不同激发剂处理对葡萄球菌冷胁迫的影响。“维多利亚”

IF 2.2 4区 生物学 Q2 PLANT SCIENCES
Selda Daler, Adem Yağcı, Rüstem Cangi
{"title":"不同激发剂处理对葡萄球菌冷胁迫的影响。“维多利亚”","authors":"Selda Daler,&nbsp;Adem Yağcı,&nbsp;Rüstem Cangi","doi":"10.1007/s11738-025-03821-5","DOIUrl":null,"url":null,"abstract":"<div><p>In the study carried out as a two-year greenhouse experiment, the effects of salicylic acid (SA; 0.5, 1.0 and 2.5 mM), methyl jasmonate (MJ; 5, 10 and 15 mM) and sodium nitroprusside (SNP; 0.5, 1.0 and 1.5 mM) treatments at different concentrations against cold stress (4 °C, 16 h) in Victoria variety grapevine saplings were investigated, and the most effective concentration ranges were investigated. 1.0 mM SA was found to be the most effective treatment to promote cold stress resistance of grapevines by increasing superoxide dismutase (114.23 U mg<sup>−1</sup> protein), catalase (1.024 U mg<sup>−1</sup> protein) and ascorbate peroxidase (20.43 U mg<sup>−1</sup> protein) enzyme activities while decreasing electrolyte leakage (14.44%) and lipid peroxidation (6.07 nmol g<sup>−1</sup>) levels. Moreover, 10 mM MJ and 1.0 mM SNP treatments also contributed to the improvement of the osmotic adjustment capacity of grapevines by increasing proline content (MJ, 0.185 μmol g<sup>−1</sup>; SNP, 0.435 μmol g<sup>−1</sup>) and relative water content (MJ, 90.06%; SNP, 89.78%), and decreasing electrolyte leakage (MJ, 14.71%; SNP, 16.06%) and lipid peroxidation (MJ, 4.10 nmol g<sup>−1</sup>; SNP, 5.96 nmol g<sup>−1</sup>). Additionally, principal component analysis, heatmap and comprehensive evaluation based on the analytic hierarchy process indicated that 1.0 mM SA, 10 mM MJ and 1.0 mM SNP treatments performed better than other treatments in terms of both increasing plant resistance and reducing the severity of damage. This study contains important information that can provide a reference for researchers to enhance the adaptation ability of grapevines to cold stress and can enhance the success of future studies.</p></div>","PeriodicalId":6973,"journal":{"name":"Acta Physiologiae Plantarum","volume":"47 8","pages":""},"PeriodicalIF":2.2000,"publicationDate":"2025-08-23","publicationTypes":"Journal Article","fieldsOfStudy":null,"isOpenAccess":false,"openAccessPdf":"","citationCount":"0","resultStr":"{\"title\":\"The effect of different elicitor treatments on cold stress in V. Vinifera L. cv. 'Victoria'\",\"authors\":\"Selda Daler,&nbsp;Adem Yağcı,&nbsp;Rüstem Cangi\",\"doi\":\"10.1007/s11738-025-03821-5\",\"DOIUrl\":null,\"url\":null,\"abstract\":\"<div><p>In the study carried out as a two-year greenhouse experiment, the effects of salicylic acid (SA; 0.5, 1.0 and 2.5 mM), methyl jasmonate (MJ; 5, 10 and 15 mM) and sodium nitroprusside (SNP; 0.5, 1.0 and 1.5 mM) treatments at different concentrations against cold stress (4 °C, 16 h) in Victoria variety grapevine saplings were investigated, and the most effective concentration ranges were investigated. 1.0 mM SA was found to be the most effective treatment to promote cold stress resistance of grapevines by increasing superoxide dismutase (114.23 U mg<sup>−1</sup> protein), catalase (1.024 U mg<sup>−1</sup> protein) and ascorbate peroxidase (20.43 U mg<sup>−1</sup> protein) enzyme activities while decreasing electrolyte leakage (14.44%) and lipid peroxidation (6.07 nmol g<sup>−1</sup>) levels. Moreover, 10 mM MJ and 1.0 mM SNP treatments also contributed to the improvement of the osmotic adjustment capacity of grapevines by increasing proline content (MJ, 0.185 μmol g<sup>−1</sup>; SNP, 0.435 μmol g<sup>−1</sup>) and relative water content (MJ, 90.06%; SNP, 89.78%), and decreasing electrolyte leakage (MJ, 14.71%; SNP, 16.06%) and lipid peroxidation (MJ, 4.10 nmol g<sup>−1</sup>; SNP, 5.96 nmol g<sup>−1</sup>). Additionally, principal component analysis, heatmap and comprehensive evaluation based on the analytic hierarchy process indicated that 1.0 mM SA, 10 mM MJ and 1.0 mM SNP treatments performed better than other treatments in terms of both increasing plant resistance and reducing the severity of damage. This study contains important information that can provide a reference for researchers to enhance the adaptation ability of grapevines to cold stress and can enhance the success of future studies.</p></div>\",\"PeriodicalId\":6973,\"journal\":{\"name\":\"Acta Physiologiae Plantarum\",\"volume\":\"47 8\",\"pages\":\"\"},\"PeriodicalIF\":2.2000,\"publicationDate\":\"2025-08-23\",\"publicationTypes\":\"Journal Article\",\"fieldsOfStudy\":null,\"isOpenAccess\":false,\"openAccessPdf\":\"\",\"citationCount\":\"0\",\"resultStr\":null,\"platform\":\"Semanticscholar\",\"paperid\":null,\"PeriodicalName\":\"Acta Physiologiae Plantarum\",\"FirstCategoryId\":\"99\",\"ListUrlMain\":\"https://link.springer.com/article/10.1007/s11738-025-03821-5\",\"RegionNum\":4,\"RegionCategory\":\"生物学\",\"ArticlePicture\":[],\"TitleCN\":null,\"AbstractTextCN\":null,\"PMCID\":null,\"EPubDate\":\"\",\"PubModel\":\"\",\"JCR\":\"Q2\",\"JCRName\":\"PLANT SCIENCES\",\"Score\":null,\"Total\":0}","platform":"Semanticscholar","paperid":null,"PeriodicalName":"Acta Physiologiae Plantarum","FirstCategoryId":"99","ListUrlMain":"https://link.springer.com/article/10.1007/s11738-025-03821-5","RegionNum":4,"RegionCategory":"生物学","ArticlePicture":[],"TitleCN":null,"AbstractTextCN":null,"PMCID":null,"EPubDate":"","PubModel":"","JCR":"Q2","JCRName":"PLANT SCIENCES","Score":null,"Total":0}
引用次数: 0

摘要

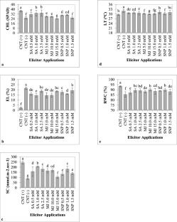
在为期两年的温室试验中,研究了不同浓度水杨酸(SA; 0.5、1.0和2.5 mM)、茉莉酸甲酯(MJ; 5、10和15 mM)和硝普钠(SNP; 0.5、1.0和1.5 mM)处理对维多利亚葡萄幼苗(4°C, 16 h)冷胁迫的影响,并探讨了最有效的处理浓度范围。结果表明,1.0 mM SA处理可提高葡萄的超氧化物歧化酶(114.23 U mg - 1)、过氧化氢酶(1.024 U mg - 1)和抗坏血酸过氧化物酶(20.43 U mg - 1)活性,降低电解质渗漏(14.44%)和脂质过氧化(6.07 nmol g - 1)水平,对葡萄抗寒性有显著促进作用。此外,10 mM MJ和1.0 mM SNP处理还能提高葡萄的脯氨酸含量(MJ, 0.185 μmol g−1,SNP, 0.435 μmol g−1)和相对含水量(MJ, 90.06%, SNP, 89.78%),降低电解质泄漏(MJ, 14.71%, SNP, 16.06%)和脂质过氧化(MJ, 4.10 nmol g−1,SNP, 5.96 nmol g−1),从而提高葡萄的渗透调节能力。主成分分析、热图分析和基于层次分析法的综合评价结果表明,1.0 mM SA、10 mM MJ和1.0 mM SNP处理在提高植株抗性和降低危害程度方面均优于其他处理。本研究包含了重要的信息,可以为研究者提高葡萄对冷胁迫的适应能力提供参考,也可以提高未来研究的成功度。
本文章由计算机程序翻译,如有差异,请以英文原文为准。

The effect of different elicitor treatments on cold stress in V. Vinifera L. cv. 'Victoria'

The effect of different elicitor treatments on cold stress in V. Vinifera L. cv. 'Victoria'

The effect of different elicitor treatments on cold stress in V. Vinifera L. cv. 'Victoria'

In the study carried out as a two-year greenhouse experiment, the effects of salicylic acid (SA; 0.5, 1.0 and 2.5 mM), methyl jasmonate (MJ; 5, 10 and 15 mM) and sodium nitroprusside (SNP; 0.5, 1.0 and 1.5 mM) treatments at different concentrations against cold stress (4 °C, 16 h) in Victoria variety grapevine saplings were investigated, and the most effective concentration ranges were investigated. 1.0 mM SA was found to be the most effective treatment to promote cold stress resistance of grapevines by increasing superoxide dismutase (114.23 U mg−1 protein), catalase (1.024 U mg−1 protein) and ascorbate peroxidase (20.43 U mg−1 protein) enzyme activities while decreasing electrolyte leakage (14.44%) and lipid peroxidation (6.07 nmol g−1) levels. Moreover, 10 mM MJ and 1.0 mM SNP treatments also contributed to the improvement of the osmotic adjustment capacity of grapevines by increasing proline content (MJ, 0.185 μmol g−1; SNP, 0.435 μmol g−1) and relative water content (MJ, 90.06%; SNP, 89.78%), and decreasing electrolyte leakage (MJ, 14.71%; SNP, 16.06%) and lipid peroxidation (MJ, 4.10 nmol g−1; SNP, 5.96 nmol g−1). Additionally, principal component analysis, heatmap and comprehensive evaluation based on the analytic hierarchy process indicated that 1.0 mM SA, 10 mM MJ and 1.0 mM SNP treatments performed better than other treatments in terms of both increasing plant resistance and reducing the severity of damage. This study contains important information that can provide a reference for researchers to enhance the adaptation ability of grapevines to cold stress and can enhance the success of future studies.

求助全文
通过发布文献求助,成功后即可免费获取论文全文。 去求助
来源期刊
Acta Physiologiae Plantarum
Acta Physiologiae Plantarum 生物-植物科学
CiteScore
5.10
自引率
3.80%
发文量
125
审稿时长
3.1 months
期刊介绍: Acta Physiologiae Plantarum is an international journal established in 1978 that publishes peer-reviewed articles on all aspects of plant physiology. The coverage ranges across this research field at various levels of biological organization, from relevant aspects in molecular and cell biology to biochemistry. The coverage is global in scope, offering articles of interest from experts around the world. The range of topics includes measuring effects of environmental pollution on crop species; analysis of genomic organization; effects of drought and climatic conditions on plants; studies of photosynthesis in ornamental plants, and more.
×
引用
GB/T 7714-2015
复制
MLA
复制
APA
复制
导出至
BibTeX EndNote RefMan NoteFirst NoteExpress
×
提示
您的信息不完整,为了账户安全,请先补充。
现在去补充
×
提示
您因"违规操作"
具体请查看互助需知
我知道了
×
提示
确定
请完成安全验证×
copy
已复制链接
快去分享给好友吧!
我知道了
右上角分享
点击右上角分享
0
联系我们:info@booksci.cn Book学术提供免费学术资源搜索服务,方便国内外学者检索中英文文献。致力于提供最便捷和优质的服务体验。 Copyright © 2023 布克学术 All rights reserved.
京ICP备2023020795号-1
ghs 京公网安备 11010802042870号
Book学术文献互助
Book学术文献互助群
群 号:604180095
Book学术官方微信