献互助群
群 号:604180095
Book学术官方微信