非洲杂交鲶鱼(Clarias gariepinus × Heterobranchus longifilis)幼虫油替代鱼油和植物油的试验研究

IF 3.9 2区 农林科学 Q1 FISHERIES
Robert Egessa, Anita Szűcs, László Ardó, Janka Biró, Gyöngyvér Fazekas, Éva Lengyel-Kónya, Vojislav Banjac, Strahinja Vidosavljević, Kinga Katalin Lefler, Zsuzsanna J. Sándor
{"title":"非洲杂交鲶鱼(Clarias gariepinus × Heterobranchus longifilis)幼虫油替代鱼油和植物油的试验研究","authors":"Robert Egessa,&nbsp;Anita Szűcs,&nbsp;László Ardó,&nbsp;Janka Biró,&nbsp;Gyöngyvér Fazekas,&nbsp;Éva Lengyel-Kónya,&nbsp;Vojislav Banjac,&nbsp;Strahinja Vidosavljević,&nbsp;Kinga Katalin Lefler,&nbsp;Zsuzsanna J. Sándor","doi":"10.1155/anu/4693136","DOIUrl":null,"url":null,"abstract":"<div>\n <p>Alternative sources of dietary fish oil (FO) are necessary for the growth of the aquaculture industry. This study investigated the potential benefits of black soldier fly larvae oil (BSFLO) as a feed ingredient in the diets of African catfish hybrids (<i>Clarias gariepinus</i> × <i>Heterobranchus longifilis</i>). Three isonitrogenous and isolipidic diets—a control diet (CTR) containing a FO and rapeseed oil (RO) mixture (50:50), IO50 containing BSFLO replacing 50% of FO and RO mixture and IO100 containing 100% BSFLO—were formulated. A total of 900 fish juveniles (average initial weight: 29.1 ± 1.69 g) were randomly distributed into three dietary groups, each replicated three times and reared in a recirculation aquaculture system for 7 weeks. Results showed similar fish growth between dietary groups (final body weight: CTR, 155.27 ± 4.45 g; IO50, 162.47 ± 0.19 g; IO100, 160.87 ± 3.78 g). In addition, nutrient utilisation parameters and whole-body crude protein, lipid and ash content were similar between groups. The levels of eicosapentaenoic acid (EPA) and docosahexaenoic acid (DHA) in the whole body decreased while that of arachidonic acid (ARA) increased with IO inclusion. Similar trends in ARA and EPA levels were observed in the liver, the DHA/EPA ratio being highest in fish fed IO100 diet. The hepatic expression of <i>pparα</i> (peroxisome proliferators activated receptor alpha), <i>hnf4α</i> (hepatocyte nuclear factor 4α) and <i>hadh</i> (hydroxyacyl-CoA dehydrogenase) followed quadratic trends being lowest in fish fed IO50 and highest in fish fed IO100. The <i>lpl</i> (lipoprotein lipase, LIPA) gene was significantly upregulated in fish fed IO100. The liver malondialdehyde (MDA) content was lowest in fish fed IO50. In addition, plasma myeloperoxidase (MPO) activity linearly increased with IO inclusion. These results demonstrate that potential benefits are achieved when BSFLO is supplemented in diets of African catfish hybrids, contributing to the development of sustainable alternatives to fish and vegetable oils (VOs) in aquafeeds.</p>\n </div>","PeriodicalId":8225,"journal":{"name":"Aquaculture Nutrition","volume":"2025 1","pages":""},"PeriodicalIF":3.9000,"publicationDate":"2025-07-31","publicationTypes":"Journal Article","fieldsOfStudy":null,"isOpenAccess":false,"openAccessPdf":"https://onlinelibrary.wiley.com/doi/epdf/10.1155/anu/4693136","citationCount":"0","resultStr":"{\"title\":\"Evaluation of Hermetia illucens Larvae Oil as a Dietary Substitute for Fish and Vegetable Oils in African Catfish Hybrid (Clarias gariepinus × Heterobranchus longifilis)\",\"authors\":\"Robert Egessa,&nbsp;Anita Szűcs,&nbsp;László Ardó,&nbsp;Janka Biró,&nbsp;Gyöngyvér Fazekas,&nbsp;Éva Lengyel-Kónya,&nbsp;Vojislav Banjac,&nbsp;Strahinja Vidosavljević,&nbsp;Kinga Katalin Lefler,&nbsp;Zsuzsanna J. Sándor\",\"doi\":\"10.1155/anu/4693136\",\"DOIUrl\":null,\"url\":null,\"abstract\":\"<div>\\n <p>Alternative sources of dietary fish oil (FO) are necessary for the growth of the aquaculture industry. This study investigated the potential benefits of black soldier fly larvae oil (BSFLO) as a feed ingredient in the diets of African catfish hybrids (<i>Clarias gariepinus</i> × <i>Heterobranchus longifilis</i>). Three isonitrogenous and isolipidic diets—a control diet (CTR) containing a FO and rapeseed oil (RO) mixture (50:50), IO50 containing BSFLO replacing 50% of FO and RO mixture and IO100 containing 100% BSFLO—were formulated. A total of 900 fish juveniles (average initial weight: 29.1 ± 1.69 g) were randomly distributed into three dietary groups, each replicated three times and reared in a recirculation aquaculture system for 7 weeks. Results showed similar fish growth between dietary groups (final body weight: CTR, 155.27 ± 4.45 g; IO50, 162.47 ± 0.19 g; IO100, 160.87 ± 3.78 g). In addition, nutrient utilisation parameters and whole-body crude protein, lipid and ash content were similar between groups. The levels of eicosapentaenoic acid (EPA) and docosahexaenoic acid (DHA) in the whole body decreased while that of arachidonic acid (ARA) increased with IO inclusion. Similar trends in ARA and EPA levels were observed in the liver, the DHA/EPA ratio being highest in fish fed IO100 diet. The hepatic expression of <i>pparα</i> (peroxisome proliferators activated receptor alpha), <i>hnf4α</i> (hepatocyte nuclear factor 4α) and <i>hadh</i> (hydroxyacyl-CoA dehydrogenase) followed quadratic trends being lowest in fish fed IO50 and highest in fish fed IO100. The <i>lpl</i> (lipoprotein lipase, LIPA) gene was significantly upregulated in fish fed IO100. The liver malondialdehyde (MDA) content was lowest in fish fed IO50. In addition, plasma myeloperoxidase (MPO) activity linearly increased with IO inclusion. These results demonstrate that potential benefits are achieved when BSFLO is supplemented in diets of African catfish hybrids, contributing to the development of sustainable alternatives to fish and vegetable oils (VOs) in aquafeeds.</p>\\n </div>\",\"PeriodicalId\":8225,\"journal\":{\"name\":\"Aquaculture Nutrition\",\"volume\":\"2025 1\",\"pages\":\"\"},\"PeriodicalIF\":3.9000,\"publicationDate\":\"2025-07-31\",\"publicationTypes\":\"Journal Article\",\"fieldsOfStudy\":null,\"isOpenAccess\":false,\"openAccessPdf\":\"https://onlinelibrary.wiley.com/doi/epdf/10.1155/anu/4693136\",\"citationCount\":\"0\",\"resultStr\":null,\"platform\":\"Semanticscholar\",\"paperid\":null,\"PeriodicalName\":\"Aquaculture Nutrition\",\"FirstCategoryId\":\"97\",\"ListUrlMain\":\"https://onlinelibrary.wiley.com/doi/10.1155/anu/4693136\",\"RegionNum\":2,\"RegionCategory\":\"农林科学\",\"ArticlePicture\":[],\"TitleCN\":null,\"AbstractTextCN\":null,\"PMCID\":null,\"EPubDate\":\"\",\"PubModel\":\"\",\"JCR\":\"Q1\",\"JCRName\":\"FISHERIES\",\"Score\":null,\"Total\":0}","platform":"Semanticscholar","paperid":null,"PeriodicalName":"Aquaculture Nutrition","FirstCategoryId":"97","ListUrlMain":"https://onlinelibrary.wiley.com/doi/10.1155/anu/4693136","RegionNum":2,"RegionCategory":"农林科学","ArticlePicture":[],"TitleCN":null,"AbstractTextCN":null,"PMCID":null,"EPubDate":"","PubModel":"","JCR":"Q1","JCRName":"FISHERIES","Score":null,"Total":0}
引用次数: 0

摘要

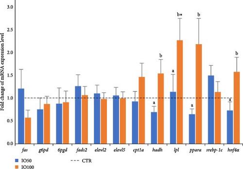
饲料鱼油(FO)的替代来源是水产养殖业发展所必需的。本研究探讨了黑兵蝇幼虫油(BSFLO)作为非洲鲶鱼杂交种饲料的潜在效益。配制了3种等氮等脂饲粮,分别为:添加鱼油与菜籽油(RO)混合物(50:50)的对照日粮(CTR)、添加BSFLO替代50%鱼油与菜籽油混合物的IO50和添加100% BSFLO的IO100。试验选取900尾平均初始体重为29.1±1.69 g的幼鱼,随机分为3个饲料组,每组重复3次,在循循环养殖系统中饲养7周。结果表明,不同饲粮组间鱼体生长相似(末重:CTR, 155.27±4.45 g;IO50, 162.47±0.19 g;IO100, 160.87±3.78 g)。各组间营养物质利用参数及全鱼粗蛋白质、粗脂肪和粗灰分含量基本一致。全身二十碳五烯酸(EPA)和二十二碳六烯酸(DHA)含量随着IO的加入而降低,花生四烯酸(ARA)含量升高。肝脏中ARA和EPA水平也有类似的变化趋势,DHA/EPA比例在饲喂IO100饲料的鱼中最高。肝脏中pparα(过氧化物酶体增殖物激活受体α)、hnf4α(肝细胞核因子4α)和hadh(羟酰基辅酶a脱氢酶)的表达呈二次曲线,在饲喂IO50的鱼中最低,在饲喂IO100的鱼中最高。饲喂IO100后,lpl(脂蛋白脂肪酶,LIPA)基因显著上调。肝脏丙二醛(MDA)含量以碘50饲料最低。此外,血浆髓过氧化物酶(MPO)活性随着IO的加入呈线性增加。这些结果表明,在非洲杂交鲶鱼的饲料中添加BSFLO可获得潜在效益,有助于开发水产饲料中鱼类和植物油(VOs)的可持续替代品。
本文章由计算机程序翻译,如有差异,请以英文原文为准。

Evaluation of Hermetia illucens Larvae Oil as a Dietary Substitute for Fish and Vegetable Oils in African Catfish Hybrid (Clarias gariepinus × Heterobranchus longifilis)

Evaluation of Hermetia illucens Larvae Oil as a Dietary Substitute for Fish and Vegetable Oils in African Catfish Hybrid (Clarias gariepinus × Heterobranchus longifilis)

Alternative sources of dietary fish oil (FO) are necessary for the growth of the aquaculture industry. This study investigated the potential benefits of black soldier fly larvae oil (BSFLO) as a feed ingredient in the diets of African catfish hybrids (Clarias gariepinus × Heterobranchus longifilis). Three isonitrogenous and isolipidic diets—a control diet (CTR) containing a FO and rapeseed oil (RO) mixture (50:50), IO50 containing BSFLO replacing 50% of FO and RO mixture and IO100 containing 100% BSFLO—were formulated. A total of 900 fish juveniles (average initial weight: 29.1 ± 1.69 g) were randomly distributed into three dietary groups, each replicated three times and reared in a recirculation aquaculture system for 7 weeks. Results showed similar fish growth between dietary groups (final body weight: CTR, 155.27 ± 4.45 g; IO50, 162.47 ± 0.19 g; IO100, 160.87 ± 3.78 g). In addition, nutrient utilisation parameters and whole-body crude protein, lipid and ash content were similar between groups. The levels of eicosapentaenoic acid (EPA) and docosahexaenoic acid (DHA) in the whole body decreased while that of arachidonic acid (ARA) increased with IO inclusion. Similar trends in ARA and EPA levels were observed in the liver, the DHA/EPA ratio being highest in fish fed IO100 diet. The hepatic expression of pparα (peroxisome proliferators activated receptor alpha), hnf4α (hepatocyte nuclear factor 4α) and hadh (hydroxyacyl-CoA dehydrogenase) followed quadratic trends being lowest in fish fed IO50 and highest in fish fed IO100. The lpl (lipoprotein lipase, LIPA) gene was significantly upregulated in fish fed IO100. The liver malondialdehyde (MDA) content was lowest in fish fed IO50. In addition, plasma myeloperoxidase (MPO) activity linearly increased with IO inclusion. These results demonstrate that potential benefits are achieved when BSFLO is supplemented in diets of African catfish hybrids, contributing to the development of sustainable alternatives to fish and vegetable oils (VOs) in aquafeeds.

求助全文
通过发布文献求助,成功后即可免费获取论文全文。 去求助
来源期刊
Aquaculture Nutrition
Aquaculture Nutrition 农林科学-渔业
CiteScore
7.20
自引率
8.60%
发文量
131
审稿时长
3 months
期刊介绍: Aquaculture Nutrition is published on a bimonthly basis, providing a global perspective on the nutrition of all cultivated aquatic animals. Topics range from extensive aquaculture to laboratory studies of nutritional biochemistry and physiology. The Journal specifically seeks to improve our understanding of the nutrition of aquacultured species through the provision of an international forum for the presentation of reviews and original research papers. Aquaculture Nutrition publishes papers which strive to: increase basic knowledge of the nutrition of aquacultured species and elevate the standards of published aquaculture nutrition research. improve understanding of the relationships between nutrition and the environmental impact of aquaculture. increase understanding of the relationships between nutrition and processing, product quality, and the consumer. help aquaculturalists improve their management and understanding of the complex discipline of nutrition. help the aquaculture feed industry by providing a focus for relevant information, techniques, tools and concepts.
×
引用
GB/T 7714-2015
复制
MLA
复制
APA
复制
导出至
BibTeX EndNote RefMan NoteFirst NoteExpress
×
提示
您的信息不完整,为了账户安全,请先补充。
现在去补充
×
提示
您因"违规操作"
具体请查看互助需知
我知道了
×
提示
确定
请完成安全验证×
copy
已复制链接
快去分享给好友吧!
我知道了
右上角分享
点击右上角分享
0
联系我们:info@booksci.cn Book学术提供免费学术资源搜索服务,方便国内外学者检索中英文文献。致力于提供最便捷和优质的服务体验。 Copyright © 2023 布克学术 All rights reserved.
京ICP备2023020795号-1
ghs 京公网安备 11010802042870号
Book学术文献互助
Book学术文献互助群
群 号:604180095
Book学术官方微信