急性缺血性脑卒中血管内治疗中应用BIS和NIRS无创神经监测的可行性。

IF 3.2 Q2 Medicine
David Batra, Min Chen, Jan Meis, Markus A Möhlenbruch, Christina Klose, Peter Ringleb, Vishank Shah, Julian Bösel, Silvia Schönenberger
{"title":"急性缺血性脑卒中血管内治疗中应用BIS和NIRS无创神经监测的可行性。","authors":"David Batra, Min Chen, Jan Meis, Markus A Möhlenbruch, Christina Klose, Peter Ringleb, Vishank Shah, Julian Bösel, Silvia Schönenberger","doi":"10.1186/s42466-025-00420-0","DOIUrl":null,"url":null,"abstract":"<p><strong>Background: </strong>Endovascular thrombectomy (EVT)-often combined with intravenous thrombolysis-is the standard of care for acute ischemic stroke (AIS) secondary to large vessel occlusions (LVO). While indications keep expanding, the feasibility and utility of intra-procedural neuromonitoring of the sedated patient has neither been clarified nor characterized.</p><p><strong>Objective: </strong>To evaluate the feasibility of near-infrared spectroscopy (NIRS) for cortical oxygenation and bispectral index (BIS) for electroencephalographic function as non-invasive neuromonitoring tools for AIS patients undergoing EVT, and assess their utility in predicting successful recanalization.</p><p><strong>Methods: </strong>We extracted data on all patients receiving continuous NIRS and/or BIS monitoring in the Sedation versus Intubation for Endovascular Stroke TreAtment (SIESTA) clinical trial. SIESTA randomized AIS patients undergoing EVT for anterior proximal LVO to general anesthesia versus conscious sedation. For this analysis, the primary outcomes included changes in NIRS and BIS values pre- and post-recanalization and associations of parameter changes with successful or unsuccessful recanalization outcomes. Statistical analysis was performed using a Wilcoxon signed rank tests.</p><p><strong>Results: </strong>Of the 150 patients, 66 were monitored continuously with NIRS, and 50 with BIS. An increased NIRS-derived cerebral tissue oxygenation (stated as tissue saturation index - TSI) was observed in affected hemisphere following successful recanalization, as well as a significant reduction in the difference between affected and unaffected hemispheres. In contrast, no significant changes were observed with BIS monitoring between pre- and post-recanalization status.</p><p><strong>Conclusion: </strong>In this post-hoc analysis, changes in NIRS monitoring were associated with successful reperfusion. Non-invasive oximetry by NIRS may serve as a valuable tool during and after mechanical thrombectomy to detect and respond to an insufficient perfusion or re-occlusion.</p>","PeriodicalId":94156,"journal":{"name":"Neurological research and practice","volume":"7 1","pages":"60"},"PeriodicalIF":3.2000,"publicationDate":"2025-08-26","publicationTypes":"Journal Article","fieldsOfStudy":null,"isOpenAccess":false,"openAccessPdf":"https://www.ncbi.nlm.nih.gov/pmc/articles/PMC12382210/pdf/","citationCount":"0","resultStr":"{\"title\":\"Feasibility of non-invasive neuromonitoring using BIS and NIRS during endovascular treatment of acute ischemic stroke.\",\"authors\":\"David Batra, Min Chen, Jan Meis, Markus A Möhlenbruch, Christina Klose, Peter Ringleb, Vishank Shah, Julian Bösel, Silvia Schönenberger\",\"doi\":\"10.1186/s42466-025-00420-0\",\"DOIUrl\":null,\"url\":null,\"abstract\":\"<p><strong>Background: </strong>Endovascular thrombectomy (EVT)-often combined with intravenous thrombolysis-is the standard of care for acute ischemic stroke (AIS) secondary to large vessel occlusions (LVO). While indications keep expanding, the feasibility and utility of intra-procedural neuromonitoring of the sedated patient has neither been clarified nor characterized.</p><p><strong>Objective: </strong>To evaluate the feasibility of near-infrared spectroscopy (NIRS) for cortical oxygenation and bispectral index (BIS) for electroencephalographic function as non-invasive neuromonitoring tools for AIS patients undergoing EVT, and assess their utility in predicting successful recanalization.</p><p><strong>Methods: </strong>We extracted data on all patients receiving continuous NIRS and/or BIS monitoring in the Sedation versus Intubation for Endovascular Stroke TreAtment (SIESTA) clinical trial. SIESTA randomized AIS patients undergoing EVT for anterior proximal LVO to general anesthesia versus conscious sedation. For this analysis, the primary outcomes included changes in NIRS and BIS values pre- and post-recanalization and associations of parameter changes with successful or unsuccessful recanalization outcomes. Statistical analysis was performed using a Wilcoxon signed rank tests.</p><p><strong>Results: </strong>Of the 150 patients, 66 were monitored continuously with NIRS, and 50 with BIS. An increased NIRS-derived cerebral tissue oxygenation (stated as tissue saturation index - TSI) was observed in affected hemisphere following successful recanalization, as well as a significant reduction in the difference between affected and unaffected hemispheres. In contrast, no significant changes were observed with BIS monitoring between pre- and post-recanalization status.</p><p><strong>Conclusion: </strong>In this post-hoc analysis, changes in NIRS monitoring were associated with successful reperfusion. Non-invasive oximetry by NIRS may serve as a valuable tool during and after mechanical thrombectomy to detect and respond to an insufficient perfusion or re-occlusion.</p>\",\"PeriodicalId\":94156,\"journal\":{\"name\":\"Neurological research and practice\",\"volume\":\"7 1\",\"pages\":\"60\"},\"PeriodicalIF\":3.2000,\"publicationDate\":\"2025-08-26\",\"publicationTypes\":\"Journal Article\",\"fieldsOfStudy\":null,\"isOpenAccess\":false,\"openAccessPdf\":\"https://www.ncbi.nlm.nih.gov/pmc/articles/PMC12382210/pdf/\",\"citationCount\":\"0\",\"resultStr\":null,\"platform\":\"Semanticscholar\",\"paperid\":null,\"PeriodicalName\":\"Neurological research and practice\",\"FirstCategoryId\":\"1085\",\"ListUrlMain\":\"https://doi.org/10.1186/s42466-025-00420-0\",\"RegionNum\":0,\"RegionCategory\":null,\"ArticlePicture\":[],\"TitleCN\":null,\"AbstractTextCN\":null,\"PMCID\":null,\"EPubDate\":\"\",\"PubModel\":\"\",\"JCR\":\"Q2\",\"JCRName\":\"Medicine\",\"Score\":null,\"Total\":0}","platform":"Semanticscholar","paperid":null,"PeriodicalName":"Neurological research and practice","FirstCategoryId":"1085","ListUrlMain":"https://doi.org/10.1186/s42466-025-00420-0","RegionNum":0,"RegionCategory":null,"ArticlePicture":[],"TitleCN":null,"AbstractTextCN":null,"PMCID":null,"EPubDate":"","PubModel":"","JCR":"Q2","JCRName":"Medicine","Score":null,"Total":0}
引用次数: 0

摘要

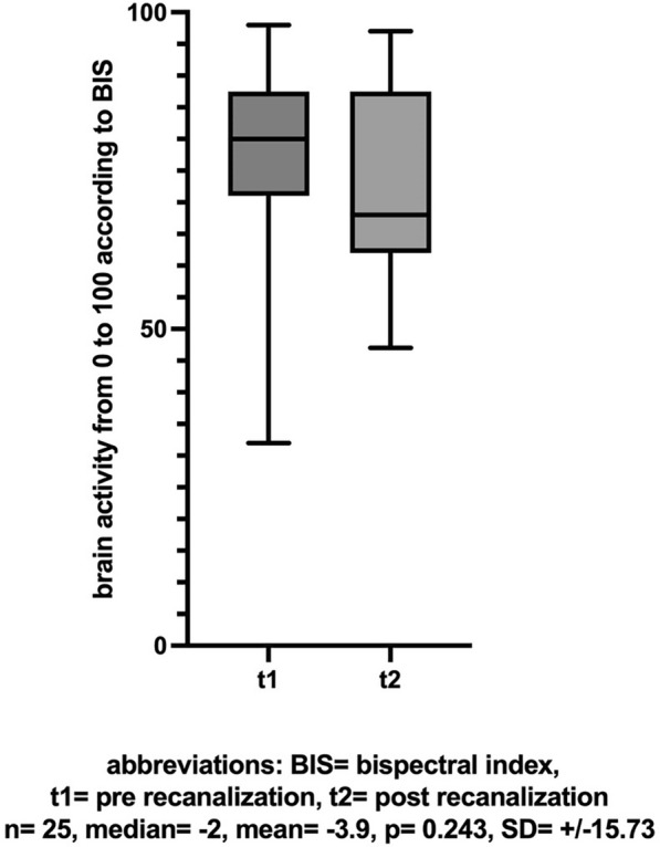
背景:血管内血栓切除术(EVT)-通常联合静脉溶栓-是继发于大血管闭塞(LVO)的急性缺血性卒中(AIS)的标准治疗方法。虽然适应症不断扩大,但镇静患者术中神经监测的可行性和实用性既没有明确也没有特征。目的:评价近红外光谱(NIRS)监测皮质氧合和双谱指数(BIS)监测脑电图功能作为AIS患者EVT无创神经监测工具的可行性,并评估其在预测再通成功方面的应用价值。方法:我们提取了所有接受连续NIRS和/或BIS监测的患者的数据,这些患者在镇静与插管治疗血管内卒中(SIESTA)临床试验中。SIESTA随机分组AIS患者接受EVT前近端左心室,全麻与清醒镇静。在这项分析中,主要结果包括再通前后NIRS和BIS值的变化,以及参数变化与再通成功或不成功结果的关联。采用Wilcoxon符号秩检验进行统计分析。结果:在150例患者中,66例采用NIRS持续监测,50例采用BIS持续监测。在成功再通后,在受影响半球观察到nirs衍生的脑组织氧合(称为组织饱和指数- TSI)增加,并且受影响半球和未受影响半球之间的差异显着减小。相比之下,BIS监测未观察到再通前后状态的显著变化。结论:在这项事后分析中,NIRS监测的变化与再灌注成功相关。近红外光谱无创血氧测定可作为机械取栓期间和之后检测灌注不足或再闭塞的有价值的工具。
本文章由计算机程序翻译,如有差异,请以英文原文为准。

Feasibility of non-invasive neuromonitoring using BIS and NIRS during endovascular treatment of acute ischemic stroke.

Feasibility of non-invasive neuromonitoring using BIS and NIRS during endovascular treatment of acute ischemic stroke.

Feasibility of non-invasive neuromonitoring using BIS and NIRS during endovascular treatment of acute ischemic stroke.

Feasibility of non-invasive neuromonitoring using BIS and NIRS during endovascular treatment of acute ischemic stroke.

Background: Endovascular thrombectomy (EVT)-often combined with intravenous thrombolysis-is the standard of care for acute ischemic stroke (AIS) secondary to large vessel occlusions (LVO). While indications keep expanding, the feasibility and utility of intra-procedural neuromonitoring of the sedated patient has neither been clarified nor characterized.

Objective: To evaluate the feasibility of near-infrared spectroscopy (NIRS) for cortical oxygenation and bispectral index (BIS) for electroencephalographic function as non-invasive neuromonitoring tools for AIS patients undergoing EVT, and assess their utility in predicting successful recanalization.

Methods: We extracted data on all patients receiving continuous NIRS and/or BIS monitoring in the Sedation versus Intubation for Endovascular Stroke TreAtment (SIESTA) clinical trial. SIESTA randomized AIS patients undergoing EVT for anterior proximal LVO to general anesthesia versus conscious sedation. For this analysis, the primary outcomes included changes in NIRS and BIS values pre- and post-recanalization and associations of parameter changes with successful or unsuccessful recanalization outcomes. Statistical analysis was performed using a Wilcoxon signed rank tests.

Results: Of the 150 patients, 66 were monitored continuously with NIRS, and 50 with BIS. An increased NIRS-derived cerebral tissue oxygenation (stated as tissue saturation index - TSI) was observed in affected hemisphere following successful recanalization, as well as a significant reduction in the difference between affected and unaffected hemispheres. In contrast, no significant changes were observed with BIS monitoring between pre- and post-recanalization status.

Conclusion: In this post-hoc analysis, changes in NIRS monitoring were associated with successful reperfusion. Non-invasive oximetry by NIRS may serve as a valuable tool during and after mechanical thrombectomy to detect and respond to an insufficient perfusion or re-occlusion.

求助全文
通过发布文献求助,成功后即可免费获取论文全文。 去求助
来源期刊
CiteScore
7.40
自引率
0.00%
发文量
0
审稿时长
14 weeks
×
引用
GB/T 7714-2015
复制
MLA
复制
APA
复制
导出至
BibTeX EndNote RefMan NoteFirst NoteExpress
×
提示
您的信息不完整,为了账户安全,请先补充。
现在去补充
×
提示
您因"违规操作"
具体请查看互助需知
我知道了
×
提示
确定
请完成安全验证×
copy
已复制链接
快去分享给好友吧!
我知道了
右上角分享
点击右上角分享
0
联系我们:info@booksci.cn Book学术提供免费学术资源搜索服务,方便国内外学者检索中英文文献。致力于提供最便捷和优质的服务体验。 Copyright © 2023 布克学术 All rights reserved.
京ICP备2023020795号-1
ghs 京公网安备 11010802042870号
Book学术文献互助
Book学术文献互助群
群 号:604180095
Book学术官方微信