两种不同种子谷子(Digitaria exilis)的表型特征和非靶向gc - ms代谢组学分析:对小谷子耐旱性的了解

IF 2.2 4区 生物学 Q2 PLANT SCIENCES
David Adedayo Animasaun, Judith Amaka Lawrence
{"title":"两种不同种子谷子(Digitaria exilis)的表型特征和非靶向gc - ms代谢组学分析:对小谷子耐旱性的了解","authors":"David Adedayo Animasaun,&nbsp;Judith Amaka Lawrence","doi":"10.1007/s11738-025-03825-1","DOIUrl":null,"url":null,"abstract":"<div><p>Fonio millet is an orphan crop with great potential for economic and food security. However, drought negatively affects its production and yield in semi-arid and arid regions. This study compared the growth and metabolomic profiles of two contrasting fonio cultivars (NGB02089 and NGB02082) in response to water stress at the seedling stage. The results showed variation in the morph-agronomic characters of the cultivars. There were also significant (<i>p</i> &lt; 0.05) positive correlations in the traits studied, which means that the traits can be improved simultaneously. Chlorophyll content increased progressively with weeks after sowing (WAS) but decreased when seedlings were exposed to water stress. The biomass yield of NGB02082 was higher than that of NGB02089, although the latter grew more vigorously. However, NGB02089 had longer roots. The GC–MS analysis identified 12 significant metabolites that differed in composition between the fonio cultivars, including sugars, fatty acids and siloxanes. The amount of siloxane decreased in NGB02082 with increasing drought duration, but increased in NGB02089. Similarly, cis-13-octadecenoic acid was present in NGB02082 at 4 WAS but absent at 5 WAS, while NGB02089 produced more metabolites. Similarly, phthalimide, triacontane, vaccenic acids, and cholestane were produced in response to drought stress duration. The results of this study showed that NGB02089 and NGB02082 have different metabolomic responses to drought, conferring resistance to NGB02089 while NGB0282 is susceptible to drought. The result of this study suggests that metabolic responses to drought may be useful in developing varieties with better tolerance or adaptation to drought conditions.</p></div>","PeriodicalId":6973,"journal":{"name":"Acta Physiologiae Plantarum","volume":"47 8","pages":""},"PeriodicalIF":2.2000,"publicationDate":"2025-08-23","publicationTypes":"Journal Article","fieldsOfStudy":null,"isOpenAccess":false,"openAccessPdf":"https://link.springer.com/content/pdf/10.1007/s11738-025-03825-1.pdf","citationCount":"0","resultStr":"{\"title\":\"Phenotypic characterization and comparative non-targeted GC–MS-based metabolomic profiling of two contrasting seedling fonio millet (Digitaria exilis) cultivars: an insight to drought tolerance in small millets\",\"authors\":\"David Adedayo Animasaun,&nbsp;Judith Amaka Lawrence\",\"doi\":\"10.1007/s11738-025-03825-1\",\"DOIUrl\":null,\"url\":null,\"abstract\":\"<div><p>Fonio millet is an orphan crop with great potential for economic and food security. However, drought negatively affects its production and yield in semi-arid and arid regions. This study compared the growth and metabolomic profiles of two contrasting fonio cultivars (NGB02089 and NGB02082) in response to water stress at the seedling stage. The results showed variation in the morph-agronomic characters of the cultivars. There were also significant (<i>p</i> &lt; 0.05) positive correlations in the traits studied, which means that the traits can be improved simultaneously. Chlorophyll content increased progressively with weeks after sowing (WAS) but decreased when seedlings were exposed to water stress. The biomass yield of NGB02082 was higher than that of NGB02089, although the latter grew more vigorously. However, NGB02089 had longer roots. The GC–MS analysis identified 12 significant metabolites that differed in composition between the fonio cultivars, including sugars, fatty acids and siloxanes. The amount of siloxane decreased in NGB02082 with increasing drought duration, but increased in NGB02089. Similarly, cis-13-octadecenoic acid was present in NGB02082 at 4 WAS but absent at 5 WAS, while NGB02089 produced more metabolites. Similarly, phthalimide, triacontane, vaccenic acids, and cholestane were produced in response to drought stress duration. The results of this study showed that NGB02089 and NGB02082 have different metabolomic responses to drought, conferring resistance to NGB02089 while NGB0282 is susceptible to drought. The result of this study suggests that metabolic responses to drought may be useful in developing varieties with better tolerance or adaptation to drought conditions.</p></div>\",\"PeriodicalId\":6973,\"journal\":{\"name\":\"Acta Physiologiae Plantarum\",\"volume\":\"47 8\",\"pages\":\"\"},\"PeriodicalIF\":2.2000,\"publicationDate\":\"2025-08-23\",\"publicationTypes\":\"Journal Article\",\"fieldsOfStudy\":null,\"isOpenAccess\":false,\"openAccessPdf\":\"https://link.springer.com/content/pdf/10.1007/s11738-025-03825-1.pdf\",\"citationCount\":\"0\",\"resultStr\":null,\"platform\":\"Semanticscholar\",\"paperid\":null,\"PeriodicalName\":\"Acta Physiologiae Plantarum\",\"FirstCategoryId\":\"99\",\"ListUrlMain\":\"https://link.springer.com/article/10.1007/s11738-025-03825-1\",\"RegionNum\":4,\"RegionCategory\":\"生物学\",\"ArticlePicture\":[],\"TitleCN\":null,\"AbstractTextCN\":null,\"PMCID\":null,\"EPubDate\":\"\",\"PubModel\":\"\",\"JCR\":\"Q2\",\"JCRName\":\"PLANT SCIENCES\",\"Score\":null,\"Total\":0}","platform":"Semanticscholar","paperid":null,"PeriodicalName":"Acta Physiologiae Plantarum","FirstCategoryId":"99","ListUrlMain":"https://link.springer.com/article/10.1007/s11738-025-03825-1","RegionNum":4,"RegionCategory":"生物学","ArticlePicture":[],"TitleCN":null,"AbstractTextCN":null,"PMCID":null,"EPubDate":"","PubModel":"","JCR":"Q2","JCRName":"PLANT SCIENCES","Score":null,"Total":0}
引用次数: 0

摘要

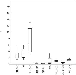
谷子是一种孤儿作物,在经济和粮食安全方面具有巨大潜力。但在半干旱和干旱地区,干旱对其生产和产量产生不利影响。本研究比较了两个玉米品种NGB02089和NGB02082幼苗期生长和代谢组学对水分胁迫的响应。结果表明,品种间形态农艺性状存在差异。各性状间也存在显著正相关(p < 0.05),说明各性状可以同步改良。叶绿素含量随播后数周逐渐增加,但在水分胁迫下降低。NGB02082的生物量产量高于NGB02089,但后者生长更为旺盛。然而,NGB02089有更长的根源。GC-MS分析鉴定出12种显著代谢物,包括糖、脂肪酸和硅氧烷。随着干旱持续时间的增加,NGB02082的硅氧烷含量减少,而NGB02089的硅氧烷含量增加。同样,NGB02082在4 was时存在顺式-13-十八烯酸,而在5 was时不存在,而NGB02089产生更多的代谢物。同样,邻苯二胺、三康烷、异丙酸和胆甾在干旱胁迫持续时间下产生。结果表明,NGB02089和NGB02082对干旱具有不同的代谢组学响应,对NGB02089具有抗性,而NGB0282对干旱具有敏感性。本研究结果表明,对干旱的代谢反应可能有助于培育耐旱或适应干旱条件的品种。
本文章由计算机程序翻译,如有差异,请以英文原文为准。

Phenotypic characterization and comparative non-targeted GC–MS-based metabolomic profiling of two contrasting seedling fonio millet (Digitaria exilis) cultivars: an insight to drought tolerance in small millets

Phenotypic characterization and comparative non-targeted GC–MS-based metabolomic profiling of two contrasting seedling fonio millet (Digitaria exilis) cultivars: an insight to drought tolerance in small millets

Fonio millet is an orphan crop with great potential for economic and food security. However, drought negatively affects its production and yield in semi-arid and arid regions. This study compared the growth and metabolomic profiles of two contrasting fonio cultivars (NGB02089 and NGB02082) in response to water stress at the seedling stage. The results showed variation in the morph-agronomic characters of the cultivars. There were also significant (p < 0.05) positive correlations in the traits studied, which means that the traits can be improved simultaneously. Chlorophyll content increased progressively with weeks after sowing (WAS) but decreased when seedlings were exposed to water stress. The biomass yield of NGB02082 was higher than that of NGB02089, although the latter grew more vigorously. However, NGB02089 had longer roots. The GC–MS analysis identified 12 significant metabolites that differed in composition between the fonio cultivars, including sugars, fatty acids and siloxanes. The amount of siloxane decreased in NGB02082 with increasing drought duration, but increased in NGB02089. Similarly, cis-13-octadecenoic acid was present in NGB02082 at 4 WAS but absent at 5 WAS, while NGB02089 produced more metabolites. Similarly, phthalimide, triacontane, vaccenic acids, and cholestane were produced in response to drought stress duration. The results of this study showed that NGB02089 and NGB02082 have different metabolomic responses to drought, conferring resistance to NGB02089 while NGB0282 is susceptible to drought. The result of this study suggests that metabolic responses to drought may be useful in developing varieties with better tolerance or adaptation to drought conditions.

求助全文
通过发布文献求助,成功后即可免费获取论文全文。 去求助
来源期刊
Acta Physiologiae Plantarum
Acta Physiologiae Plantarum 生物-植物科学
CiteScore
5.10
自引率
3.80%
发文量
125
审稿时长
3.1 months
期刊介绍: Acta Physiologiae Plantarum is an international journal established in 1978 that publishes peer-reviewed articles on all aspects of plant physiology. The coverage ranges across this research field at various levels of biological organization, from relevant aspects in molecular and cell biology to biochemistry. The coverage is global in scope, offering articles of interest from experts around the world. The range of topics includes measuring effects of environmental pollution on crop species; analysis of genomic organization; effects of drought and climatic conditions on plants; studies of photosynthesis in ornamental plants, and more.
×
引用
GB/T 7714-2015
复制
MLA
复制
APA
复制
导出至
BibTeX EndNote RefMan NoteFirst NoteExpress
×
提示
您的信息不完整,为了账户安全,请先补充。
现在去补充
×
提示
您因"违规操作"
具体请查看互助需知
我知道了
×
提示
确定
请完成安全验证×
copy
已复制链接
快去分享给好友吧!
我知道了
右上角分享
点击右上角分享
0
联系我们:info@booksci.cn Book学术提供免费学术资源搜索服务,方便国内外学者检索中英文文献。致力于提供最便捷和优质的服务体验。 Copyright © 2023 布克学术 All rights reserved.
京ICP备2023020795号-1
ghs 京公网安备 11010802042870号
Book学术文献互助
Book学术文献互助群
群 号:604180095
Book学术官方微信