同意或不同意?瑞典跨国夫妇的生育意向。

IF 2.6 2区 社会学 Q2 DEMOGRAPHY
Eleonora Mussino, Caroline Uggla
{"title":"同意或不同意?瑞典跨国夫妇的生育意向。","authors":"Eleonora Mussino, Caroline Uggla","doi":"10.1007/s10680-025-09742-w","DOIUrl":null,"url":null,"abstract":"<p><p>Whether couples agree on having a(nother) child is crucial for both individuals and society. While fertility research has long focused on women, recent studies emphasize the need to incorporate both partners' perspectives. However, analyses that jointly consider men's and women's fertility intentions remain scarce. This focus on women has been partly driven by homogamy-the tendency for individuals to select partners with similar traits and values. Given that couples with mixed backgrounds have higher dissolution rates, they may also be less likely to share family-related beliefs. This study examines how agreement on fertility intentions varies among mixed and homogamous couples in Sweden. Using the 2021 Swedish Generation and Gender Survey (GGS) and stratifying by respondents' gender, we find that most couples agree not to have a(nother) child, reflecting recent fertility declines. Couples where both partners are migrants exhibit the highest agreement, while mixed couples show the most disagreement and the strongest gender asymmetries in reported intentions. However, these differences are small and vary by the gender of the reporting partner. The higher disagreement among mixed couples aligns with broader research on their elevated dissolution risks. However, reverse causality is possible-value differences may be linked to other stressors, making childbearing less desirable. By highlighting the role of couple composition in fertility decision-making, our findings contribute to understanding how family formation dynamics vary across different couple types.</p>","PeriodicalId":51496,"journal":{"name":"European Journal of Population-Revue Europeenne De Demographie","volume":"41 1","pages":"20"},"PeriodicalIF":2.6000,"publicationDate":"2025-08-06","publicationTypes":"Journal Article","fieldsOfStudy":null,"isOpenAccess":false,"openAccessPdf":"https://www.ncbi.nlm.nih.gov/pmc/articles/PMC12328862/pdf/","citationCount":"0","resultStr":"{\"title\":\"Agree to Disagree? Fertility Intentions Among Mixed Couples in Sweden.\",\"authors\":\"Eleonora Mussino, Caroline Uggla\",\"doi\":\"10.1007/s10680-025-09742-w\",\"DOIUrl\":null,\"url\":null,\"abstract\":\"<p><p>Whether couples agree on having a(nother) child is crucial for both individuals and society. While fertility research has long focused on women, recent studies emphasize the need to incorporate both partners' perspectives. However, analyses that jointly consider men's and women's fertility intentions remain scarce. This focus on women has been partly driven by homogamy-the tendency for individuals to select partners with similar traits and values. Given that couples with mixed backgrounds have higher dissolution rates, they may also be less likely to share family-related beliefs. This study examines how agreement on fertility intentions varies among mixed and homogamous couples in Sweden. Using the 2021 Swedish Generation and Gender Survey (GGS) and stratifying by respondents' gender, we find that most couples agree not to have a(nother) child, reflecting recent fertility declines. Couples where both partners are migrants exhibit the highest agreement, while mixed couples show the most disagreement and the strongest gender asymmetries in reported intentions. However, these differences are small and vary by the gender of the reporting partner. The higher disagreement among mixed couples aligns with broader research on their elevated dissolution risks. However, reverse causality is possible-value differences may be linked to other stressors, making childbearing less desirable. By highlighting the role of couple composition in fertility decision-making, our findings contribute to understanding how family formation dynamics vary across different couple types.</p>\",\"PeriodicalId\":51496,\"journal\":{\"name\":\"European Journal of Population-Revue Europeenne De Demographie\",\"volume\":\"41 1\",\"pages\":\"20\"},\"PeriodicalIF\":2.6000,\"publicationDate\":\"2025-08-06\",\"publicationTypes\":\"Journal Article\",\"fieldsOfStudy\":null,\"isOpenAccess\":false,\"openAccessPdf\":\"https://www.ncbi.nlm.nih.gov/pmc/articles/PMC12328862/pdf/\",\"citationCount\":\"0\",\"resultStr\":null,\"platform\":\"Semanticscholar\",\"paperid\":null,\"PeriodicalName\":\"European Journal of Population-Revue Europeenne De Demographie\",\"FirstCategoryId\":\"90\",\"ListUrlMain\":\"https://doi.org/10.1007/s10680-025-09742-w\",\"RegionNum\":2,\"RegionCategory\":\"社会学\",\"ArticlePicture\":[],\"TitleCN\":null,\"AbstractTextCN\":null,\"PMCID\":null,\"EPubDate\":\"\",\"PubModel\":\"\",\"JCR\":\"Q2\",\"JCRName\":\"DEMOGRAPHY\",\"Score\":null,\"Total\":0}","platform":"Semanticscholar","paperid":null,"PeriodicalName":"European Journal of Population-Revue Europeenne De Demographie","FirstCategoryId":"90","ListUrlMain":"https://doi.org/10.1007/s10680-025-09742-w","RegionNum":2,"RegionCategory":"社会学","ArticlePicture":[],"TitleCN":null,"AbstractTextCN":null,"PMCID":null,"EPubDate":"","PubModel":"","JCR":"Q2","JCRName":"DEMOGRAPHY","Score":null,"Total":0}
引用次数: 0

摘要

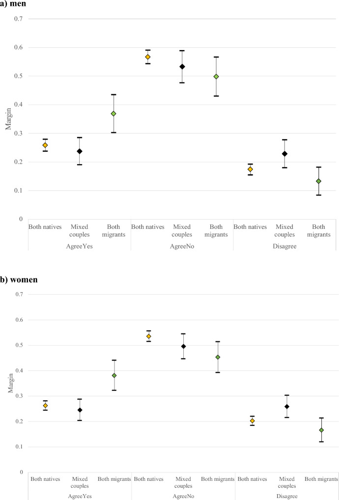
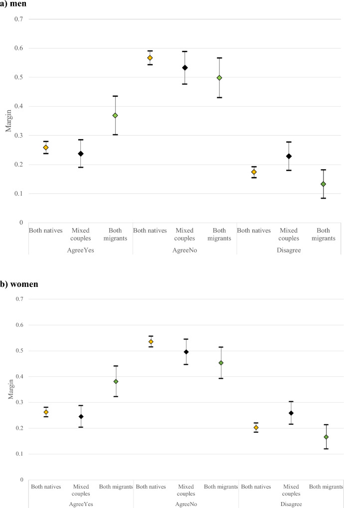
无论对个人还是对社会来说,夫妻是否同意要一个(另一个)孩子都至关重要。虽然生育研究长期以来一直关注女性,但最近的研究强调,有必要将伴侣双方的观点结合起来。然而,联合考虑男性和女性生育意愿的分析仍然很少。这种对女性的关注在一定程度上是受到同性婚姻的推动——个体倾向于选择具有相似特征和价值观的伴侣。考虑到混血夫妇的离婚率更高,他们可能也不太可能分享与家庭有关的信仰。这项研究考察了瑞典混血夫妇和同性伴侣对生育意愿的一致程度。利用2021年瑞典世代与性别调查(GGS)并按受访者的性别分层,我们发现大多数夫妇同意不生(另)孩子,这反映了最近生育率的下降。夫妻双方都是移民的夫妻表现出最高的一致性,而混血夫妇在报告的意图上表现出最不一致和最强烈的性别不对称。然而,这些差异很小,并且因报告伙伴的性别而异。跨国婚姻之间的分歧更大,这与对他们更高的离婚风险的广泛研究相一致。然而,反向因果关系是可能的——价值差异可能与其他压力因素有关,使生育变得不那么理想。通过强调夫妇组成在生育决策中的作用,我们的研究结果有助于理解不同夫妇类型的家庭形成动态如何变化。
本文章由计算机程序翻译,如有差异,请以英文原文为准。

Agree to Disagree? Fertility Intentions Among Mixed Couples in Sweden.

Agree to Disagree? Fertility Intentions Among Mixed Couples in Sweden.

Agree to Disagree? Fertility Intentions Among Mixed Couples in Sweden.

Agree to Disagree? Fertility Intentions Among Mixed Couples in Sweden.

Agree to Disagree? Fertility Intentions Among Mixed Couples in Sweden.

Agree to Disagree? Fertility Intentions Among Mixed Couples in Sweden.

Agree to Disagree? Fertility Intentions Among Mixed Couples in Sweden.

Whether couples agree on having a(nother) child is crucial for both individuals and society. While fertility research has long focused on women, recent studies emphasize the need to incorporate both partners' perspectives. However, analyses that jointly consider men's and women's fertility intentions remain scarce. This focus on women has been partly driven by homogamy-the tendency for individuals to select partners with similar traits and values. Given that couples with mixed backgrounds have higher dissolution rates, they may also be less likely to share family-related beliefs. This study examines how agreement on fertility intentions varies among mixed and homogamous couples in Sweden. Using the 2021 Swedish Generation and Gender Survey (GGS) and stratifying by respondents' gender, we find that most couples agree not to have a(nother) child, reflecting recent fertility declines. Couples where both partners are migrants exhibit the highest agreement, while mixed couples show the most disagreement and the strongest gender asymmetries in reported intentions. However, these differences are small and vary by the gender of the reporting partner. The higher disagreement among mixed couples aligns with broader research on their elevated dissolution risks. However, reverse causality is possible-value differences may be linked to other stressors, making childbearing less desirable. By highlighting the role of couple composition in fertility decision-making, our findings contribute to understanding how family formation dynamics vary across different couple types.

求助全文
通过发布文献求助,成功后即可免费获取论文全文。 去求助
来源期刊
CiteScore
4.20
自引率
8.00%
发文量
44
期刊介绍: European Journal of Population addresses a broad public of researchers, policy makers and others concerned with population processes and their consequences. Its aim is to improve understanding of population phenomena by giving priority to work that contributes to the development of theory and method, and that spans the boundaries between demography and such disciplines as sociology, anthropology, economics, geography, history, political science, epidemiology and other sciences contributing to public health. The Journal is open to authors from all over the world, and its articles cover European and non-European countries (specifically including developing countries) alike.
×
引用
GB/T 7714-2015
复制
MLA
复制
APA
复制
导出至
BibTeX EndNote RefMan NoteFirst NoteExpress
×
提示
您的信息不完整,为了账户安全,请先补充。
现在去补充
×
提示
您因"违规操作"
具体请查看互助需知
我知道了
×
提示
确定
请完成安全验证×
copy
已复制链接
快去分享给好友吧!
我知道了
右上角分享
点击右上角分享
0
联系我们:info@booksci.cn Book学术提供免费学术资源搜索服务,方便国内外学者检索中英文文献。致力于提供最便捷和优质的服务体验。 Copyright © 2023 布克学术 All rights reserved.
京ICP备2023020795号-1
ghs 京公网安备 11010802042870号
Book学术文献互助
Book学术文献互助群
群 号:604180095
Book学术官方微信