沙特医疗保健提供者的观点和抗肥胖药物的临床实践:一项全国调查。

IF 1.5 Q2 MEDICINE, GENERAL & INTERNAL
Haifa F AlOtaibi, Sahar Alnasrallah, Assim A Alfadda, Samar A Alquassayer, Amr A Arafat, Shadan AlMuhaidib, Rawabi M Alsayer, Saleh A Alqahtani, Waleed Alhazzani
{"title":"沙特医疗保健提供者的观点和抗肥胖药物的临床实践:一项全国调查。","authors":"Haifa F AlOtaibi, Sahar Alnasrallah, Assim A Alfadda, Samar A Alquassayer, Amr A Arafat, Shadan AlMuhaidib, Rawabi M Alsayer, Saleh A Alqahtani, Waleed Alhazzani","doi":"10.4103/sjmms.sjmms_672_24","DOIUrl":null,"url":null,"abstract":"<p><strong>Background: </strong>The rising prevalence of obesity is associated with significant health risks, underscoring the need for effective prevention and treatment. The use of anti-obesity medications (AOMs) remains limited due to several barriers.</p><p><strong>Objectives: </strong>To physicians' perspectives and clinical practices regarding AOMs in Saudi Arabia.</p><p><strong>Methods: </strong>We conducted a national cross-sectional survey between May and August 2024 targeting family physicians, endocrinologists, and bariatric surgeons in Saudi Arabia. We distributed the survey using convenience sampling through department heads at hospitals across five regions and relevant professional societies. We collected data on clinician demographics, clinical practices, and perceptions related to AOMs. We compared responses across specialties and identified predictors of prescribing AOMs.</p><p><strong>Results: </strong>A total of 92 clinicians completed the survey: 71 family physicians, 20 endocrinologists, and 1 bariatric surgeon. Overall, 15.3% of the respondents had received formal obesity-focused training. While 92.4% reported counseling patients on obesity-related complications, 57.6% routinely referred patients to dietitians. Endocrinologists preferred international guidelines and prescribed AOMs more frequently than family physicians (90.0% vs. 60.5%; <i>P</i> < 0.001). Glucagon-like peptide-1 receptor agonists were the most commonly prescribed first-line agents. Key predictors of prescribing AOMs included medical specialty, guidelines preference, and prior obesity training.</p><p><strong>Conclusions: </strong>Physician specialty, clinical experience, and adherence to guidelines influence the prescription of anti-obesity medications in Saudi Arabia. Limited training and a more conservative approach among family physicians highlight the need for targeted educational interventions to improve obesity management. Initiatives should focus on harmonizing clinical guidelines and expanding access to evidence-based treatments.</p>","PeriodicalId":21442,"journal":{"name":"Saudi Journal of Medicine & Medical Sciences","volume":"13 3","pages":"222-230"},"PeriodicalIF":1.5000,"publicationDate":"2025-07-01","publicationTypes":"Journal Article","fieldsOfStudy":null,"isOpenAccess":false,"openAccessPdf":"https://www.ncbi.nlm.nih.gov/pmc/articles/PMC12366907/pdf/","citationCount":"0","resultStr":"{\"title\":\"Saudi Healthcare Providers' Perspectives and Clinical Practice of Anti-Obesity Medications: A National Survey.\",\"authors\":\"Haifa F AlOtaibi, Sahar Alnasrallah, Assim A Alfadda, Samar A Alquassayer, Amr A Arafat, Shadan AlMuhaidib, Rawabi M Alsayer, Saleh A Alqahtani, Waleed Alhazzani\",\"doi\":\"10.4103/sjmms.sjmms_672_24\",\"DOIUrl\":null,\"url\":null,\"abstract\":\"<p><strong>Background: </strong>The rising prevalence of obesity is associated with significant health risks, underscoring the need for effective prevention and treatment. The use of anti-obesity medications (AOMs) remains limited due to several barriers.</p><p><strong>Objectives: </strong>To physicians' perspectives and clinical practices regarding AOMs in Saudi Arabia.</p><p><strong>Methods: </strong>We conducted a national cross-sectional survey between May and August 2024 targeting family physicians, endocrinologists, and bariatric surgeons in Saudi Arabia. We distributed the survey using convenience sampling through department heads at hospitals across five regions and relevant professional societies. We collected data on clinician demographics, clinical practices, and perceptions related to AOMs. We compared responses across specialties and identified predictors of prescribing AOMs.</p><p><strong>Results: </strong>A total of 92 clinicians completed the survey: 71 family physicians, 20 endocrinologists, and 1 bariatric surgeon. Overall, 15.3% of the respondents had received formal obesity-focused training. While 92.4% reported counseling patients on obesity-related complications, 57.6% routinely referred patients to dietitians. Endocrinologists preferred international guidelines and prescribed AOMs more frequently than family physicians (90.0% vs. 60.5%; <i>P</i> < 0.001). Glucagon-like peptide-1 receptor agonists were the most commonly prescribed first-line agents. Key predictors of prescribing AOMs included medical specialty, guidelines preference, and prior obesity training.</p><p><strong>Conclusions: </strong>Physician specialty, clinical experience, and adherence to guidelines influence the prescription of anti-obesity medications in Saudi Arabia. Limited training and a more conservative approach among family physicians highlight the need for targeted educational interventions to improve obesity management. Initiatives should focus on harmonizing clinical guidelines and expanding access to evidence-based treatments.</p>\",\"PeriodicalId\":21442,\"journal\":{\"name\":\"Saudi Journal of Medicine & Medical Sciences\",\"volume\":\"13 3\",\"pages\":\"222-230\"},\"PeriodicalIF\":1.5000,\"publicationDate\":\"2025-07-01\",\"publicationTypes\":\"Journal Article\",\"fieldsOfStudy\":null,\"isOpenAccess\":false,\"openAccessPdf\":\"https://www.ncbi.nlm.nih.gov/pmc/articles/PMC12366907/pdf/\",\"citationCount\":\"0\",\"resultStr\":null,\"platform\":\"Semanticscholar\",\"paperid\":null,\"PeriodicalName\":\"Saudi Journal of Medicine & Medical Sciences\",\"FirstCategoryId\":\"1085\",\"ListUrlMain\":\"https://doi.org/10.4103/sjmms.sjmms_672_24\",\"RegionNum\":0,\"RegionCategory\":null,\"ArticlePicture\":[],\"TitleCN\":null,\"AbstractTextCN\":null,\"PMCID\":null,\"EPubDate\":\"2025/7/14 0:00:00\",\"PubModel\":\"Epub\",\"JCR\":\"Q2\",\"JCRName\":\"MEDICINE, GENERAL & INTERNAL\",\"Score\":null,\"Total\":0}","platform":"Semanticscholar","paperid":null,"PeriodicalName":"Saudi Journal of Medicine & Medical Sciences","FirstCategoryId":"1085","ListUrlMain":"https://doi.org/10.4103/sjmms.sjmms_672_24","RegionNum":0,"RegionCategory":null,"ArticlePicture":[],"TitleCN":null,"AbstractTextCN":null,"PMCID":null,"EPubDate":"2025/7/14 0:00:00","PubModel":"Epub","JCR":"Q2","JCRName":"MEDICINE, GENERAL & INTERNAL","Score":null,"Total":0}
引用次数: 0

摘要

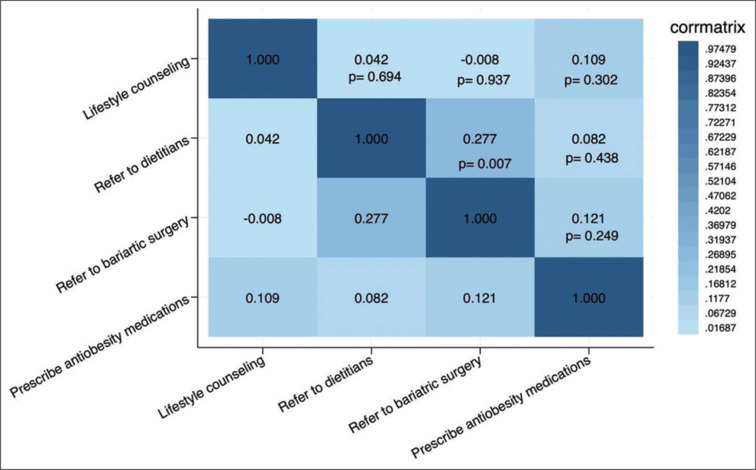
背景:肥胖患病率的上升与重大健康风险相关,强调了有效预防和治疗的必要性。由于一些障碍,抗肥胖药物(AOMs)的使用仍然有限。目的:了解沙特阿拉伯医师对AOMs的看法和临床实践。方法:我们在2024年5月至8月期间对沙特阿拉伯的家庭医生、内分泌学家和减肥外科医生进行了一项全国性的横断面调查。我们通过五个地区医院的科室主任和相关专业协会采用方便抽样的方式进行了调查。我们收集了与AOMs相关的临床人口统计学、临床实践和认知数据。我们比较了不同专业的反应,并确定了处方AOMs的预测因素。结果:共有92名临床医生完成了调查:71名家庭医生,20名内分泌科医生,1名减肥外科医生。总体而言,15.3%的受访者接受过正式的肥胖培训。92.4%的人报告为患者提供肥胖相关并发症的咨询,57.6%的人常规地将患者转介给营养师。内分泌学家比家庭医生更倾向于使用国际指南和AOMs (90.0% vs 60.5%; P < 0.001)。胰高血糖素样肽-1受体激动剂是最常用的一线药物。处方AOMs的关键预测因素包括医学专业、指南偏好和既往肥胖培训。结论:医生专业、临床经验和对指南的遵守影响着沙特阿拉伯抗肥胖药物的处方。在家庭医生中,有限的培训和更保守的方法突出了有针对性的教育干预来改善肥胖管理的必要性。倡议应侧重于协调临床指南和扩大获得循证治疗的机会。
本文章由计算机程序翻译,如有差异,请以英文原文为准。

Saudi Healthcare Providers' Perspectives and Clinical Practice of Anti-Obesity Medications: A National Survey.

Saudi Healthcare Providers' Perspectives and Clinical Practice of Anti-Obesity Medications: A National Survey.

Background: The rising prevalence of obesity is associated with significant health risks, underscoring the need for effective prevention and treatment. The use of anti-obesity medications (AOMs) remains limited due to several barriers.

Objectives: To physicians' perspectives and clinical practices regarding AOMs in Saudi Arabia.

Methods: We conducted a national cross-sectional survey between May and August 2024 targeting family physicians, endocrinologists, and bariatric surgeons in Saudi Arabia. We distributed the survey using convenience sampling through department heads at hospitals across five regions and relevant professional societies. We collected data on clinician demographics, clinical practices, and perceptions related to AOMs. We compared responses across specialties and identified predictors of prescribing AOMs.

Results: A total of 92 clinicians completed the survey: 71 family physicians, 20 endocrinologists, and 1 bariatric surgeon. Overall, 15.3% of the respondents had received formal obesity-focused training. While 92.4% reported counseling patients on obesity-related complications, 57.6% routinely referred patients to dietitians. Endocrinologists preferred international guidelines and prescribed AOMs more frequently than family physicians (90.0% vs. 60.5%; P < 0.001). Glucagon-like peptide-1 receptor agonists were the most commonly prescribed first-line agents. Key predictors of prescribing AOMs included medical specialty, guidelines preference, and prior obesity training.

Conclusions: Physician specialty, clinical experience, and adherence to guidelines influence the prescription of anti-obesity medications in Saudi Arabia. Limited training and a more conservative approach among family physicians highlight the need for targeted educational interventions to improve obesity management. Initiatives should focus on harmonizing clinical guidelines and expanding access to evidence-based treatments.

求助全文
通过发布文献求助,成功后即可免费获取论文全文。 去求助
来源期刊
Saudi Journal of Medicine & Medical Sciences
Saudi Journal of Medicine & Medical Sciences MEDICINE, GENERAL & INTERNAL-
CiteScore
1.40
自引率
0.00%
发文量
52
审稿时长
15 weeks
期刊介绍: Saudi Journal of Medicine & Medical Sciences (SJMMS) is the official scientific journal of Imam Abdulrahman Bin Faisal University. It is an international peer-reviewed, general medical journal. The scope of the Journal is to publish research that will be of interest to health specialties both in academic and clinical practice. The Journal aims at disseminating high-powered research results with the objective of turning research into knowledge. It seeks to promote scholarly publishing in medicine and medical sciences. The Journal is published in print and online. The target readers of the Journal include all medical and health professionals in the health cluster such as in medicine, dentistry, nursing, applied medical sciences, clinical pharmacology, public health, etc.
×
引用
GB/T 7714-2015
复制
MLA
复制
APA
复制
导出至
BibTeX EndNote RefMan NoteFirst NoteExpress
×
提示
您的信息不完整,为了账户安全,请先补充。
现在去补充
×
提示
您因"违规操作"
具体请查看互助需知
我知道了
×
提示
确定
请完成安全验证×
copy
已复制链接
快去分享给好友吧!
我知道了
右上角分享
点击右上角分享
0
联系我们:info@booksci.cn Book学术提供免费学术资源搜索服务,方便国内外学者检索中英文文献。致力于提供最便捷和优质的服务体验。 Copyright © 2023 布克学术 All rights reserved.
京ICP备2023020795号-1
ghs 京公网安备 11010802042870号
Book学术文献互助
Book学术文献互助群
群 号:604180095
Book学术官方微信