ocrelizumab去除cd20后,血清中Kappa游离轻链浓度降低。

IF 3.2 Q2 Medicine
Franz Felix Konen, Gudrun Mechthild Körner, Martin W Hümmert, Philipp Sebastian Gehring, Philipp Schwenkenbecher, Konstantin Fritz Jendretzky, Sandra Nay, Nora Möhn, Lea Grote-Levi, Kurt-Wolfram Sühs, Elke Voß, Refik Pul, Torsten Witte, Thomas Skripuletz, Stefan Gingele
{"title":"ocrelizumab去除cd20后,血清中Kappa游离轻链浓度降低。","authors":"Franz Felix Konen, Gudrun Mechthild Körner, Martin W Hümmert, Philipp Sebastian Gehring, Philipp Schwenkenbecher, Konstantin Fritz Jendretzky, Sandra Nay, Nora Möhn, Lea Grote-Levi, Kurt-Wolfram Sühs, Elke Voß, Refik Pul, Torsten Witte, Thomas Skripuletz, Stefan Gingele","doi":"10.1186/s42466-025-00419-7","DOIUrl":null,"url":null,"abstract":"<p><strong>Background: </strong>Kappa free light chains (KFLC), a byproduct of immunoglobulin (Ig) synthesis by B-lineage cells, can serve as an indicator for inflammatory activity. In multiple sclerosis (MS), especially the intrathecal KFLC production has gained increasing importance as a biomarker for central nervous system (CNS) inflammation and was included into the proposed 2024 revision of the McDonald criteria. In contrast, studies investigating the significance of KFLC in serum and the effects of disease-modifying therapies (DMT) on KFLC serum concentration in MS are rare. The aim of the present work was to investigate the impact of B cell depletion with ocrelizumab on KFLC concentrations in serum of MS patients and the ability of serum KFLC to monitor disease activity.</p><p><strong>Methods: </strong>50 MS patients were included in the present study- 38 with the diagnosis of relapsing MS (RMS) and 12 with diagnosis of primary-progressive MS (PPMS) -, who were treated with ocrelizumab for two years. Serum concentrations of albumin, immunoglobulins and KFLC as well as lymphocyte subsets were determined at baseline and after two years.</p><p><strong>Results: </strong>Serum Ig and KFLC concentrations were found to be significantly lower after two years of ocrelizumab treatment (mean serum concentrations: KFLC: 9.5 mg/l vs. 7.8 mg/l, p = 0.0003; IgG: 9 g/l vs. 8 g/l, p = 0.0002; IgA: 2 g/l vs. 1.8 g/l, p = 0.0010; IgM: 1.8 g/l vs. 0.7 g/l, p < 0.0001). Serum KFLC concentration did not correlate with clinical and paraclinical parameters of disease activity.</p><p><strong>Conclusions: </strong>Treatment with ocrelizumab reduces serum KFLC concentration in MS patients. However, serum KFLC concentration is not able to predict disease activity in these MS patients.</p>","PeriodicalId":94156,"journal":{"name":"Neurological research and practice","volume":"7 1","pages":"58"},"PeriodicalIF":3.2000,"publicationDate":"2025-08-22","publicationTypes":"Journal Article","fieldsOfStudy":null,"isOpenAccess":false,"openAccessPdf":"https://www.ncbi.nlm.nih.gov/pmc/articles/PMC12372195/pdf/","citationCount":"0","resultStr":"{\"title\":\"Kappa free light chain concentration in serum is reduced after CD20-depletion with ocrelizumab.\",\"authors\":\"Franz Felix Konen, Gudrun Mechthild Körner, Martin W Hümmert, Philipp Sebastian Gehring, Philipp Schwenkenbecher, Konstantin Fritz Jendretzky, Sandra Nay, Nora Möhn, Lea Grote-Levi, Kurt-Wolfram Sühs, Elke Voß, Refik Pul, Torsten Witte, Thomas Skripuletz, Stefan Gingele\",\"doi\":\"10.1186/s42466-025-00419-7\",\"DOIUrl\":null,\"url\":null,\"abstract\":\"<p><strong>Background: </strong>Kappa free light chains (KFLC), a byproduct of immunoglobulin (Ig) synthesis by B-lineage cells, can serve as an indicator for inflammatory activity. In multiple sclerosis (MS), especially the intrathecal KFLC production has gained increasing importance as a biomarker for central nervous system (CNS) inflammation and was included into the proposed 2024 revision of the McDonald criteria. In contrast, studies investigating the significance of KFLC in serum and the effects of disease-modifying therapies (DMT) on KFLC serum concentration in MS are rare. The aim of the present work was to investigate the impact of B cell depletion with ocrelizumab on KFLC concentrations in serum of MS patients and the ability of serum KFLC to monitor disease activity.</p><p><strong>Methods: </strong>50 MS patients were included in the present study- 38 with the diagnosis of relapsing MS (RMS) and 12 with diagnosis of primary-progressive MS (PPMS) -, who were treated with ocrelizumab for two years. Serum concentrations of albumin, immunoglobulins and KFLC as well as lymphocyte subsets were determined at baseline and after two years.</p><p><strong>Results: </strong>Serum Ig and KFLC concentrations were found to be significantly lower after two years of ocrelizumab treatment (mean serum concentrations: KFLC: 9.5 mg/l vs. 7.8 mg/l, p = 0.0003; IgG: 9 g/l vs. 8 g/l, p = 0.0002; IgA: 2 g/l vs. 1.8 g/l, p = 0.0010; IgM: 1.8 g/l vs. 0.7 g/l, p < 0.0001). Serum KFLC concentration did not correlate with clinical and paraclinical parameters of disease activity.</p><p><strong>Conclusions: </strong>Treatment with ocrelizumab reduces serum KFLC concentration in MS patients. However, serum KFLC concentration is not able to predict disease activity in these MS patients.</p>\",\"PeriodicalId\":94156,\"journal\":{\"name\":\"Neurological research and practice\",\"volume\":\"7 1\",\"pages\":\"58\"},\"PeriodicalIF\":3.2000,\"publicationDate\":\"2025-08-22\",\"publicationTypes\":\"Journal Article\",\"fieldsOfStudy\":null,\"isOpenAccess\":false,\"openAccessPdf\":\"https://www.ncbi.nlm.nih.gov/pmc/articles/PMC12372195/pdf/\",\"citationCount\":\"0\",\"resultStr\":null,\"platform\":\"Semanticscholar\",\"paperid\":null,\"PeriodicalName\":\"Neurological research and practice\",\"FirstCategoryId\":\"1085\",\"ListUrlMain\":\"https://doi.org/10.1186/s42466-025-00419-7\",\"RegionNum\":0,\"RegionCategory\":null,\"ArticlePicture\":[],\"TitleCN\":null,\"AbstractTextCN\":null,\"PMCID\":null,\"EPubDate\":\"\",\"PubModel\":\"\",\"JCR\":\"Q2\",\"JCRName\":\"Medicine\",\"Score\":null,\"Total\":0}","platform":"Semanticscholar","paperid":null,"PeriodicalName":"Neurological research and practice","FirstCategoryId":"1085","ListUrlMain":"https://doi.org/10.1186/s42466-025-00419-7","RegionNum":0,"RegionCategory":null,"ArticlePicture":[],"TitleCN":null,"AbstractTextCN":null,"PMCID":null,"EPubDate":"","PubModel":"","JCR":"Q2","JCRName":"Medicine","Score":null,"Total":0}
引用次数: 0

摘要

背景:Kappa free light chains (KFLC)是b系细胞合成免疫球蛋白(Ig)的副产物,可作为炎症活性的指标。在多发性硬化症(MS)中,特别是鞘内KFLC的产生作为中枢神经系统(CNS)炎症的生物标志物越来越重要,并被纳入拟议的2024年McDonald标准修订版。相比之下,研究血清中KFLC的意义以及疾病修饰疗法(DMT)对MS中KFLC血清浓度的影响的研究很少。本研究的目的是研究ocrelizumab去除B细胞对MS患者血清中KFLC浓度的影响以及血清KFLC监测疾病活动性的能力。方法:本研究纳入50例多发性硬化症患者,其中38例诊断为复发性多发性硬化症(RMS), 12例诊断为原发性进展性多发性硬化症(PPMS),这些患者接受ocrelizumab治疗2年。在基线和两年后测定血清白蛋白、免疫球蛋白和KFLC浓度以及淋巴细胞亚群。结果:奥克雷珠单抗治疗两年后血清Ig和KFLC浓度显著降低(平均血清浓度:KFLC: 9.5 mg/l vs. 7.8 mg/l, p = 0.0003; IgG: 9 g/l vs. 8 g/l, p = 0.0002; IgA: 2 g/l vs. 1.8 g/l, p = 0.0010; IgM: 1.8 g/l vs. 0.7 g/l, p)。结论:奥克雷珠单抗治疗可降低MS患者血清KFLC浓度。然而,血清KFLC浓度不能预测这些MS患者的疾病活动性。
本文章由计算机程序翻译,如有差异,请以英文原文为准。

Kappa free light chain concentration in serum is reduced after CD20-depletion with ocrelizumab.

Kappa free light chain concentration in serum is reduced after CD20-depletion with ocrelizumab.

Kappa free light chain concentration in serum is reduced after CD20-depletion with ocrelizumab.

Kappa free light chain concentration in serum is reduced after CD20-depletion with ocrelizumab.

Background: Kappa free light chains (KFLC), a byproduct of immunoglobulin (Ig) synthesis by B-lineage cells, can serve as an indicator for inflammatory activity. In multiple sclerosis (MS), especially the intrathecal KFLC production has gained increasing importance as a biomarker for central nervous system (CNS) inflammation and was included into the proposed 2024 revision of the McDonald criteria. In contrast, studies investigating the significance of KFLC in serum and the effects of disease-modifying therapies (DMT) on KFLC serum concentration in MS are rare. The aim of the present work was to investigate the impact of B cell depletion with ocrelizumab on KFLC concentrations in serum of MS patients and the ability of serum KFLC to monitor disease activity.

Methods: 50 MS patients were included in the present study- 38 with the diagnosis of relapsing MS (RMS) and 12 with diagnosis of primary-progressive MS (PPMS) -, who were treated with ocrelizumab for two years. Serum concentrations of albumin, immunoglobulins and KFLC as well as lymphocyte subsets were determined at baseline and after two years.

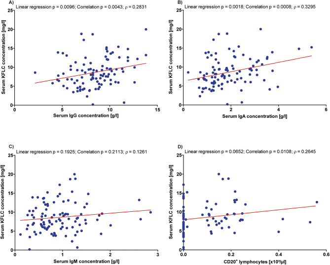
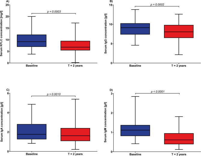
Results: Serum Ig and KFLC concentrations were found to be significantly lower after two years of ocrelizumab treatment (mean serum concentrations: KFLC: 9.5 mg/l vs. 7.8 mg/l, p = 0.0003; IgG: 9 g/l vs. 8 g/l, p = 0.0002; IgA: 2 g/l vs. 1.8 g/l, p = 0.0010; IgM: 1.8 g/l vs. 0.7 g/l, p < 0.0001). Serum KFLC concentration did not correlate with clinical and paraclinical parameters of disease activity.

Conclusions: Treatment with ocrelizumab reduces serum KFLC concentration in MS patients. However, serum KFLC concentration is not able to predict disease activity in these MS patients.

求助全文
通过发布文献求助,成功后即可免费获取论文全文。 去求助
来源期刊
CiteScore
7.40
自引率
0.00%
发文量
0
审稿时长
14 weeks
×
引用
GB/T 7714-2015
复制
MLA
复制
APA
复制
导出至
BibTeX EndNote RefMan NoteFirst NoteExpress
×
提示
您的信息不完整,为了账户安全,请先补充。
现在去补充
×
提示
您因"违规操作"
具体请查看互助需知
我知道了
×
提示
确定
请完成安全验证×
copy
已复制链接
快去分享给好友吧!
我知道了
右上角分享
点击右上角分享
0
联系我们:info@booksci.cn Book学术提供免费学术资源搜索服务,方便国内外学者检索中英文文献。致力于提供最便捷和优质的服务体验。 Copyright © 2023 布克学术 All rights reserved.
京ICP备2023020795号-1
ghs 京公网安备 11010802042870号
Book学术文献互助
Book学术文献互助群
群 号:604180095
Book学术官方微信