屈光成分对圆锥角膜像差的贡献和补偿作用。

IF 4.7 2区 医学 Q1 OPHTHALMOLOGY
Satish K Gupta, Andrew Carkeet, Scott A Read, Stephen J Vincent, David A Atchison
{"title":"屈光成分对圆锥角膜像差的贡献和补偿作用。","authors":"Satish K Gupta, Andrew Carkeet, Scott A Read, Stephen J Vincent, David A Atchison","doi":"10.1167/iovs.66.11.64","DOIUrl":null,"url":null,"abstract":"<p><strong>Purpose: </strong>The purpose of this study was to determine the (i) contributions of refracting components to ocular aberrations and (ii) compensation effects exhibited by these components in keratoconus.</p><p><strong>Methods: </strong>Right eyes of 14 keratoconus and 20 control participants were analyzed using 5 mm pupils. Ocular aberrations were measured with a Hartmann-Shack aberrometer. Corneas were imaged with a Scheimpflug tomographer. Three-dimensional models of the total cornea and anterior cornea were created. Raytracing included correct object-image conjugates and corneal decentration relative to the aberrometer pupillary center to determine the total corneal and anterior corneal aberrations. Posterior corneal and lenticular aberrations were computed. Compensation effects (%) were calculated: 100 (anterior corneal-total corneal aberration)/anterior corneal aberration, and 100 (total corneal-ocular aberration)/total corneal aberration.</p><p><strong>Results: </strong>Considering coefficients for the total cornea with absolute values >0.05 µm, for both corneal surfaces, keratoconus had higher magnitudes than controls for C(2,-2), C(3,-3), C(3,-1), C(4,-2), total root mean square (RMS), higher-order RMS (HORMS), and J45. Both surfaces' RMS aberrations were approximately 2 to 5 times higher in keratoconus than in controls. Anterior corneal RMS aberrations were approximately 5 times (keratoconus) and approximately 3 to 4 times (controls) higher than those of the posterior cornea. Posterior corneal compensations for anterior corneal aberrations were higher in keratoconus than in controls for C(3,-3) (21%, decompensation of -14%), C(3,-1) (21%, -33%), C(4,-2) (27%, -10%), C(4,+2) (22%, 10%), HORMS (20%, 2%), and J0 (68%, 66%), as were lenticular compensations for total corneal aberrations for C(2,-2) (40%, -64%), C(2,+2) (70%, 60%), total RMS (21%, 20%), and J0 (642%, -55%).</p><p><strong>Conclusions: </strong>Keratoconic eyes exhibited higher anterior and posterior corneal aberrations than control eyes. The posterior cornea and lens compensated partly for the anterior cornea and total cornea, respectively, with greater percentage compensations in keratoconus.</p>","PeriodicalId":14620,"journal":{"name":"Investigative ophthalmology & visual science","volume":"66 11","pages":"64"},"PeriodicalIF":4.7000,"publicationDate":"2025-08-01","publicationTypes":"Journal Article","fieldsOfStudy":null,"isOpenAccess":false,"openAccessPdf":"https://www.ncbi.nlm.nih.gov/pmc/articles/PMC12393118/pdf/","citationCount":"0","resultStr":"{\"title\":\"Contribution and Compensation Effects of Refracting Components to Ocular Aberrations in Keratoconus.\",\"authors\":\"Satish K Gupta, Andrew Carkeet, Scott A Read, Stephen J Vincent, David A Atchison\",\"doi\":\"10.1167/iovs.66.11.64\",\"DOIUrl\":null,\"url\":null,\"abstract\":\"<p><strong>Purpose: </strong>The purpose of this study was to determine the (i) contributions of refracting components to ocular aberrations and (ii) compensation effects exhibited by these components in keratoconus.</p><p><strong>Methods: </strong>Right eyes of 14 keratoconus and 20 control participants were analyzed using 5 mm pupils. Ocular aberrations were measured with a Hartmann-Shack aberrometer. Corneas were imaged with a Scheimpflug tomographer. Three-dimensional models of the total cornea and anterior cornea were created. Raytracing included correct object-image conjugates and corneal decentration relative to the aberrometer pupillary center to determine the total corneal and anterior corneal aberrations. Posterior corneal and lenticular aberrations were computed. Compensation effects (%) were calculated: 100 (anterior corneal-total corneal aberration)/anterior corneal aberration, and 100 (total corneal-ocular aberration)/total corneal aberration.</p><p><strong>Results: </strong>Considering coefficients for the total cornea with absolute values >0.05 µm, for both corneal surfaces, keratoconus had higher magnitudes than controls for C(2,-2), C(3,-3), C(3,-1), C(4,-2), total root mean square (RMS), higher-order RMS (HORMS), and J45. Both surfaces' RMS aberrations were approximately 2 to 5 times higher in keratoconus than in controls. Anterior corneal RMS aberrations were approximately 5 times (keratoconus) and approximately 3 to 4 times (controls) higher than those of the posterior cornea. Posterior corneal compensations for anterior corneal aberrations were higher in keratoconus than in controls for C(3,-3) (21%, decompensation of -14%), C(3,-1) (21%, -33%), C(4,-2) (27%, -10%), C(4,+2) (22%, 10%), HORMS (20%, 2%), and J0 (68%, 66%), as were lenticular compensations for total corneal aberrations for C(2,-2) (40%, -64%), C(2,+2) (70%, 60%), total RMS (21%, 20%), and J0 (642%, -55%).</p><p><strong>Conclusions: </strong>Keratoconic eyes exhibited higher anterior and posterior corneal aberrations than control eyes. The posterior cornea and lens compensated partly for the anterior cornea and total cornea, respectively, with greater percentage compensations in keratoconus.</p>\",\"PeriodicalId\":14620,\"journal\":{\"name\":\"Investigative ophthalmology & visual science\",\"volume\":\"66 11\",\"pages\":\"64\"},\"PeriodicalIF\":4.7000,\"publicationDate\":\"2025-08-01\",\"publicationTypes\":\"Journal Article\",\"fieldsOfStudy\":null,\"isOpenAccess\":false,\"openAccessPdf\":\"https://www.ncbi.nlm.nih.gov/pmc/articles/PMC12393118/pdf/\",\"citationCount\":\"0\",\"resultStr\":null,\"platform\":\"Semanticscholar\",\"paperid\":null,\"PeriodicalName\":\"Investigative ophthalmology & visual science\",\"FirstCategoryId\":\"3\",\"ListUrlMain\":\"https://doi.org/10.1167/iovs.66.11.64\",\"RegionNum\":2,\"RegionCategory\":\"医学\",\"ArticlePicture\":[],\"TitleCN\":null,\"AbstractTextCN\":null,\"PMCID\":null,\"EPubDate\":\"\",\"PubModel\":\"\",\"JCR\":\"Q1\",\"JCRName\":\"OPHTHALMOLOGY\",\"Score\":null,\"Total\":0}","platform":"Semanticscholar","paperid":null,"PeriodicalName":"Investigative ophthalmology & visual science","FirstCategoryId":"3","ListUrlMain":"https://doi.org/10.1167/iovs.66.11.64","RegionNum":2,"RegionCategory":"医学","ArticlePicture":[],"TitleCN":null,"AbstractTextCN":null,"PMCID":null,"EPubDate":"","PubModel":"","JCR":"Q1","JCRName":"OPHTHALMOLOGY","Score":null,"Total":0}
引用次数: 0

摘要

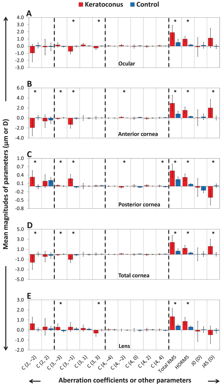
目的:本研究的目的是确定(i)折射成分对眼像差的贡献和(ii)这些成分在圆锥角膜中表现出的补偿作用。方法:对14例圆锥角膜右眼和20例对照组的5 mm瞳孔进行分析。用哈特曼-夏克像差仪测量眼像差。角膜成像由Scheimpflug断层扫描仪。建立全角膜和前角膜的三维模型。光线追踪包括正确的物像共轭和相对于像差计瞳孔中心的角膜离差,以确定角膜总像差和角膜前像差。计算后角膜和晶状体像差。计算补偿效应(%):100(前角膜-总角膜像差)/前角膜像差,100(总角膜-眼像差)/总角膜像差。结果:考虑到总角膜的系数绝对值为>0.05µm,对于两个角膜表面,圆锥角膜的C(2,-2)、C(3,-3)、C(3,-1)、C(4,-2)、总均方根(RMS)、高阶RMS (HORMS)和J45的星等均高于对照组。圆锥角膜两表面的RMS像差比对照组高约2 ~ 5倍。前角膜RMS像差比后角膜高约5倍(圆锥角膜),约3 ~ 4倍(对照组)。圆锥角膜对前角膜像差的后角膜代偿高于对照组,C(3,-3)(21%,失代偿-14%)、C(3,-1)(21%, -33%)、C(4,-2)(27%, -10%)、C(4,+2)(22%, 10%)、HORMS(20%, 2%)和J0 (68%, 66%), C(2,-2)(40%, -64%)、C(2,+2)(70%, 60%)、总RMS(21%, 20%)和J0(642%, -55%)的晶状体代偿也高于对照组。结论:角膜锥形眼的前、后角膜像差均高于对照眼。后角膜和晶状体分别部分代偿了前角膜和全角膜,圆锥角膜代偿率更高。
本文章由计算机程序翻译,如有差异,请以英文原文为准。

Contribution and Compensation Effects of Refracting Components to Ocular Aberrations in Keratoconus.

Contribution and Compensation Effects of Refracting Components to Ocular Aberrations in Keratoconus.

Contribution and Compensation Effects of Refracting Components to Ocular Aberrations in Keratoconus.

Contribution and Compensation Effects of Refracting Components to Ocular Aberrations in Keratoconus.

Purpose: The purpose of this study was to determine the (i) contributions of refracting components to ocular aberrations and (ii) compensation effects exhibited by these components in keratoconus.

Methods: Right eyes of 14 keratoconus and 20 control participants were analyzed using 5 mm pupils. Ocular aberrations were measured with a Hartmann-Shack aberrometer. Corneas were imaged with a Scheimpflug tomographer. Three-dimensional models of the total cornea and anterior cornea were created. Raytracing included correct object-image conjugates and corneal decentration relative to the aberrometer pupillary center to determine the total corneal and anterior corneal aberrations. Posterior corneal and lenticular aberrations were computed. Compensation effects (%) were calculated: 100 (anterior corneal-total corneal aberration)/anterior corneal aberration, and 100 (total corneal-ocular aberration)/total corneal aberration.

Results: Considering coefficients for the total cornea with absolute values >0.05 µm, for both corneal surfaces, keratoconus had higher magnitudes than controls for C(2,-2), C(3,-3), C(3,-1), C(4,-2), total root mean square (RMS), higher-order RMS (HORMS), and J45. Both surfaces' RMS aberrations were approximately 2 to 5 times higher in keratoconus than in controls. Anterior corneal RMS aberrations were approximately 5 times (keratoconus) and approximately 3 to 4 times (controls) higher than those of the posterior cornea. Posterior corneal compensations for anterior corneal aberrations were higher in keratoconus than in controls for C(3,-3) (21%, decompensation of -14%), C(3,-1) (21%, -33%), C(4,-2) (27%, -10%), C(4,+2) (22%, 10%), HORMS (20%, 2%), and J0 (68%, 66%), as were lenticular compensations for total corneal aberrations for C(2,-2) (40%, -64%), C(2,+2) (70%, 60%), total RMS (21%, 20%), and J0 (642%, -55%).

Conclusions: Keratoconic eyes exhibited higher anterior and posterior corneal aberrations than control eyes. The posterior cornea and lens compensated partly for the anterior cornea and total cornea, respectively, with greater percentage compensations in keratoconus.

求助全文
通过发布文献求助,成功后即可免费获取论文全文。 去求助
来源期刊
CiteScore
6.90
自引率
4.50%
发文量
339
审稿时长
1 months
期刊介绍: Investigative Ophthalmology & Visual Science (IOVS), published as ready online, is a peer-reviewed academic journal of the Association for Research in Vision and Ophthalmology (ARVO). IOVS features original research, mostly pertaining to clinical and laboratory ophthalmology and vision research in general.
×
引用
GB/T 7714-2015
复制
MLA
复制
APA
复制
导出至
BibTeX EndNote RefMan NoteFirst NoteExpress
×
提示
您的信息不完整,为了账户安全,请先补充。
现在去补充
×
提示
您因"违规操作"
具体请查看互助需知
我知道了
×
提示
确定
请完成安全验证×
copy
已复制链接
快去分享给好友吧!
我知道了
右上角分享
点击右上角分享
0
联系我们:info@booksci.cn Book学术提供免费学术资源搜索服务,方便国内外学者检索中英文文献。致力于提供最便捷和优质的服务体验。 Copyright © 2023 布克学术 All rights reserved.
京ICP备2023020795号-1
ghs 京公网安备 11010802042870号
Book学术文献互助
Book学术文献互助群
群 号:604180095
Book学术官方微信