离开学校:青春期后期的健康过渡?

IF 2.6 Q1 PSYCHOLOGY, CLINICAL
Max Herke
{"title":"离开学校:青春期后期的健康过渡?","authors":"Max Herke","doi":"10.3390/ejihpe15080146","DOIUrl":null,"url":null,"abstract":"<p><strong>Background: </strong>Adolescents' subjective well-being (SWB) is a key indicator of quality of life. While its development during schooling has been widely studied, few studies have examined changes in SWB after leaving school due to the need for longitudinal data. This study investigates changes in SWB among adolescents in Germany over the two years before and after leaving school, focusing on school type, socioeconomic position, gender, and family structure.</p><p><strong>Methods: </strong>We use data from the ninth-grade cohort of the German National Educational Panel Study, first surveyed in 2010 and followed annually. Growth modeling (specifically, a multilevel discontinuity model) is applied to analyze SWB trajectories and potential moderation by background characteristics. The final sample includes 19,767 observations from 6599 individuals.</p><p><strong>Results: </strong>SWB increases notably after leaving school and remains stable before and after the transition. The increase is smaller for adolescents completing higher secondary education, living in nuclear families, or identifying as male. These groups report higher SWB prior to the transition, so post-school changes reduce group differences.</p><p><strong>Conclusion: </strong>The findings suggest that schools may lack adequate resources to support adolescents in mastering key developmental challenges. While school is a critical environment, it may also impose pressures that are associated with lower well-being.</p>","PeriodicalId":30631,"journal":{"name":"European Journal of Investigation in Health Psychology and Education","volume":"15 8","pages":""},"PeriodicalIF":2.6000,"publicationDate":"2025-07-25","publicationTypes":"Journal Article","fieldsOfStudy":null,"isOpenAccess":false,"openAccessPdf":"https://www.ncbi.nlm.nih.gov/pmc/articles/PMC12385248/pdf/","citationCount":"0","resultStr":"{\"title\":\"Leaving School: A Healthy Transition in Late Adolescence?\",\"authors\":\"Max Herke\",\"doi\":\"10.3390/ejihpe15080146\",\"DOIUrl\":null,\"url\":null,\"abstract\":\"<p><strong>Background: </strong>Adolescents' subjective well-being (SWB) is a key indicator of quality of life. While its development during schooling has been widely studied, few studies have examined changes in SWB after leaving school due to the need for longitudinal data. This study investigates changes in SWB among adolescents in Germany over the two years before and after leaving school, focusing on school type, socioeconomic position, gender, and family structure.</p><p><strong>Methods: </strong>We use data from the ninth-grade cohort of the German National Educational Panel Study, first surveyed in 2010 and followed annually. Growth modeling (specifically, a multilevel discontinuity model) is applied to analyze SWB trajectories and potential moderation by background characteristics. The final sample includes 19,767 observations from 6599 individuals.</p><p><strong>Results: </strong>SWB increases notably after leaving school and remains stable before and after the transition. The increase is smaller for adolescents completing higher secondary education, living in nuclear families, or identifying as male. These groups report higher SWB prior to the transition, so post-school changes reduce group differences.</p><p><strong>Conclusion: </strong>The findings suggest that schools may lack adequate resources to support adolescents in mastering key developmental challenges. While school is a critical environment, it may also impose pressures that are associated with lower well-being.</p>\",\"PeriodicalId\":30631,\"journal\":{\"name\":\"European Journal of Investigation in Health Psychology and Education\",\"volume\":\"15 8\",\"pages\":\"\"},\"PeriodicalIF\":2.6000,\"publicationDate\":\"2025-07-25\",\"publicationTypes\":\"Journal Article\",\"fieldsOfStudy\":null,\"isOpenAccess\":false,\"openAccessPdf\":\"https://www.ncbi.nlm.nih.gov/pmc/articles/PMC12385248/pdf/\",\"citationCount\":\"0\",\"resultStr\":null,\"platform\":\"Semanticscholar\",\"paperid\":null,\"PeriodicalName\":\"European Journal of Investigation in Health Psychology and Education\",\"FirstCategoryId\":\"1085\",\"ListUrlMain\":\"https://doi.org/10.3390/ejihpe15080146\",\"RegionNum\":0,\"RegionCategory\":null,\"ArticlePicture\":[],\"TitleCN\":null,\"AbstractTextCN\":null,\"PMCID\":null,\"EPubDate\":\"\",\"PubModel\":\"\",\"JCR\":\"Q1\",\"JCRName\":\"PSYCHOLOGY, CLINICAL\",\"Score\":null,\"Total\":0}","platform":"Semanticscholar","paperid":null,"PeriodicalName":"European Journal of Investigation in Health Psychology and Education","FirstCategoryId":"1085","ListUrlMain":"https://doi.org/10.3390/ejihpe15080146","RegionNum":0,"RegionCategory":null,"ArticlePicture":[],"TitleCN":null,"AbstractTextCN":null,"PMCID":null,"EPubDate":"","PubModel":"","JCR":"Q1","JCRName":"PSYCHOLOGY, CLINICAL","Score":null,"Total":0}
引用次数: 0

摘要

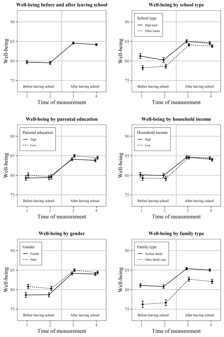
背景:青少年主观幸福感是衡量青少年生活质量的重要指标。虽然对其在校期间的发展进行了广泛的研究,但由于需要纵向数据,很少有研究对离校后主观幸福感的变化进行研究。本研究以学校类型、社会经济地位、性别和家庭结构为研究对象,调查了德国青少年离校前后两年的主观幸福感变化。方法:我们使用来自德国国家教育小组研究的九年级队列的数据,该研究于2010年首次调查,并每年进行一次调查。增长模型(特别是多层不连续模型)应用于分析SWB轨迹和背景特征的潜在缓和。最终样本包括来自6599个人的19,767个观察结果。结果:离校后幸福感显著增加,过渡前后保持稳定。完成高中教育、生活在核心家庭或认定为男性的青少年的增幅较小。这些群体在过渡之前报告了更高的主观幸福感,因此学校后的改变减少了群体差异。结论:研究结果表明,学校可能缺乏足够的资源来支持青少年掌握关键的发展挑战。虽然学校是一个关键的环境,但它也可能施加与较低幸福感相关的压力。
本文章由计算机程序翻译,如有差异,请以英文原文为准。

Leaving School: A Healthy Transition in Late Adolescence?

Leaving School: A Healthy Transition in Late Adolescence?

Background: Adolescents' subjective well-being (SWB) is a key indicator of quality of life. While its development during schooling has been widely studied, few studies have examined changes in SWB after leaving school due to the need for longitudinal data. This study investigates changes in SWB among adolescents in Germany over the two years before and after leaving school, focusing on school type, socioeconomic position, gender, and family structure.

Methods: We use data from the ninth-grade cohort of the German National Educational Panel Study, first surveyed in 2010 and followed annually. Growth modeling (specifically, a multilevel discontinuity model) is applied to analyze SWB trajectories and potential moderation by background characteristics. The final sample includes 19,767 observations from 6599 individuals.

Results: SWB increases notably after leaving school and remains stable before and after the transition. The increase is smaller for adolescents completing higher secondary education, living in nuclear families, or identifying as male. These groups report higher SWB prior to the transition, so post-school changes reduce group differences.

Conclusion: The findings suggest that schools may lack adequate resources to support adolescents in mastering key developmental challenges. While school is a critical environment, it may also impose pressures that are associated with lower well-being.

求助全文
通过发布文献求助,成功后即可免费获取论文全文。 去求助
来源期刊
CiteScore
4.40
自引率
12.50%
发文量
111
审稿时长
8 weeks
×
引用
GB/T 7714-2015
复制
MLA
复制
APA
复制
导出至
BibTeX EndNote RefMan NoteFirst NoteExpress
×
提示
您的信息不完整,为了账户安全,请先补充。
现在去补充
×
提示
您因"违规操作"
具体请查看互助需知
我知道了
×
提示
确定
请完成安全验证×
copy
已复制链接
快去分享给好友吧!
我知道了
右上角分享
点击右上角分享
0
联系我们:info@booksci.cn Book学术提供免费学术资源搜索服务,方便国内外学者检索中英文文献。致力于提供最便捷和优质的服务体验。 Copyright © 2023 布克学术 All rights reserved.
京ICP备2023020795号-1
ghs 京公网安备 11010802042870号
Book学术文献互助
Book学术文献互助群
群 号:604180095
Book学术官方微信