实施一个简短的培训计划,以减少戴上呼吸功能监测仪的口罩泄漏。

IF 2.3 4区 医学 Q2 PEDIATRICS
Neaha Patel, Ludovic Chassin, Burak Salgin
{"title":"实施一个简短的培训计划,以减少戴上呼吸功能监测仪的口罩泄漏。","authors":"Neaha Patel, Ludovic Chassin, Burak Salgin","doi":"10.1136/bmjpo-2025-003589","DOIUrl":null,"url":null,"abstract":"<p><p>Respiratory function monitors (RFMs) can provide real-time data including expiratory tidal volumes and interface leak during delivery room (DR) neonatal resuscitation. However, concerns have been raised within previous randomised controlled trials and systematic reviews that effectuating RFMs routinely for DR resuscitation is limited by lack of comprehensive staff training. The International Liaison Committee on Resuscitation have also recently declared a knowledge gap in terms of the training required to be competent in utilising an RFM during neonatal resuscitation. We conducted an experiment with thirteen medical students who had no prior resuscitation experience to see if visual feedback from an RFM could improve mask leak when ventilating an extremely preterm manikin. Following a brief training session with hands-on practice, 260 breaths were analysed and median mask leak improved from 6% (IQR 1-6%) during the first breath to 0% (IQR 0-1%) by the twentieth and final breath. The median expiratory tidal volume was 3.6 mL (IQR 3.4-3.8 mL) and remained stable. This manikin experiment has demonstrated that even a short and experiential training session with an RFM for participants with no prior resuscitation training can be effective in reducing mask leak.</p>","PeriodicalId":9069,"journal":{"name":"BMJ Paediatrics Open","volume":"9 1","pages":""},"PeriodicalIF":2.3000,"publicationDate":"2025-08-17","publicationTypes":"Journal Article","fieldsOfStudy":null,"isOpenAccess":false,"openAccessPdf":"https://www.ncbi.nlm.nih.gov/pmc/articles/PMC12359420/pdf/","citationCount":"0","resultStr":"{\"title\":\"Implementation of a brief training programme to reduce mask leak with a respiratory function monitor.\",\"authors\":\"Neaha Patel, Ludovic Chassin, Burak Salgin\",\"doi\":\"10.1136/bmjpo-2025-003589\",\"DOIUrl\":null,\"url\":null,\"abstract\":\"<p><p>Respiratory function monitors (RFMs) can provide real-time data including expiratory tidal volumes and interface leak during delivery room (DR) neonatal resuscitation. However, concerns have been raised within previous randomised controlled trials and systematic reviews that effectuating RFMs routinely for DR resuscitation is limited by lack of comprehensive staff training. The International Liaison Committee on Resuscitation have also recently declared a knowledge gap in terms of the training required to be competent in utilising an RFM during neonatal resuscitation. We conducted an experiment with thirteen medical students who had no prior resuscitation experience to see if visual feedback from an RFM could improve mask leak when ventilating an extremely preterm manikin. Following a brief training session with hands-on practice, 260 breaths were analysed and median mask leak improved from 6% (IQR 1-6%) during the first breath to 0% (IQR 0-1%) by the twentieth and final breath. The median expiratory tidal volume was 3.6 mL (IQR 3.4-3.8 mL) and remained stable. This manikin experiment has demonstrated that even a short and experiential training session with an RFM for participants with no prior resuscitation training can be effective in reducing mask leak.</p>\",\"PeriodicalId\":9069,\"journal\":{\"name\":\"BMJ Paediatrics Open\",\"volume\":\"9 1\",\"pages\":\"\"},\"PeriodicalIF\":2.3000,\"publicationDate\":\"2025-08-17\",\"publicationTypes\":\"Journal Article\",\"fieldsOfStudy\":null,\"isOpenAccess\":false,\"openAccessPdf\":\"https://www.ncbi.nlm.nih.gov/pmc/articles/PMC12359420/pdf/\",\"citationCount\":\"0\",\"resultStr\":null,\"platform\":\"Semanticscholar\",\"paperid\":null,\"PeriodicalName\":\"BMJ Paediatrics Open\",\"FirstCategoryId\":\"3\",\"ListUrlMain\":\"https://doi.org/10.1136/bmjpo-2025-003589\",\"RegionNum\":4,\"RegionCategory\":\"医学\",\"ArticlePicture\":[],\"TitleCN\":null,\"AbstractTextCN\":null,\"PMCID\":null,\"EPubDate\":\"\",\"PubModel\":\"\",\"JCR\":\"Q2\",\"JCRName\":\"PEDIATRICS\",\"Score\":null,\"Total\":0}","platform":"Semanticscholar","paperid":null,"PeriodicalName":"BMJ Paediatrics Open","FirstCategoryId":"3","ListUrlMain":"https://doi.org/10.1136/bmjpo-2025-003589","RegionNum":4,"RegionCategory":"医学","ArticlePicture":[],"TitleCN":null,"AbstractTextCN":null,"PMCID":null,"EPubDate":"","PubModel":"","JCR":"Q2","JCRName":"PEDIATRICS","Score":null,"Total":0}
引用次数: 0

摘要

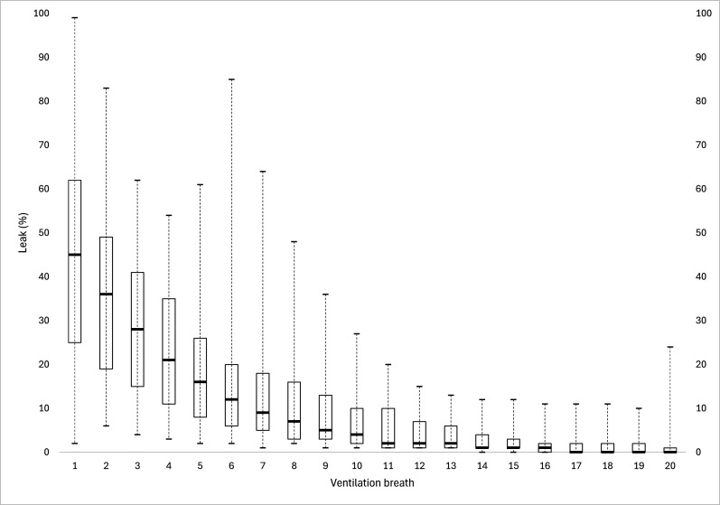
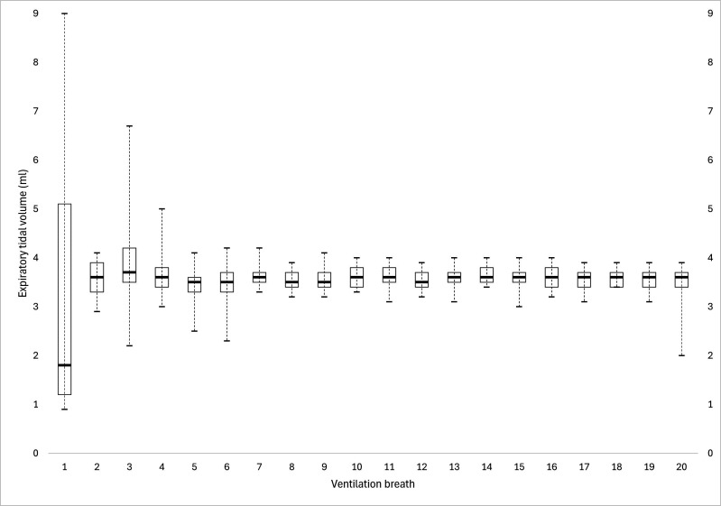
在产房(DR)新生儿复苏过程中,呼吸功能监测仪(rfm)可以提供实时数据,包括呼气潮气量和界面泄漏。然而,在之前的随机对照试验和系统评价中提出的担忧是,由于缺乏全面的人员培训,在DR复苏中常规实施RFMs受到限制。国际复苏联络委员会最近也宣布,在新生儿复苏过程中使用RFM所需的培训方面存在知识差距。我们对13名没有任何复苏经验的医学生进行了一项实验,以观察RFM的视觉反馈是否可以改善在给极度早产的人体模型通气时面罩泄漏的情况。经过简短的实践训练,分析了260次呼吸,面罩泄漏中位数从第一次呼吸时的6% (IQR 1-6%)改善到第20次和最后一次呼吸时的0% (IQR 0-1%)。呼气潮气量中位数为3.6 mL (IQR 3.4-3.8 mL),保持稳定。这个人体模型实验已经证明,即使是一个短暂的经验训练课程与RFM参与者没有事先的复苏训练可以有效地减少口罩泄漏。
本文章由计算机程序翻译,如有差异,请以英文原文为准。

Implementation of a brief training programme to reduce mask leak with a respiratory function monitor.

Implementation of a brief training programme to reduce mask leak with a respiratory function monitor.

Implementation of a brief training programme to reduce mask leak with a respiratory function monitor.

Implementation of a brief training programme to reduce mask leak with a respiratory function monitor.

Respiratory function monitors (RFMs) can provide real-time data including expiratory tidal volumes and interface leak during delivery room (DR) neonatal resuscitation. However, concerns have been raised within previous randomised controlled trials and systematic reviews that effectuating RFMs routinely for DR resuscitation is limited by lack of comprehensive staff training. The International Liaison Committee on Resuscitation have also recently declared a knowledge gap in terms of the training required to be competent in utilising an RFM during neonatal resuscitation. We conducted an experiment with thirteen medical students who had no prior resuscitation experience to see if visual feedback from an RFM could improve mask leak when ventilating an extremely preterm manikin. Following a brief training session with hands-on practice, 260 breaths were analysed and median mask leak improved from 6% (IQR 1-6%) during the first breath to 0% (IQR 0-1%) by the twentieth and final breath. The median expiratory tidal volume was 3.6 mL (IQR 3.4-3.8 mL) and remained stable. This manikin experiment has demonstrated that even a short and experiential training session with an RFM for participants with no prior resuscitation training can be effective in reducing mask leak.

求助全文
通过发布文献求助,成功后即可免费获取论文全文。 去求助
来源期刊
BMJ Paediatrics Open
BMJ Paediatrics Open Medicine-Pediatrics, Perinatology and Child Health
CiteScore
4.10
自引率
3.80%
发文量
124
×
引用
GB/T 7714-2015
复制
MLA
复制
APA
复制
导出至
BibTeX EndNote RefMan NoteFirst NoteExpress
×
提示
您的信息不完整,为了账户安全,请先补充。
现在去补充
×
提示
您因"违规操作"
具体请查看互助需知
我知道了
×
提示
确定
请完成安全验证×
copy
已复制链接
快去分享给好友吧!
我知道了
右上角分享
点击右上角分享
0
联系我们:info@booksci.cn Book学术提供免费学术资源搜索服务,方便国内外学者检索中英文文献。致力于提供最便捷和优质的服务体验。 Copyright © 2023 布克学术 All rights reserved.
京ICP备2023020795号-1
ghs 京公网安备 11010802042870号
Book学术文献互助
Book学术文献互助群
群 号:604180095
Book学术官方微信