巴甫洛夫-工具转移效应作为问题网络游戏的预测因子:一项纵向研究的结果。

IF 6.2 1区 医学 Q1 PSYCHIATRY
Journal of Behavioral Addictions Pub Date : 2025-09-15 Print Date: 2025-09-30 DOI:10.1556/2006.2025.00069
Sabine Steins-Loeber, Anna M Schmid, Tobias A Thomas, Andreas Oelker, Astrid Müller, Matthias Brand
{"title":"巴甫洛夫-工具转移效应作为问题网络游戏的预测因子:一项纵向研究的结果。","authors":"Sabine Steins-Loeber, Anna M Schmid, Tobias A Thomas, Andreas Oelker, Astrid Müller, Matthias Brand","doi":"10.1556/2006.2025.00069","DOIUrl":null,"url":null,"abstract":"<p><strong>Background and aims: </strong>Recent models on the development of behavioral addictions stress the transfer from goal-directed behavior to stimulus-response habits. Administering a Pavlovian-to-instrumental transfer (PIT) paradigm to individuals with risky or non-problematic gaming, we recently reported that shopping-related cues increase instrumental behavior for a shopping-related reward (i.e. shopping voucher) while gaming-related stimuli triggered instrumental behavior for the gaming-reward (i.e. gaming voucher). This was observed even after devaluation of the gaming-reward. We now investigated the predictive value of the 'Shopping-PIT'- and the 'Gaming-PIT'-effects regarding gaming disorder symptoms.</p><p><strong>Methods: </strong>Data on symptom severity of gaming disorder six months after the baseline assessment were available for 48 individuals with risky gaming and 46 individuals with non-problematic gaming. Hierarchical regression analyses with stepwise inclusion of control variables, the 'Shopping-PIT'-effect as indicator of responding for a general reward after devaluation of the gaming reward and 'The Gaming-PIT'-effect after devaluation of the gaming reward as indicator of habitual responding as well as their interaction effects with symptom severity was calculated.</p><p><strong>Results: </strong>Higher gaming disorder symptoms at the six-month follow-up assessment were predicted by symptom severity at baseline and the interaction of the 'Shopping-PIT'-effect with symptom severity at baseline. The 'Gaming-PIT'-effect after devaluation did not predict symptom severity.</p><p><strong>Discussion and conclusions: </strong>The finding that cue-triggered responding for a general reward contributes to future symptom severity in individuals with higher symptom severity at baseline suggests a cascade model with higher symptom severity leading to stronger cue-triggered reward-related responding which in turn leads to higher symptom severity.</p>","PeriodicalId":15049,"journal":{"name":"Journal of Behavioral Addictions","volume":" ","pages":"1456-1467"},"PeriodicalIF":6.2000,"publicationDate":"2025-09-15","publicationTypes":"Journal Article","fieldsOfStudy":null,"isOpenAccess":false,"openAccessPdf":"https://www.ncbi.nlm.nih.gov/pmc/articles/PMC12486286/pdf/","citationCount":"0","resultStr":"{\"title\":\"The Pavlovian-to-instrumental transfer effect as predictor of problematic Internet gaming: Results of a longitudinal study.\",\"authors\":\"Sabine Steins-Loeber, Anna M Schmid, Tobias A Thomas, Andreas Oelker, Astrid Müller, Matthias Brand\",\"doi\":\"10.1556/2006.2025.00069\",\"DOIUrl\":null,\"url\":null,\"abstract\":\"<p><strong>Background and aims: </strong>Recent models on the development of behavioral addictions stress the transfer from goal-directed behavior to stimulus-response habits. Administering a Pavlovian-to-instrumental transfer (PIT) paradigm to individuals with risky or non-problematic gaming, we recently reported that shopping-related cues increase instrumental behavior for a shopping-related reward (i.e. shopping voucher) while gaming-related stimuli triggered instrumental behavior for the gaming-reward (i.e. gaming voucher). This was observed even after devaluation of the gaming-reward. We now investigated the predictive value of the 'Shopping-PIT'- and the 'Gaming-PIT'-effects regarding gaming disorder symptoms.</p><p><strong>Methods: </strong>Data on symptom severity of gaming disorder six months after the baseline assessment were available for 48 individuals with risky gaming and 46 individuals with non-problematic gaming. Hierarchical regression analyses with stepwise inclusion of control variables, the 'Shopping-PIT'-effect as indicator of responding for a general reward after devaluation of the gaming reward and 'The Gaming-PIT'-effect after devaluation of the gaming reward as indicator of habitual responding as well as their interaction effects with symptom severity was calculated.</p><p><strong>Results: </strong>Higher gaming disorder symptoms at the six-month follow-up assessment were predicted by symptom severity at baseline and the interaction of the 'Shopping-PIT'-effect with symptom severity at baseline. The 'Gaming-PIT'-effect after devaluation did not predict symptom severity.</p><p><strong>Discussion and conclusions: </strong>The finding that cue-triggered responding for a general reward contributes to future symptom severity in individuals with higher symptom severity at baseline suggests a cascade model with higher symptom severity leading to stronger cue-triggered reward-related responding which in turn leads to higher symptom severity.</p>\",\"PeriodicalId\":15049,\"journal\":{\"name\":\"Journal of Behavioral Addictions\",\"volume\":\" \",\"pages\":\"1456-1467\"},\"PeriodicalIF\":6.2000,\"publicationDate\":\"2025-09-15\",\"publicationTypes\":\"Journal Article\",\"fieldsOfStudy\":null,\"isOpenAccess\":false,\"openAccessPdf\":\"https://www.ncbi.nlm.nih.gov/pmc/articles/PMC12486286/pdf/\",\"citationCount\":\"0\",\"resultStr\":null,\"platform\":\"Semanticscholar\",\"paperid\":null,\"PeriodicalName\":\"Journal of Behavioral Addictions\",\"FirstCategoryId\":\"3\",\"ListUrlMain\":\"https://doi.org/10.1556/2006.2025.00069\",\"RegionNum\":1,\"RegionCategory\":\"医学\",\"ArticlePicture\":[],\"TitleCN\":null,\"AbstractTextCN\":null,\"PMCID\":null,\"EPubDate\":\"2025/9/30 0:00:00\",\"PubModel\":\"Print\",\"JCR\":\"Q1\",\"JCRName\":\"PSYCHIATRY\",\"Score\":null,\"Total\":0}","platform":"Semanticscholar","paperid":null,"PeriodicalName":"Journal of Behavioral Addictions","FirstCategoryId":"3","ListUrlMain":"https://doi.org/10.1556/2006.2025.00069","RegionNum":1,"RegionCategory":"医学","ArticlePicture":[],"TitleCN":null,"AbstractTextCN":null,"PMCID":null,"EPubDate":"2025/9/30 0:00:00","PubModel":"Print","JCR":"Q1","JCRName":"PSYCHIATRY","Score":null,"Total":0}
引用次数: 0

摘要

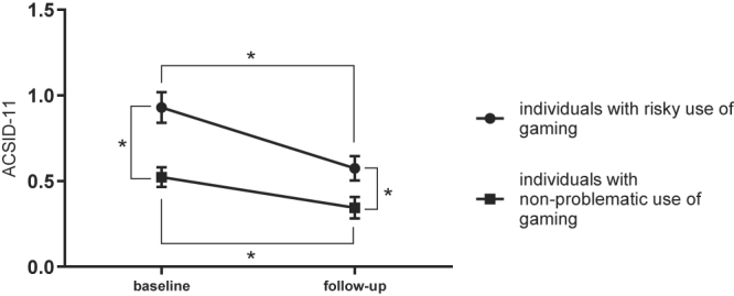
背景和目的:最近关于行为成瘾发展的模型强调从目标导向行为到刺激反应习惯的转变。我们最近将巴甫洛夫-工具转移(PIT)范式应用于有风险或无问题游戏的个体,发现与购物相关的线索增加了与购物相关的奖励(如购物券)的工具行为,而与游戏相关的刺激则引发了与游戏相关的奖励(如游戏券)的工具行为。即使在游戏奖励贬值之后,这一现象仍然存在。我们现在研究了“购物坑”和“游戏坑”效应对游戏障碍症状的预测价值。方法:对48名高风险游戏者和46名无问题游戏者进行基线评估后6个月的游戏障碍症状严重程度数据。通过逐步纳入控制变量的层次回归分析,计算了游戏奖励贬值后作为一般奖励反应指标的“购物坑”效应和游戏奖励贬值后作为习惯反应指标的“游戏坑”效应以及它们与症状严重程度的相互作用效应。结果:在六个月的随访评估中,较高的游戏障碍症状是由基线症状严重程度和“购物坑”效应与基线症状严重程度的相互作用预测的。货币贬值后的“赌博坑”效应并不能预测症状的严重程度。讨论与结论:对于一般奖励的线索触发反应对基线时症状严重程度较高的个体的未来症状严重程度有影响,这一发现提示了一个级联模型,即症状严重程度越高,线索触发的奖励相关反应越强,进而导致症状严重程度越高。
本文章由计算机程序翻译,如有差异,请以英文原文为准。

The Pavlovian-to-instrumental transfer effect as predictor of problematic Internet gaming: Results of a longitudinal study.

The Pavlovian-to-instrumental transfer effect as predictor of problematic Internet gaming: Results of a longitudinal study.

The Pavlovian-to-instrumental transfer effect as predictor of problematic Internet gaming: Results of a longitudinal study.

The Pavlovian-to-instrumental transfer effect as predictor of problematic Internet gaming: Results of a longitudinal study.

Background and aims: Recent models on the development of behavioral addictions stress the transfer from goal-directed behavior to stimulus-response habits. Administering a Pavlovian-to-instrumental transfer (PIT) paradigm to individuals with risky or non-problematic gaming, we recently reported that shopping-related cues increase instrumental behavior for a shopping-related reward (i.e. shopping voucher) while gaming-related stimuli triggered instrumental behavior for the gaming-reward (i.e. gaming voucher). This was observed even after devaluation of the gaming-reward. We now investigated the predictive value of the 'Shopping-PIT'- and the 'Gaming-PIT'-effects regarding gaming disorder symptoms.

Methods: Data on symptom severity of gaming disorder six months after the baseline assessment were available for 48 individuals with risky gaming and 46 individuals with non-problematic gaming. Hierarchical regression analyses with stepwise inclusion of control variables, the 'Shopping-PIT'-effect as indicator of responding for a general reward after devaluation of the gaming reward and 'The Gaming-PIT'-effect after devaluation of the gaming reward as indicator of habitual responding as well as their interaction effects with symptom severity was calculated.

Results: Higher gaming disorder symptoms at the six-month follow-up assessment were predicted by symptom severity at baseline and the interaction of the 'Shopping-PIT'-effect with symptom severity at baseline. The 'Gaming-PIT'-effect after devaluation did not predict symptom severity.

Discussion and conclusions: The finding that cue-triggered responding for a general reward contributes to future symptom severity in individuals with higher symptom severity at baseline suggests a cascade model with higher symptom severity leading to stronger cue-triggered reward-related responding which in turn leads to higher symptom severity.

求助全文
通过发布文献求助,成功后即可免费获取论文全文。 去求助
来源期刊
CiteScore
12.30
自引率
7.70%
发文量
91
审稿时长
20 weeks
期刊介绍: The aim of Journal of Behavioral Addictions is to create a forum for the scientific information exchange with regard to behavioral addictions. The journal is a broad focused interdisciplinary one that publishes manuscripts on different approaches of non-substance addictions, research reports focusing on the addictive patterns of various behaviors, especially disorders of the impulsive-compulsive spectrum, and also publishes reviews in these topics. Coverage ranges from genetic and neurobiological research through psychological and clinical psychiatric approaches to epidemiological, sociological and anthropological aspects.
×
引用
GB/T 7714-2015
复制
MLA
复制
APA
复制
导出至
BibTeX EndNote RefMan NoteFirst NoteExpress
×
提示
您的信息不完整,为了账户安全,请先补充。
现在去补充
×
提示
您因"违规操作"
具体请查看互助需知
我知道了
×
提示
确定
请完成安全验证×
copy
已复制链接
快去分享给好友吧!
我知道了
右上角分享
点击右上角分享
0
联系我们:info@booksci.cn Book学术提供免费学术资源搜索服务,方便国内外学者检索中英文文献。致力于提供最便捷和优质的服务体验。 Copyright © 2023 布克学术 All rights reserved.
京ICP备2023020795号-1
ghs 京公网安备 11010802042870号
Book学术文献互助
Book学术文献互助群
群 号:604180095
Book学术官方微信