麻夹竹桃科麻夹竹桃茎皮对alcl3诱导的Wistar大鼠认知功能障碍的抗氧化和抗炎作用

2区 生物学 Q1 Biochemistry, Genetics and Molecular Biology
Oxidative Medicine and Cellular Longevity Pub Date : 2025-08-07 eCollection Date: 2025-01-01 DOI:10.1155/omcl/5106228
Mumbi Laurantine Ngenteh, Kada Antoine Sanda, Tangu Patience Neng, Bih Belta Lilian Fubi, Ndifor Rose Nchang, Kiafon Betrand Nsah, Oumar Mahamat
{"title":"麻夹竹桃科麻夹竹桃茎皮对alcl3诱导的Wistar大鼠认知功能障碍的抗氧化和抗炎作用","authors":"Mumbi Laurantine Ngenteh, Kada Antoine Sanda, Tangu Patience Neng, Bih Belta Lilian Fubi, Ndifor Rose Nchang, Kiafon Betrand Nsah, Oumar Mahamat","doi":"10.1155/omcl/5106228","DOIUrl":null,"url":null,"abstract":"<p><p>The present study aimed to evaluate the protective effects of aqueous and ethanol extracts of <i>Tabernaemontana stapfiana</i> (<i>T. stapfiana</i>) on cognitive disability induced by aluminum chloride (AlCl<sub>3</sub>) in Wistar rats. Forty-five Wistar rats were distributed in different groups of five animals each. Test groups were daily given AlCl<sub>3</sub> (100 mg/kg) following by the doses of the extracts for 21 days. At the end of treatment period, rats were sacrificed and the brain homogenate and serum were prepared and used to evaluate oxidative stress in brain and serum cytokines using colorimetric tests and ELISA, respectively. The findings of this study showed that reduced brain, body weight, and antioxidant enzymes (reduced glutathione [GSH], catalase [CAT], and superoxide dismutase [SOD]), while it increases oxidant biomarkers (malondiadehyde (MDA), nitric oxide (NO) and inflammatory cytokines (IL-10, TNF-α, IL-1β, and IL-6). Therefore, the administration of aqueous or ethanol extracts of <i>T. stapfiana</i> stem bark significantly (<i>p</i>  < 0.001) reduced the IL-10, TNF-α, IL-1β, and IL-6 levels in AlCl<sub>3</sub>-treated rats compared to non treated rats. Moreover, the extracts significantly (<i>p</i>  < 0.001) changed the oxidant-antioxidant balance by reducing the MDA and NO levels, while increasing SOD and GSH concentrations caused and NO in AlCl<sub>3</sub>-treated rats as compared to nontreated rats. Conclusively, aqueous or ethanol extracts of <i>T. stapfiana</i> stem bark prevented the oxidative stress and inflammation in brain, which made the brain to be not change after administration of the causative agent of cognitive impairment (CI), AlCl<sub>3</sub>.</p>","PeriodicalId":19657,"journal":{"name":"Oxidative Medicine and Cellular Longevity","volume":"2025 ","pages":"5106228"},"PeriodicalIF":0.0000,"publicationDate":"2025-08-07","publicationTypes":"Journal Article","fieldsOfStudy":null,"isOpenAccess":false,"openAccessPdf":"https://www.ncbi.nlm.nih.gov/pmc/articles/PMC12352983/pdf/","citationCount":"0","resultStr":"{\"title\":\"<i>Tabernaemontana stapfiana</i> Britten (Apocynaceae) Stem Bark Prevents Alcl<sub>3</sub>-Induced Cognitive Disability: Antioxidant and Anti-Inflammatory Activities in Wistar Rats.\",\"authors\":\"Mumbi Laurantine Ngenteh, Kada Antoine Sanda, Tangu Patience Neng, Bih Belta Lilian Fubi, Ndifor Rose Nchang, Kiafon Betrand Nsah, Oumar Mahamat\",\"doi\":\"10.1155/omcl/5106228\",\"DOIUrl\":null,\"url\":null,\"abstract\":\"<p><p>The present study aimed to evaluate the protective effects of aqueous and ethanol extracts of <i>Tabernaemontana stapfiana</i> (<i>T. stapfiana</i>) on cognitive disability induced by aluminum chloride (AlCl<sub>3</sub>) in Wistar rats. Forty-five Wistar rats were distributed in different groups of five animals each. Test groups were daily given AlCl<sub>3</sub> (100 mg/kg) following by the doses of the extracts for 21 days. At the end of treatment period, rats were sacrificed and the brain homogenate and serum were prepared and used to evaluate oxidative stress in brain and serum cytokines using colorimetric tests and ELISA, respectively. The findings of this study showed that reduced brain, body weight, and antioxidant enzymes (reduced glutathione [GSH], catalase [CAT], and superoxide dismutase [SOD]), while it increases oxidant biomarkers (malondiadehyde (MDA), nitric oxide (NO) and inflammatory cytokines (IL-10, TNF-α, IL-1β, and IL-6). Therefore, the administration of aqueous or ethanol extracts of <i>T. stapfiana</i> stem bark significantly (<i>p</i>  < 0.001) reduced the IL-10, TNF-α, IL-1β, and IL-6 levels in AlCl<sub>3</sub>-treated rats compared to non treated rats. Moreover, the extracts significantly (<i>p</i>  < 0.001) changed the oxidant-antioxidant balance by reducing the MDA and NO levels, while increasing SOD and GSH concentrations caused and NO in AlCl<sub>3</sub>-treated rats as compared to nontreated rats. Conclusively, aqueous or ethanol extracts of <i>T. stapfiana</i> stem bark prevented the oxidative stress and inflammation in brain, which made the brain to be not change after administration of the causative agent of cognitive impairment (CI), AlCl<sub>3</sub>.</p>\",\"PeriodicalId\":19657,\"journal\":{\"name\":\"Oxidative Medicine and Cellular Longevity\",\"volume\":\"2025 \",\"pages\":\"5106228\"},\"PeriodicalIF\":0.0000,\"publicationDate\":\"2025-08-07\",\"publicationTypes\":\"Journal Article\",\"fieldsOfStudy\":null,\"isOpenAccess\":false,\"openAccessPdf\":\"https://www.ncbi.nlm.nih.gov/pmc/articles/PMC12352983/pdf/\",\"citationCount\":\"0\",\"resultStr\":null,\"platform\":\"Semanticscholar\",\"paperid\":null,\"PeriodicalName\":\"Oxidative Medicine and Cellular Longevity\",\"FirstCategoryId\":\"99\",\"ListUrlMain\":\"https://doi.org/10.1155/omcl/5106228\",\"RegionNum\":2,\"RegionCategory\":\"生物学\",\"ArticlePicture\":[],\"TitleCN\":null,\"AbstractTextCN\":null,\"PMCID\":null,\"EPubDate\":\"2025/1/1 0:00:00\",\"PubModel\":\"eCollection\",\"JCR\":\"Q1\",\"JCRName\":\"Biochemistry, Genetics and Molecular Biology\",\"Score\":null,\"Total\":0}","platform":"Semanticscholar","paperid":null,"PeriodicalName":"Oxidative Medicine and Cellular Longevity","FirstCategoryId":"99","ListUrlMain":"https://doi.org/10.1155/omcl/5106228","RegionNum":2,"RegionCategory":"生物学","ArticlePicture":[],"TitleCN":null,"AbstractTextCN":null,"PMCID":null,"EPubDate":"2025/1/1 0:00:00","PubModel":"eCollection","JCR":"Q1","JCRName":"Biochemistry, Genetics and Molecular Biology","Score":null,"Total":0}
引用次数: 0

摘要

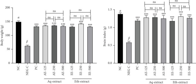
本研究旨在探讨金黄色葡萄球菌(T. stapfiana)水提物和乙醇提物对氯化铝(AlCl3)致Wistar大鼠认知功能障碍的保护作用。将45只Wistar大鼠分为不同组,每组5只。试验组小鼠每天给药AlCl3 (100 mg/kg),随后给药提取物21 d。在治疗期结束时,处死大鼠,制备脑匀浆和血清,分别用比色法和ELISA法测定脑氧化应激和血清细胞因子。本研究结果显示,脑、体重和抗氧化酶(还原性谷胱甘肽[GSH]、过氧化氢酶[CAT]和超氧化物歧化酶[SOD])减少,同时氧化生物标志物(丙二醛(MDA)、一氧化氮(NO)和炎症细胞因子(IL-10、TNF-α、IL-1β和IL-6)增加。因此,与未给予alcl3处理的大鼠相比,给予葡萄树茎皮水提物或乙醇提物显著(p < 0.001)降低了alcl3处理大鼠的IL-10、TNF-α、IL-1β和IL-6水平。此外,与未处理大鼠相比,alcl3提取物通过降低MDA和NO水平显著(p < 0.001)改变了氧化-抗氧化平衡,同时提高了alcl3处理大鼠的SOD和GSH浓度。综上所述,金针藤茎皮水提物和乙醇提物均能抑制脑内氧化应激和炎症反应,使脑内认知功能损伤(CI)的病原体AlCl3未发生改变。
本文章由计算机程序翻译,如有差异,请以英文原文为准。

<i>Tabernaemontana stapfiana</i> Britten (Apocynaceae) Stem Bark Prevents Alcl<sub>3</sub>-Induced Cognitive Disability: Antioxidant and Anti-Inflammatory Activities in Wistar Rats.

Tabernaemontana stapfiana Britten (Apocynaceae) Stem Bark Prevents Alcl3-Induced Cognitive Disability: Antioxidant and Anti-Inflammatory Activities in Wistar Rats.

The present study aimed to evaluate the protective effects of aqueous and ethanol extracts of Tabernaemontana stapfiana (T. stapfiana) on cognitive disability induced by aluminum chloride (AlCl3) in Wistar rats. Forty-five Wistar rats were distributed in different groups of five animals each. Test groups were daily given AlCl3 (100 mg/kg) following by the doses of the extracts for 21 days. At the end of treatment period, rats were sacrificed and the brain homogenate and serum were prepared and used to evaluate oxidative stress in brain and serum cytokines using colorimetric tests and ELISA, respectively. The findings of this study showed that reduced brain, body weight, and antioxidant enzymes (reduced glutathione [GSH], catalase [CAT], and superoxide dismutase [SOD]), while it increases oxidant biomarkers (malondiadehyde (MDA), nitric oxide (NO) and inflammatory cytokines (IL-10, TNF-α, IL-1β, and IL-6). Therefore, the administration of aqueous or ethanol extracts of T. stapfiana stem bark significantly (p  < 0.001) reduced the IL-10, TNF-α, IL-1β, and IL-6 levels in AlCl3-treated rats compared to non treated rats. Moreover, the extracts significantly (p  < 0.001) changed the oxidant-antioxidant balance by reducing the MDA and NO levels, while increasing SOD and GSH concentrations caused and NO in AlCl3-treated rats as compared to nontreated rats. Conclusively, aqueous or ethanol extracts of T. stapfiana stem bark prevented the oxidative stress and inflammation in brain, which made the brain to be not change after administration of the causative agent of cognitive impairment (CI), AlCl3.

求助全文
通过发布文献求助,成功后即可免费获取论文全文。 去求助
来源期刊
CiteScore
13.20
自引率
0.00%
发文量
1274
审稿时长
3-8 weeks
期刊介绍: Oxidative Medicine and Cellular Longevity is a unique peer-reviewed, Open Access journal that publishes original research and review articles dealing with the cellular and molecular mechanisms of oxidative stress in the nervous system and related organ systems in relation to aging, immune function, vascular biology, metabolism, cellular survival and cellular longevity. Oxidative stress impacts almost all acute and chronic progressive disorders and on a cellular basis is intimately linked to aging, cardiovascular disease, cancer, immune function, metabolism and neurodegeneration. The journal fills a significant void in today’s scientific literature and serves as an international forum for the scientific community worldwide to translate pioneering “bench to bedside” research into clinical strategies.
×
引用
GB/T 7714-2015
复制
MLA
复制
APA
复制
导出至
BibTeX EndNote RefMan NoteFirst NoteExpress
×
提示
您的信息不完整,为了账户安全,请先补充。
现在去补充
×
提示
您因"违规操作"
具体请查看互助需知
我知道了
×
提示
确定
请完成安全验证×
copy
已复制链接
快去分享给好友吧!
我知道了
右上角分享
点击右上角分享
0
联系我们:info@booksci.cn Book学术提供免费学术资源搜索服务,方便国内外学者检索中英文文献。致力于提供最便捷和优质的服务体验。 Copyright © 2023 布克学术 All rights reserved.
京ICP备2023020795号-1
ghs 京公网安备 11010802042870号
Book学术文献互助
Book学术文献互助群
群 号:604180095
Book学术官方微信