Mn卟啉、mntnbblue -2- pyp5 + (BMX-001)抑制紫杉醇诱导的神经病变和卵巢肿瘤生长。

2区 生物学 Q1 Biochemistry, Genetics and Molecular Biology
Oxidative Medicine and Cellular Longevity Pub Date : 2025-08-24 eCollection Date: 2025-01-01 DOI:10.1155/omcl/6333148
Ivan Spasojevic, Zhiqing Huang, Welida Tamires Alves da Silva, Weina Duan, Li Du, Cathleen Chen, Jie Cao, Shasha Zhang, Hannah Lee, Gaomong Lo, Artak Tovmasyan, Huaxin Sheng, Ines Batinic-Haberle, Angeles Alvarez Secord
{"title":"Mn卟啉、mntnbblue -2- pyp5 + (BMX-001)抑制紫杉醇诱导的神经病变和卵巢肿瘤生长。","authors":"Ivan Spasojevic, Zhiqing Huang, Welida Tamires Alves da Silva, Weina Duan, Li Du, Cathleen Chen, Jie Cao, Shasha Zhang, Hannah Lee, Gaomong Lo, Artak Tovmasyan, Huaxin Sheng, Ines Batinic-Haberle, Angeles Alvarez Secord","doi":"10.1155/omcl/6333148","DOIUrl":null,"url":null,"abstract":"<p><p>Numerous cellular and animal studies demonstrated the ability of redox-active Mn(III) <i>N</i>-alkyl- and <i>N</i>-alkoxyalkylpyridyporphyrins (MnPs) to protect normal tissue while suppressing tumor growth. The mechanism primarily involves the modulation of NF-кB and Nrf2 signaling pathways via catalysis of MnP/H<sub>2</sub>O<sub>2</sub>-driven protein thiol oxidation. Such differential protection/suppression effects have paved the way of Mn porphyrins (commonly known as mimics of superoxide dismutase) into clinical trials, therefore introducing new line of therapeutics that are affecting cellular redox status/oxidative stress, rather than specific proteins. The most clinically advanced Mn porphyrin, Mn(III) <i>meso</i>-tetrakis(<i>N</i>-n-butoxyethyl-2-pyridyl) porphyrin (MnTnBuOE-2-PyP<sup>5+</sup>, BMX-001) has progressed into five Phase II clinical trials, two of those related to the injuries of central nervous system. Currently, no efficient treatment for chemotherapy-induced neuropathy is available in clinics. We therefore employed BMX-001 to assess its effect on paclitaxel (PTX)-induced neuropathy. Mechanical (Von-Frey filaments) and thermal (hot plate) stimulation, toxicity (body weight), muscular coordination and general physical condition (rotarod) of female CD-1 mice were evaluated over 3 weeks with 2 mg/kg daily dosing and also at clinically relevant dosing of 0.8 mg/kg given subcutaneously (SC) twice weekly after 1.6 mg/kg loading dose. Data revealed a significant ability of BMX-001 to suppress peripheral neuropathy and neuroinflammation. Importantly, while protecting peripheral tissue, BMX-001 suppressed the tumor growth of CAOV2 high-grade serous ovarian cancer in a mouse subcutaneous xenograft model. Previously, the strong anticancer effect was only seen when Mn porphyrins were combined with radiation, chemotherapy, and ascorbate (Asc). Our data further demonstrate that high-grade serous ovarian cancer is the first in vivo cancer thus far studied where redox-active Mn porphyrin, as a single agent, exhibits strong anticancer effect, comparable to that of PTX. The effect is presumably due to high tumor levels of BMX-001 and high oxidative stress specific to the aggressive chemoresistant CAOV2 cell line. Such a strong anticancer effect of BMX-001 would allow for lowering the dosing of PTX and reducing the neuropathy. The combined neuropathy protection and anticancer efficacy demonstrate, therefore, strong therapeutic potential of BMX-001 for gynecological cancers. Moreover, the ability of BMX-001 to suppress neuropathy may be relevant for all types of cancer where chemotherapeutics that induce neuropathy are used as a standard-of-care.</p>","PeriodicalId":19657,"journal":{"name":"Oxidative Medicine and Cellular Longevity","volume":"2025 ","pages":"6333148"},"PeriodicalIF":0.0000,"publicationDate":"2025-08-24","publicationTypes":"Journal Article","fieldsOfStudy":null,"isOpenAccess":false,"openAccessPdf":"https://www.ncbi.nlm.nih.gov/pmc/articles/PMC12399357/pdf/","citationCount":"0","resultStr":"{\"title\":\"Suppression of Paclitaxel-Induced Neuropathy and Ovarian Tumor Growth by Mn Porphyrin, MnTnBuOE-2-PyP<sup>5+</sup> (BMX-001).\",\"authors\":\"Ivan Spasojevic, Zhiqing Huang, Welida Tamires Alves da Silva, Weina Duan, Li Du, Cathleen Chen, Jie Cao, Shasha Zhang, Hannah Lee, Gaomong Lo, Artak Tovmasyan, Huaxin Sheng, Ines Batinic-Haberle, Angeles Alvarez Secord\",\"doi\":\"10.1155/omcl/6333148\",\"DOIUrl\":null,\"url\":null,\"abstract\":\"<p><p>Numerous cellular and animal studies demonstrated the ability of redox-active Mn(III) <i>N</i>-alkyl- and <i>N</i>-alkoxyalkylpyridyporphyrins (MnPs) to protect normal tissue while suppressing tumor growth. The mechanism primarily involves the modulation of NF-кB and Nrf2 signaling pathways via catalysis of MnP/H<sub>2</sub>O<sub>2</sub>-driven protein thiol oxidation. Such differential protection/suppression effects have paved the way of Mn porphyrins (commonly known as mimics of superoxide dismutase) into clinical trials, therefore introducing new line of therapeutics that are affecting cellular redox status/oxidative stress, rather than specific proteins. The most clinically advanced Mn porphyrin, Mn(III) <i>meso</i>-tetrakis(<i>N</i>-n-butoxyethyl-2-pyridyl) porphyrin (MnTnBuOE-2-PyP<sup>5+</sup>, BMX-001) has progressed into five Phase II clinical trials, two of those related to the injuries of central nervous system. Currently, no efficient treatment for chemotherapy-induced neuropathy is available in clinics. We therefore employed BMX-001 to assess its effect on paclitaxel (PTX)-induced neuropathy. Mechanical (Von-Frey filaments) and thermal (hot plate) stimulation, toxicity (body weight), muscular coordination and general physical condition (rotarod) of female CD-1 mice were evaluated over 3 weeks with 2 mg/kg daily dosing and also at clinically relevant dosing of 0.8 mg/kg given subcutaneously (SC) twice weekly after 1.6 mg/kg loading dose. Data revealed a significant ability of BMX-001 to suppress peripheral neuropathy and neuroinflammation. Importantly, while protecting peripheral tissue, BMX-001 suppressed the tumor growth of CAOV2 high-grade serous ovarian cancer in a mouse subcutaneous xenograft model. Previously, the strong anticancer effect was only seen when Mn porphyrins were combined with radiation, chemotherapy, and ascorbate (Asc). Our data further demonstrate that high-grade serous ovarian cancer is the first in vivo cancer thus far studied where redox-active Mn porphyrin, as a single agent, exhibits strong anticancer effect, comparable to that of PTX. The effect is presumably due to high tumor levels of BMX-001 and high oxidative stress specific to the aggressive chemoresistant CAOV2 cell line. Such a strong anticancer effect of BMX-001 would allow for lowering the dosing of PTX and reducing the neuropathy. The combined neuropathy protection and anticancer efficacy demonstrate, therefore, strong therapeutic potential of BMX-001 for gynecological cancers. Moreover, the ability of BMX-001 to suppress neuropathy may be relevant for all types of cancer where chemotherapeutics that induce neuropathy are used as a standard-of-care.</p>\",\"PeriodicalId\":19657,\"journal\":{\"name\":\"Oxidative Medicine and Cellular Longevity\",\"volume\":\"2025 \",\"pages\":\"6333148\"},\"PeriodicalIF\":0.0000,\"publicationDate\":\"2025-08-24\",\"publicationTypes\":\"Journal Article\",\"fieldsOfStudy\":null,\"isOpenAccess\":false,\"openAccessPdf\":\"https://www.ncbi.nlm.nih.gov/pmc/articles/PMC12399357/pdf/\",\"citationCount\":\"0\",\"resultStr\":null,\"platform\":\"Semanticscholar\",\"paperid\":null,\"PeriodicalName\":\"Oxidative Medicine and Cellular Longevity\",\"FirstCategoryId\":\"99\",\"ListUrlMain\":\"https://doi.org/10.1155/omcl/6333148\",\"RegionNum\":2,\"RegionCategory\":\"生物学\",\"ArticlePicture\":[],\"TitleCN\":null,\"AbstractTextCN\":null,\"PMCID\":null,\"EPubDate\":\"2025/1/1 0:00:00\",\"PubModel\":\"eCollection\",\"JCR\":\"Q1\",\"JCRName\":\"Biochemistry, Genetics and Molecular Biology\",\"Score\":null,\"Total\":0}","platform":"Semanticscholar","paperid":null,"PeriodicalName":"Oxidative Medicine and Cellular Longevity","FirstCategoryId":"99","ListUrlMain":"https://doi.org/10.1155/omcl/6333148","RegionNum":2,"RegionCategory":"生物学","ArticlePicture":[],"TitleCN":null,"AbstractTextCN":null,"PMCID":null,"EPubDate":"2025/1/1 0:00:00","PubModel":"eCollection","JCR":"Q1","JCRName":"Biochemistry, Genetics and Molecular Biology","Score":null,"Total":0}
引用次数: 0

摘要

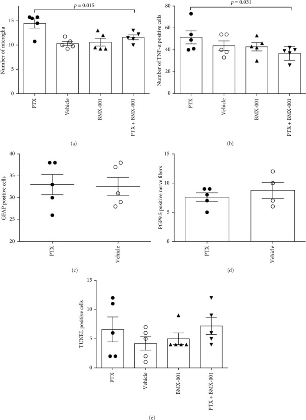
大量的细胞和动物研究表明,氧化还原活性Mn(III) n -烷基和n -烷氧基烷基吡啶卟啉(MnPs)在抑制肿瘤生长的同时保护正常组织的能力。其机制主要涉及通过MnP/ h2o2驱动的蛋白硫醇氧化催化NF-кB和Nrf2信号通路的调节。这种不同的保护/抑制作用为Mn卟啉(通常被称为超氧化物歧化酶的模拟物)进入临床试验铺平了道路,因此引入了影响细胞氧化还原状态/氧化应激的新疗法,而不是特定的蛋白质。临床最先进的Mn卟啉,Mn(III)中四基(n- n-丁氧乙基-2-吡啶基)卟啉(mntnbye -2- pyp5 +, BMX-001)已进入5项II期临床试验,其中2项与中枢神经系统损伤有关。目前,临床上对化疗引起的神经病变没有有效的治疗方法。因此,我们采用BMX-001来评估其对紫杉醇(PTX)诱导的神经病变的影响。雌性CD-1小鼠的机械(Von-Frey丝)和热(热板)刺激、毒性(体重)、肌肉协调性和一般身体状况(rotrotod)在3周内每天给药2 mg/kg,以及在1.6 mg/kg负荷剂量后每周两次皮下给药0.8 mg/kg的临床相关剂量(SC)。数据显示BMX-001具有显著的抑制周围神经病变和神经炎症的能力。重要的是,在保护外周组织的同时,BMX-001在小鼠皮下异种移植模型中抑制了CAOV2高级别浆液性卵巢癌的肿瘤生长。在此之前,Mn卟啉仅在与放疗、化疗和抗坏血酸(Asc)联合使用时才具有强大的抗癌作用。我们的数据进一步表明,高级别浆液性卵巢癌是迄今为止研究的第一种体内癌症,其中氧化还原活性Mn卟啉作为单一药物表现出与PTX相当的强抗癌作用。这种效应可能是由于肿瘤中BMX-001的高水平和侵袭性化疗耐药CAOV2细胞系特有的高氧化应激。BMX-001具有如此强的抗癌作用,可以降低PTX的剂量,减轻神经病变。因此,BMX-001的神经病变保护和抗癌联合作用表明,BMX-001对妇科癌症具有很强的治疗潜力。此外,BMX-001抑制神经病变的能力可能与所有类型的癌症有关,其中诱导神经病变的化疗被用作标准治疗。
本文章由计算机程序翻译,如有差异,请以英文原文为准。

Suppression of Paclitaxel-Induced Neuropathy and Ovarian Tumor Growth by Mn Porphyrin, MnTnBuOE-2-PyP<sup>5+</sup> (BMX-001).

Suppression of Paclitaxel-Induced Neuropathy and Ovarian Tumor Growth by Mn Porphyrin, MnTnBuOE-2-PyP<sup>5+</sup> (BMX-001).

Suppression of Paclitaxel-Induced Neuropathy and Ovarian Tumor Growth by Mn Porphyrin, MnTnBuOE-2-PyP<sup>5+</sup> (BMX-001).

Suppression of Paclitaxel-Induced Neuropathy and Ovarian Tumor Growth by Mn Porphyrin, MnTnBuOE-2-PyP5+ (BMX-001).

Numerous cellular and animal studies demonstrated the ability of redox-active Mn(III) N-alkyl- and N-alkoxyalkylpyridyporphyrins (MnPs) to protect normal tissue while suppressing tumor growth. The mechanism primarily involves the modulation of NF-кB and Nrf2 signaling pathways via catalysis of MnP/H2O2-driven protein thiol oxidation. Such differential protection/suppression effects have paved the way of Mn porphyrins (commonly known as mimics of superoxide dismutase) into clinical trials, therefore introducing new line of therapeutics that are affecting cellular redox status/oxidative stress, rather than specific proteins. The most clinically advanced Mn porphyrin, Mn(III) meso-tetrakis(N-n-butoxyethyl-2-pyridyl) porphyrin (MnTnBuOE-2-PyP5+, BMX-001) has progressed into five Phase II clinical trials, two of those related to the injuries of central nervous system. Currently, no efficient treatment for chemotherapy-induced neuropathy is available in clinics. We therefore employed BMX-001 to assess its effect on paclitaxel (PTX)-induced neuropathy. Mechanical (Von-Frey filaments) and thermal (hot plate) stimulation, toxicity (body weight), muscular coordination and general physical condition (rotarod) of female CD-1 mice were evaluated over 3 weeks with 2 mg/kg daily dosing and also at clinically relevant dosing of 0.8 mg/kg given subcutaneously (SC) twice weekly after 1.6 mg/kg loading dose. Data revealed a significant ability of BMX-001 to suppress peripheral neuropathy and neuroinflammation. Importantly, while protecting peripheral tissue, BMX-001 suppressed the tumor growth of CAOV2 high-grade serous ovarian cancer in a mouse subcutaneous xenograft model. Previously, the strong anticancer effect was only seen when Mn porphyrins were combined with radiation, chemotherapy, and ascorbate (Asc). Our data further demonstrate that high-grade serous ovarian cancer is the first in vivo cancer thus far studied where redox-active Mn porphyrin, as a single agent, exhibits strong anticancer effect, comparable to that of PTX. The effect is presumably due to high tumor levels of BMX-001 and high oxidative stress specific to the aggressive chemoresistant CAOV2 cell line. Such a strong anticancer effect of BMX-001 would allow for lowering the dosing of PTX and reducing the neuropathy. The combined neuropathy protection and anticancer efficacy demonstrate, therefore, strong therapeutic potential of BMX-001 for gynecological cancers. Moreover, the ability of BMX-001 to suppress neuropathy may be relevant for all types of cancer where chemotherapeutics that induce neuropathy are used as a standard-of-care.

求助全文
通过发布文献求助,成功后即可免费获取论文全文。 去求助
来源期刊
CiteScore
13.20
自引率
0.00%
发文量
1274
审稿时长
3-8 weeks
期刊介绍: Oxidative Medicine and Cellular Longevity is a unique peer-reviewed, Open Access journal that publishes original research and review articles dealing with the cellular and molecular mechanisms of oxidative stress in the nervous system and related organ systems in relation to aging, immune function, vascular biology, metabolism, cellular survival and cellular longevity. Oxidative stress impacts almost all acute and chronic progressive disorders and on a cellular basis is intimately linked to aging, cardiovascular disease, cancer, immune function, metabolism and neurodegeneration. The journal fills a significant void in today’s scientific literature and serves as an international forum for the scientific community worldwide to translate pioneering “bench to bedside” research into clinical strategies.
×
引用
GB/T 7714-2015
复制
MLA
复制
APA
复制
导出至
BibTeX EndNote RefMan NoteFirst NoteExpress
×
提示
您的信息不完整,为了账户安全,请先补充。
现在去补充
×
提示
您因"违规操作"
具体请查看互助需知
我知道了
×
提示
确定
请完成安全验证×
copy
已复制链接
快去分享给好友吧!
我知道了
右上角分享
点击右上角分享
0
联系我们:info@booksci.cn Book学术提供免费学术资源搜索服务,方便国内外学者检索中英文文献。致力于提供最便捷和优质的服务体验。 Copyright © 2023 布克学术 All rights reserved.
京ICP备2023020795号-1
ghs 京公网安备 11010802042870号
Book学术文献互助
Book学术文献互助群
群 号:604180095
Book学术官方微信