孕妇和产后妇女亲密伴侣暴力的患病率和筛查工具:系统回顾和荟萃分析。

IF 2.6 Q1 PSYCHOLOGY, CLINICAL
Laura Brunelli, Flavia Pennisi, Antonio Pinto, Loredana Cella, Maria Parpinel, Silvio Brusaferro, Carlo Signorelli, Vincenzo Baldo, Vincenza Gianfredi
{"title":"孕妇和产后妇女亲密伴侣暴力的患病率和筛查工具:系统回顾和荟萃分析。","authors":"Laura Brunelli, Flavia Pennisi, Antonio Pinto, Loredana Cella, Maria Parpinel, Silvio Brusaferro, Carlo Signorelli, Vincenzo Baldo, Vincenza Gianfredi","doi":"10.3390/ejihpe15080161","DOIUrl":null,"url":null,"abstract":"<p><p>(1) Background: Domestic violence (DV), including intimate partner violence (IPV) during pregnancy and the puerperium, represents a major public health issue, significantly affecting maternal and child health. (2) Methods: This systematic review and meta-analysis, conducted according to PRISMA 2020 guidelines, aimed to identify screening tools used to detect DV and IPV among pregnant and postpartum women and to estimate DV prevalence. The protocol was published in PROSPERO in advance (CRD42023473392). (3) Results: A comprehensive literature search across PubMed, EMBASE, Scopus, and Web of Science was conducted on 1 January 2024, resulting in 34,720 records; 98 studies met the inclusion criteria. The included studies were conducted in over 40 countries, and most were cross-sectional. Commonly used screening tools included the WHO Women's Health and Life Experiences Questionnaire, the Abuse Assessment Screen, and the WHO Violence Against Women Instrument. Meta-analyses showed that 10% of women experienced physical violence, 26% psychological violence, 9% sexual violence, 16% verbal violence, and 13% economic violence. The overall prevalence of IPV during pregnancy and the puerperium was 26%. Despite the widespread use of validated instruments, substantial heterogeneity was observed, underscoring the need for standardization. (4) Conclusion: These findings underline the urgent need to integrate routine IPV screening into maternal care pathways using validated, culturally adapted tools, ensuring women's safety and confidentiality.</p>","PeriodicalId":30631,"journal":{"name":"European Journal of Investigation in Health Psychology and Education","volume":"15 8","pages":""},"PeriodicalIF":2.6000,"publicationDate":"2025-08-15","publicationTypes":"Journal Article","fieldsOfStudy":null,"isOpenAccess":false,"openAccessPdf":"https://www.ncbi.nlm.nih.gov/pmc/articles/PMC12385551/pdf/","citationCount":"0","resultStr":"{\"title\":\"Prevalence and Screening Tools of Intimate Partner Violence Among Pregnant and Postpartum Women: A Systematic Review and Meta-Analysis.\",\"authors\":\"Laura Brunelli, Flavia Pennisi, Antonio Pinto, Loredana Cella, Maria Parpinel, Silvio Brusaferro, Carlo Signorelli, Vincenzo Baldo, Vincenza Gianfredi\",\"doi\":\"10.3390/ejihpe15080161\",\"DOIUrl\":null,\"url\":null,\"abstract\":\"<p><p>(1) Background: Domestic violence (DV), including intimate partner violence (IPV) during pregnancy and the puerperium, represents a major public health issue, significantly affecting maternal and child health. (2) Methods: This systematic review and meta-analysis, conducted according to PRISMA 2020 guidelines, aimed to identify screening tools used to detect DV and IPV among pregnant and postpartum women and to estimate DV prevalence. The protocol was published in PROSPERO in advance (CRD42023473392). (3) Results: A comprehensive literature search across PubMed, EMBASE, Scopus, and Web of Science was conducted on 1 January 2024, resulting in 34,720 records; 98 studies met the inclusion criteria. The included studies were conducted in over 40 countries, and most were cross-sectional. Commonly used screening tools included the WHO Women's Health and Life Experiences Questionnaire, the Abuse Assessment Screen, and the WHO Violence Against Women Instrument. Meta-analyses showed that 10% of women experienced physical violence, 26% psychological violence, 9% sexual violence, 16% verbal violence, and 13% economic violence. The overall prevalence of IPV during pregnancy and the puerperium was 26%. Despite the widespread use of validated instruments, substantial heterogeneity was observed, underscoring the need for standardization. (4) Conclusion: These findings underline the urgent need to integrate routine IPV screening into maternal care pathways using validated, culturally adapted tools, ensuring women's safety and confidentiality.</p>\",\"PeriodicalId\":30631,\"journal\":{\"name\":\"European Journal of Investigation in Health Psychology and Education\",\"volume\":\"15 8\",\"pages\":\"\"},\"PeriodicalIF\":2.6000,\"publicationDate\":\"2025-08-15\",\"publicationTypes\":\"Journal Article\",\"fieldsOfStudy\":null,\"isOpenAccess\":false,\"openAccessPdf\":\"https://www.ncbi.nlm.nih.gov/pmc/articles/PMC12385551/pdf/\",\"citationCount\":\"0\",\"resultStr\":null,\"platform\":\"Semanticscholar\",\"paperid\":null,\"PeriodicalName\":\"European Journal of Investigation in Health Psychology and Education\",\"FirstCategoryId\":\"1085\",\"ListUrlMain\":\"https://doi.org/10.3390/ejihpe15080161\",\"RegionNum\":0,\"RegionCategory\":null,\"ArticlePicture\":[],\"TitleCN\":null,\"AbstractTextCN\":null,\"PMCID\":null,\"EPubDate\":\"\",\"PubModel\":\"\",\"JCR\":\"Q1\",\"JCRName\":\"PSYCHOLOGY, CLINICAL\",\"Score\":null,\"Total\":0}","platform":"Semanticscholar","paperid":null,"PeriodicalName":"European Journal of Investigation in Health Psychology and Education","FirstCategoryId":"1085","ListUrlMain":"https://doi.org/10.3390/ejihpe15080161","RegionNum":0,"RegionCategory":null,"ArticlePicture":[],"TitleCN":null,"AbstractTextCN":null,"PMCID":null,"EPubDate":"","PubModel":"","JCR":"Q1","JCRName":"PSYCHOLOGY, CLINICAL","Score":null,"Total":0}
引用次数: 0

摘要

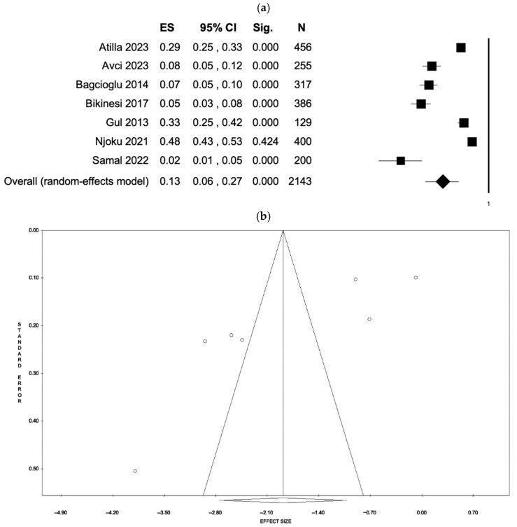
(1)背景:家庭暴力(DV),包括怀孕和产褥期的亲密伴侣暴力(IPV),是一个重大的公共卫生问题,严重影响孕产妇和儿童健康。(2)方法:本系统综述和荟萃分析,根据PRISMA 2020指南进行,旨在确定用于检测孕妇和产后妇女DV和IPV的筛查工具,并估计DV的患病率。该协议已提前在PROSPERO上发表(CRD42023473392)。(3)结果:于2024年1月1日对PubMed、EMBASE、Scopus和Web of Science进行了全面的文献检索,共检索到34720条文献;98项研究符合纳入标准。纳入的研究在40多个国家进行,大多数是横断面研究。常用的筛查工具包括世卫组织妇女健康和生活经历问卷、虐待评估筛查和世卫组织暴力侵害妇女行为工具。荟萃分析显示,10%的女性遭受过身体暴力,26%的女性遭受过心理暴力,9%的女性遭受过性暴力,16%的女性遭受过言语暴力,13%的女性遭受过经济暴力。妊娠期和产褥期IPV的总患病率为26%。尽管广泛使用了经过验证的仪器,但观察到大量的异质性,强调了标准化的必要性。(4)结论:这些发现强调迫切需要将常规IPV筛查纳入孕产妇保健途径,使用经过验证的、文化适应的工具,确保妇女的安全和保密。
本文章由计算机程序翻译,如有差异,请以英文原文为准。

Prevalence and Screening Tools of Intimate Partner Violence Among Pregnant and Postpartum Women: A Systematic Review and Meta-Analysis.

Prevalence and Screening Tools of Intimate Partner Violence Among Pregnant and Postpartum Women: A Systematic Review and Meta-Analysis.

Prevalence and Screening Tools of Intimate Partner Violence Among Pregnant and Postpartum Women: A Systematic Review and Meta-Analysis.

Prevalence and Screening Tools of Intimate Partner Violence Among Pregnant and Postpartum Women: A Systematic Review and Meta-Analysis.

(1) Background: Domestic violence (DV), including intimate partner violence (IPV) during pregnancy and the puerperium, represents a major public health issue, significantly affecting maternal and child health. (2) Methods: This systematic review and meta-analysis, conducted according to PRISMA 2020 guidelines, aimed to identify screening tools used to detect DV and IPV among pregnant and postpartum women and to estimate DV prevalence. The protocol was published in PROSPERO in advance (CRD42023473392). (3) Results: A comprehensive literature search across PubMed, EMBASE, Scopus, and Web of Science was conducted on 1 January 2024, resulting in 34,720 records; 98 studies met the inclusion criteria. The included studies were conducted in over 40 countries, and most were cross-sectional. Commonly used screening tools included the WHO Women's Health and Life Experiences Questionnaire, the Abuse Assessment Screen, and the WHO Violence Against Women Instrument. Meta-analyses showed that 10% of women experienced physical violence, 26% psychological violence, 9% sexual violence, 16% verbal violence, and 13% economic violence. The overall prevalence of IPV during pregnancy and the puerperium was 26%. Despite the widespread use of validated instruments, substantial heterogeneity was observed, underscoring the need for standardization. (4) Conclusion: These findings underline the urgent need to integrate routine IPV screening into maternal care pathways using validated, culturally adapted tools, ensuring women's safety and confidentiality.

求助全文
通过发布文献求助,成功后即可免费获取论文全文。 去求助
来源期刊
CiteScore
4.40
自引率
12.50%
发文量
111
审稿时长
8 weeks
×
引用
GB/T 7714-2015
复制
MLA
复制
APA
复制
导出至
BibTeX EndNote RefMan NoteFirst NoteExpress
×
提示
您的信息不完整,为了账户安全,请先补充。
现在去补充
×
提示
您因"违规操作"
具体请查看互助需知
我知道了
×
提示
确定
请完成安全验证×
copy
已复制链接
快去分享给好友吧!
我知道了
右上角分享
点击右上角分享
0
联系我们:info@booksci.cn Book学术提供免费学术资源搜索服务,方便国内外学者检索中英文文献。致力于提供最便捷和优质的服务体验。 Copyright © 2023 布克学术 All rights reserved.
京ICP备2023020795号-1
ghs 京公网安备 11010802042870号
Book学术文献互助
Book学术文献互助群
群 号:604180095
Book学术官方微信