通过城市性质促进健康组织:卫生保健工作者的心理和生理影响。

IF 2.6 Q1 PSYCHOLOGY, CLINICAL
Norida Vélez, Diana Marcela Paredes-Céspedes, Angélica Cruz-Pérez, Ronald López, Alejandra Parada-López, Eliana M Téllez-Ávila, Paola Rodríguez de Silva, Ana Munevar, Diana Marcela Rodríguez González, Paola Fuquen, Juan Carlos Santacruz, Jeadran Malagón-Rojas
{"title":"通过城市性质促进健康组织:卫生保健工作者的心理和生理影响。","authors":"Norida Vélez, Diana Marcela Paredes-Céspedes, Angélica Cruz-Pérez, Ronald López, Alejandra Parada-López, Eliana M Téllez-Ávila, Paola Rodríguez de Silva, Ana Munevar, Diana Marcela Rodríguez González, Paola Fuquen, Juan Carlos Santacruz, Jeadran Malagón-Rojas","doi":"10.3390/ejihpe15080159","DOIUrl":null,"url":null,"abstract":"<p><strong>Background: </strong>Healthcare professionals experience high levels of stress due to demanding work, especially in metropolitan areas. Nature-based interventions offer potential mental health benefits. This randomized intervention study aimed to evaluate the effects of nature immersion therapies on mental health outcomes in healthcare workers with different psychological risk in Bogota, Colombia.</p><p><strong>Methods: </strong>During a period of 6 months, a total of 82 healthcare workers from two institutions were assigned to three groups: two exposed weekly to nature (parks and forests) and one control group with monthly conventional interventions. Psychological assessments of stress, anxiety, fatigue, and sleep quality were conducted at three time points (baseline, three, and six months of intervention). Cortisol Awakening Response (CAR) was measured monthly using immunoassay.</p><p><strong>Results: </strong>A decrease in the proportion of participants reporting high levels of perceived stress was observed in both intervention groups. Both forest and parks interventions significantly reduced anxiety and fatigue, while sleep quality improved only in the forest group. Multivariate analysis found a negative association between fatigue and forest intervention, as well as significant differences in CAR concentrations across groups over time.</p><p><strong>Conclusions: </strong>This study provides evidence that nature immersion therapy, particularly urban forests, positively impact mental and physical health, reducing stress, anxiety, fatigue, and CAR levels, and could be considered as an effective intervention to enhance workers' resilience to stress, benefiting their overall health and well-being.</p>","PeriodicalId":30631,"journal":{"name":"European Journal of Investigation in Health Psychology and Education","volume":"15 8","pages":""},"PeriodicalIF":2.6000,"publicationDate":"2025-08-14","publicationTypes":"Journal Article","fieldsOfStudy":null,"isOpenAccess":false,"openAccessPdf":"https://www.ncbi.nlm.nih.gov/pmc/articles/PMC12385907/pdf/","citationCount":"0","resultStr":"{\"title\":\"Promoting Healthy Organizations Through Urban Nature: Psychological and Physiological Effects in Healthcare Workers.\",\"authors\":\"Norida Vélez, Diana Marcela Paredes-Céspedes, Angélica Cruz-Pérez, Ronald López, Alejandra Parada-López, Eliana M Téllez-Ávila, Paola Rodríguez de Silva, Ana Munevar, Diana Marcela Rodríguez González, Paola Fuquen, Juan Carlos Santacruz, Jeadran Malagón-Rojas\",\"doi\":\"10.3390/ejihpe15080159\",\"DOIUrl\":null,\"url\":null,\"abstract\":\"<p><strong>Background: </strong>Healthcare professionals experience high levels of stress due to demanding work, especially in metropolitan areas. Nature-based interventions offer potential mental health benefits. This randomized intervention study aimed to evaluate the effects of nature immersion therapies on mental health outcomes in healthcare workers with different psychological risk in Bogota, Colombia.</p><p><strong>Methods: </strong>During a period of 6 months, a total of 82 healthcare workers from two institutions were assigned to three groups: two exposed weekly to nature (parks and forests) and one control group with monthly conventional interventions. Psychological assessments of stress, anxiety, fatigue, and sleep quality were conducted at three time points (baseline, three, and six months of intervention). Cortisol Awakening Response (CAR) was measured monthly using immunoassay.</p><p><strong>Results: </strong>A decrease in the proportion of participants reporting high levels of perceived stress was observed in both intervention groups. Both forest and parks interventions significantly reduced anxiety and fatigue, while sleep quality improved only in the forest group. Multivariate analysis found a negative association between fatigue and forest intervention, as well as significant differences in CAR concentrations across groups over time.</p><p><strong>Conclusions: </strong>This study provides evidence that nature immersion therapy, particularly urban forests, positively impact mental and physical health, reducing stress, anxiety, fatigue, and CAR levels, and could be considered as an effective intervention to enhance workers' resilience to stress, benefiting their overall health and well-being.</p>\",\"PeriodicalId\":30631,\"journal\":{\"name\":\"European Journal of Investigation in Health Psychology and Education\",\"volume\":\"15 8\",\"pages\":\"\"},\"PeriodicalIF\":2.6000,\"publicationDate\":\"2025-08-14\",\"publicationTypes\":\"Journal Article\",\"fieldsOfStudy\":null,\"isOpenAccess\":false,\"openAccessPdf\":\"https://www.ncbi.nlm.nih.gov/pmc/articles/PMC12385907/pdf/\",\"citationCount\":\"0\",\"resultStr\":null,\"platform\":\"Semanticscholar\",\"paperid\":null,\"PeriodicalName\":\"European Journal of Investigation in Health Psychology and Education\",\"FirstCategoryId\":\"1085\",\"ListUrlMain\":\"https://doi.org/10.3390/ejihpe15080159\",\"RegionNum\":0,\"RegionCategory\":null,\"ArticlePicture\":[],\"TitleCN\":null,\"AbstractTextCN\":null,\"PMCID\":null,\"EPubDate\":\"\",\"PubModel\":\"\",\"JCR\":\"Q1\",\"JCRName\":\"PSYCHOLOGY, CLINICAL\",\"Score\":null,\"Total\":0}","platform":"Semanticscholar","paperid":null,"PeriodicalName":"European Journal of Investigation in Health Psychology and Education","FirstCategoryId":"1085","ListUrlMain":"https://doi.org/10.3390/ejihpe15080159","RegionNum":0,"RegionCategory":null,"ArticlePicture":[],"TitleCN":null,"AbstractTextCN":null,"PMCID":null,"EPubDate":"","PubModel":"","JCR":"Q1","JCRName":"PSYCHOLOGY, CLINICAL","Score":null,"Total":0}
引用次数: 0

摘要

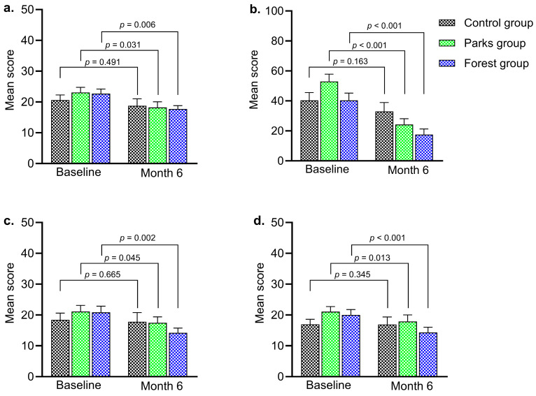
背景:由于工作要求高,特别是在大都市地区,医疗保健专业人员承受着很高的压力。基于自然的干预提供了潜在的心理健康益处。本随机干预研究旨在评估自然沉浸疗法对哥伦比亚波哥大不同心理风险医护人员心理健康结果的影响。方法:在6个月的时间里,来自两个机构的82名医护人员被分为三组:两组每周接触自然(公园和森林),一组每月进行常规干预。在三个时间点(干预的基线、三个月和六个月)对压力、焦虑、疲劳和睡眠质量进行心理评估。使用免疫分析法每月测量皮质醇唤醒反应(CAR)。结果:在两个干预组中,报告高水平感知压力的参与者比例都有所下降。森林和公园的干预都显著减少了焦虑和疲劳,而只有森林组的睡眠质量得到了改善。多变量分析发现,疲劳与森林干预之间存在负相关关系,而且随着时间的推移,各组之间的CAR浓度也存在显著差异。结论:本研究提供的证据表明,自然沉浸疗法,特别是城市森林,对身心健康有积极的影响,可以减少压力、焦虑、疲劳和CAR水平,可以被认为是一种有效的干预措施,可以增强工人对压力的适应能力,有益于他们的整体健康和福祉。
本文章由计算机程序翻译,如有差异,请以英文原文为准。

Promoting Healthy Organizations Through Urban Nature: Psychological and Physiological Effects in Healthcare Workers.

Promoting Healthy Organizations Through Urban Nature: Psychological and Physiological Effects in Healthcare Workers.

Promoting Healthy Organizations Through Urban Nature: Psychological and Physiological Effects in Healthcare Workers.

Promoting Healthy Organizations Through Urban Nature: Psychological and Physiological Effects in Healthcare Workers.

Background: Healthcare professionals experience high levels of stress due to demanding work, especially in metropolitan areas. Nature-based interventions offer potential mental health benefits. This randomized intervention study aimed to evaluate the effects of nature immersion therapies on mental health outcomes in healthcare workers with different psychological risk in Bogota, Colombia.

Methods: During a period of 6 months, a total of 82 healthcare workers from two institutions were assigned to three groups: two exposed weekly to nature (parks and forests) and one control group with monthly conventional interventions. Psychological assessments of stress, anxiety, fatigue, and sleep quality were conducted at three time points (baseline, three, and six months of intervention). Cortisol Awakening Response (CAR) was measured monthly using immunoassay.

Results: A decrease in the proportion of participants reporting high levels of perceived stress was observed in both intervention groups. Both forest and parks interventions significantly reduced anxiety and fatigue, while sleep quality improved only in the forest group. Multivariate analysis found a negative association between fatigue and forest intervention, as well as significant differences in CAR concentrations across groups over time.

Conclusions: This study provides evidence that nature immersion therapy, particularly urban forests, positively impact mental and physical health, reducing stress, anxiety, fatigue, and CAR levels, and could be considered as an effective intervention to enhance workers' resilience to stress, benefiting their overall health and well-being.

求助全文
通过发布文献求助,成功后即可免费获取论文全文。 去求助
来源期刊
CiteScore
4.40
自引率
12.50%
发文量
111
审稿时长
8 weeks
×
引用
GB/T 7714-2015
复制
MLA
复制
APA
复制
导出至
BibTeX EndNote RefMan NoteFirst NoteExpress
×
提示
您的信息不完整,为了账户安全,请先补充。
现在去补充
×
提示
您因"违规操作"
具体请查看互助需知
我知道了
×
提示
确定
请完成安全验证×
copy
已复制链接
快去分享给好友吧!
我知道了
右上角分享
点击右上角分享
0
联系我们:info@booksci.cn Book学术提供免费学术资源搜索服务,方便国内外学者检索中英文文献。致力于提供最便捷和优质的服务体验。 Copyright © 2023 布克学术 All rights reserved.
京ICP备2023020795号-1
ghs 京公网安备 11010802042870号
Book学术文献互助
Book学术文献互助群
群 号:604180095
Book学术官方微信