利善单抗跨GRAPPA域治疗银屑病关节炎的疗效:来自KEEPsAKE 1和2期研究患者的汇总分析

IF 4.7 2区 医学 Q1 RHEUMATOLOGY
Laura C Coates, Ricardo Blanco, Frank Behrens, Alexis Ogdie, Filip Van den Bosch, Roberto Ranza, Yael Klionsky, Ahmed M Soliman, Michael Chen, Derek Coombs, Linyu Shi, Jamie R Urbanik, Thomas Iyile, Ralph Lippe, Laure Gossec
{"title":"利善单抗跨GRAPPA域治疗银屑病关节炎的疗效:来自KEEPsAKE 1和2期研究患者的汇总分析","authors":"Laura C Coates, Ricardo Blanco, Frank Behrens, Alexis Ogdie, Filip Van den Bosch, Roberto Ranza, Yael Klionsky, Ahmed M Soliman, Michael Chen, Derek Coombs, Linyu Shi, Jamie R Urbanik, Thomas Iyile, Ralph Lippe, Laure Gossec","doi":"10.1136/rmdopen-2025-005522","DOIUrl":null,"url":null,"abstract":"<p><strong>Objective: </strong>To assess the efficacy of long-term treatment with risankizumab across the updated Group for Research and Assessment of Psoriasis and Psoriatic Arthritis (GRAPPA) domains and key related conditions of psoriatic arthritis (PsA).</p><p><strong>Methods: </strong>This post hoc analysis primarily used data from the phase 3 KEEPsAKE 1 trial of adult patients with PsA, with data from KEEPsAKE 2 pooled for prespecified outcomes. Outcomes measuring risankizumab efficacy across key GRAPPA-recognised domains of PsA (peripheral arthritis, enthesitis, dactylitis, skin and nail psoriasis, axial disease) and PsA-related conditions such as inflammatory bowel disease (IBD) and uveitis were assessed over 100 weeks of treatment (~2 years). Statistical approaches included non-responder imputation (as-observed with imputation) for categorical variables and mixed-effect model for repeated measures for continuous variables including as-observed measurements at all visits. PsA-related conditions were evaluated via adverse events through 100 weeks.</p><p><strong>Results: </strong>Overall, in KEEPsAKE 1 and KEEPsAKE 2, 412/483 (85.3%) and 181/224 (80.8%) of patients randomised to risankizumab completed treatment to week 100. Risankizumab demonstrated efficacy across all GRAPPA-defined domains through 100 weeks, including swollen and tender joint counts, enthesitis, dactylitis, skin and nail outcomes, and axial disease. In KEEPsAKE 1, 42.4% of patients had achieved a Disease Activity in Psoriatic Arthritis measurement of low disease activity and 62.9% had reached a minimal clinically important difference in pain at week 100. Rates of new onset or flare of IBD and uveitis were low.</p><p><strong>Conclusions: </strong>Treatment with risankizumab provides durable improvement in the signs and symptoms of PsA across all GRAPPA disease domains and related conditions.</p>","PeriodicalId":21396,"journal":{"name":"RMD Open","volume":"11 3","pages":""},"PeriodicalIF":4.7000,"publicationDate":"2025-08-25","publicationTypes":"Journal Article","fieldsOfStudy":null,"isOpenAccess":false,"openAccessPdf":"https://www.ncbi.nlm.nih.gov/pmc/articles/PMC12382576/pdf/","citationCount":"0","resultStr":"{\"title\":\"Efficacy of risankizumab across GRAPPA domains in psoriatic arthritis: a pooled analysis of patients from the phase 3 KEEPsAKE 1 and 2 studies.\",\"authors\":\"Laura C Coates, Ricardo Blanco, Frank Behrens, Alexis Ogdie, Filip Van den Bosch, Roberto Ranza, Yael Klionsky, Ahmed M Soliman, Michael Chen, Derek Coombs, Linyu Shi, Jamie R Urbanik, Thomas Iyile, Ralph Lippe, Laure Gossec\",\"doi\":\"10.1136/rmdopen-2025-005522\",\"DOIUrl\":null,\"url\":null,\"abstract\":\"<p><strong>Objective: </strong>To assess the efficacy of long-term treatment with risankizumab across the updated Group for Research and Assessment of Psoriasis and Psoriatic Arthritis (GRAPPA) domains and key related conditions of psoriatic arthritis (PsA).</p><p><strong>Methods: </strong>This post hoc analysis primarily used data from the phase 3 KEEPsAKE 1 trial of adult patients with PsA, with data from KEEPsAKE 2 pooled for prespecified outcomes. Outcomes measuring risankizumab efficacy across key GRAPPA-recognised domains of PsA (peripheral arthritis, enthesitis, dactylitis, skin and nail psoriasis, axial disease) and PsA-related conditions such as inflammatory bowel disease (IBD) and uveitis were assessed over 100 weeks of treatment (~2 years). Statistical approaches included non-responder imputation (as-observed with imputation) for categorical variables and mixed-effect model for repeated measures for continuous variables including as-observed measurements at all visits. PsA-related conditions were evaluated via adverse events through 100 weeks.</p><p><strong>Results: </strong>Overall, in KEEPsAKE 1 and KEEPsAKE 2, 412/483 (85.3%) and 181/224 (80.8%) of patients randomised to risankizumab completed treatment to week 100. Risankizumab demonstrated efficacy across all GRAPPA-defined domains through 100 weeks, including swollen and tender joint counts, enthesitis, dactylitis, skin and nail outcomes, and axial disease. In KEEPsAKE 1, 42.4% of patients had achieved a Disease Activity in Psoriatic Arthritis measurement of low disease activity and 62.9% had reached a minimal clinically important difference in pain at week 100. Rates of new onset or flare of IBD and uveitis were low.</p><p><strong>Conclusions: </strong>Treatment with risankizumab provides durable improvement in the signs and symptoms of PsA across all GRAPPA disease domains and related conditions.</p>\",\"PeriodicalId\":21396,\"journal\":{\"name\":\"RMD Open\",\"volume\":\"11 3\",\"pages\":\"\"},\"PeriodicalIF\":4.7000,\"publicationDate\":\"2025-08-25\",\"publicationTypes\":\"Journal Article\",\"fieldsOfStudy\":null,\"isOpenAccess\":false,\"openAccessPdf\":\"https://www.ncbi.nlm.nih.gov/pmc/articles/PMC12382576/pdf/\",\"citationCount\":\"0\",\"resultStr\":null,\"platform\":\"Semanticscholar\",\"paperid\":null,\"PeriodicalName\":\"RMD Open\",\"FirstCategoryId\":\"3\",\"ListUrlMain\":\"https://doi.org/10.1136/rmdopen-2025-005522\",\"RegionNum\":2,\"RegionCategory\":\"医学\",\"ArticlePicture\":[],\"TitleCN\":null,\"AbstractTextCN\":null,\"PMCID\":null,\"EPubDate\":\"\",\"PubModel\":\"\",\"JCR\":\"Q1\",\"JCRName\":\"RHEUMATOLOGY\",\"Score\":null,\"Total\":0}","platform":"Semanticscholar","paperid":null,"PeriodicalName":"RMD Open","FirstCategoryId":"3","ListUrlMain":"https://doi.org/10.1136/rmdopen-2025-005522","RegionNum":2,"RegionCategory":"医学","ArticlePicture":[],"TitleCN":null,"AbstractTextCN":null,"PMCID":null,"EPubDate":"","PubModel":"","JCR":"Q1","JCRName":"RHEUMATOLOGY","Score":null,"Total":0}
引用次数: 0

摘要

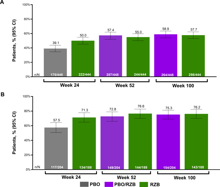
目的:在更新的银屑病和银屑病关节炎研究和评估组(GRAPPA)结构域和银屑病关节炎(PsA)的关键相关病症中评估长期使用瑞尚单抗治疗的疗效。方法:这项事后分析主要使用了成人PsA患者的KEEPsAKE 1期3期试验的数据,并将KEEPsAKE 2期试验的数据汇总为预先指定的结果。在100周(~2年)的治疗中,评估了利桑单抗在关键的grappa识别的PsA(外周关节炎、鼻炎、趾炎、皮肤和指甲牛皮癣、轴性疾病)和PsA相关疾病(如炎症性肠病(IBD)和葡萄膜炎)领域的疗效。统计方法包括分类变量的无应答归算(按观察值归算)和连续变量的重复测量的混合效应模型,包括所有访问的观察值。通过100周的不良事件评估psa相关情况。总体而言,在KEEPsAKE 1和KEEPsAKE 2中,412/483(85.3%)和181/224(80.8%)随机分配到瑞尚单抗的患者完成了第100周的治疗。通过100周的研究,Risankizumab在所有grappa定义的领域均显示出疗效,包括肿胀和压痛关节计数、鼻炎、趾炎、皮肤和指甲结果以及轴向疾病。在KEEPsAKE 1中,42.4%的患者达到了银屑病关节炎疾病活动度的低疾病活动度测量,62.9%的患者在第100周达到了最小的临床重要疼痛差异。IBD和葡萄膜炎的新发或爆发率较低。结论:在所有GRAPPA疾病域和相关疾病中,使用瑞尚单抗治疗可持久改善PsA的体征和症状。
本文章由计算机程序翻译,如有差异,请以英文原文为准。

Efficacy of risankizumab across GRAPPA domains in psoriatic arthritis: a pooled analysis of patients from the phase 3 KEEPsAKE 1 and 2 studies.

Efficacy of risankizumab across GRAPPA domains in psoriatic arthritis: a pooled analysis of patients from the phase 3 KEEPsAKE 1 and 2 studies.

Efficacy of risankizumab across GRAPPA domains in psoriatic arthritis: a pooled analysis of patients from the phase 3 KEEPsAKE 1 and 2 studies.

Efficacy of risankizumab across GRAPPA domains in psoriatic arthritis: a pooled analysis of patients from the phase 3 KEEPsAKE 1 and 2 studies.

Objective: To assess the efficacy of long-term treatment with risankizumab across the updated Group for Research and Assessment of Psoriasis and Psoriatic Arthritis (GRAPPA) domains and key related conditions of psoriatic arthritis (PsA).

Methods: This post hoc analysis primarily used data from the phase 3 KEEPsAKE 1 trial of adult patients with PsA, with data from KEEPsAKE 2 pooled for prespecified outcomes. Outcomes measuring risankizumab efficacy across key GRAPPA-recognised domains of PsA (peripheral arthritis, enthesitis, dactylitis, skin and nail psoriasis, axial disease) and PsA-related conditions such as inflammatory bowel disease (IBD) and uveitis were assessed over 100 weeks of treatment (~2 years). Statistical approaches included non-responder imputation (as-observed with imputation) for categorical variables and mixed-effect model for repeated measures for continuous variables including as-observed measurements at all visits. PsA-related conditions were evaluated via adverse events through 100 weeks.

Results: Overall, in KEEPsAKE 1 and KEEPsAKE 2, 412/483 (85.3%) and 181/224 (80.8%) of patients randomised to risankizumab completed treatment to week 100. Risankizumab demonstrated efficacy across all GRAPPA-defined domains through 100 weeks, including swollen and tender joint counts, enthesitis, dactylitis, skin and nail outcomes, and axial disease. In KEEPsAKE 1, 42.4% of patients had achieved a Disease Activity in Psoriatic Arthritis measurement of low disease activity and 62.9% had reached a minimal clinically important difference in pain at week 100. Rates of new onset or flare of IBD and uveitis were low.

Conclusions: Treatment with risankizumab provides durable improvement in the signs and symptoms of PsA across all GRAPPA disease domains and related conditions.

求助全文
通过发布文献求助,成功后即可免费获取论文全文。 去求助
来源期刊
RMD Open
RMD Open RHEUMATOLOGY-
CiteScore
7.30
自引率
6.50%
发文量
205
审稿时长
14 weeks
期刊介绍: RMD Open publishes high quality peer-reviewed original research covering the full spectrum of musculoskeletal disorders, rheumatism and connective tissue diseases, including osteoporosis, spine and rehabilitation. Clinical and epidemiological research, basic and translational medicine, interesting clinical cases, and smaller studies that add to the literature are all considered.
×
引用
GB/T 7714-2015
复制
MLA
复制
APA
复制
导出至
BibTeX EndNote RefMan NoteFirst NoteExpress
×
提示
您的信息不完整,为了账户安全,请先补充。
现在去补充
×
提示
您因"违规操作"
具体请查看互助需知
我知道了
×
提示
确定
请完成安全验证×
copy
已复制链接
快去分享给好友吧!
我知道了
右上角分享
点击右上角分享
0
联系我们:info@booksci.cn Book学术提供免费学术资源搜索服务,方便国内外学者检索中英文文献。致力于提供最便捷和优质的服务体验。 Copyright © 2023 布克学术 All rights reserved.
京ICP备2023020795号-1
ghs 京公网安备 11010802042870号
Book学术文献互助
Book学术文献互助群
群 号:604180095
Book学术官方微信