可持续生产虹鳟鱼和优质鱼片的种子和虫粕替代饲料的开发

IF 1.1
JSFA reports Pub Date : 2025-04-23 DOI:10.1002/jsf2.70009
Araceli Cortes-García, Beatriz Schettino-Bermúdez, Jorge Poveda
{"title":"可持续生产虹鳟鱼和优质鱼片的种子和虫粕替代饲料的开发","authors":"Araceli Cortes-García,&nbsp;Beatriz Schettino-Bermúdez,&nbsp;Jorge Poveda","doi":"10.1002/jsf2.70009","DOIUrl":null,"url":null,"abstract":"<div>\n \n \n <section>\n \n <h3> Background</h3>\n \n <p>Rainbow trout (<i>Oncorhynchus mykiss</i>) is a freshwater fish with an aquaculture industry widely distributed throughout the world, whose diet is based on fish meal (marine origin), with serious sustainability problems associated with the sector. The objective of the study was the inclusion of other flours as a protein source (insect and vegetable) to replace conventional diet for <i>O. mykiss</i> hatchlings. Feed with different protein contents (35%, 40%, and 45%) was used, therefore, with an insect meal content of 38%, 45%, and 53%, respectively, in order to maintain an isoenergetic balance. The quality analysis of the feed used was based on a proximal and amino acid analysis of the meals. For the evaluation of the alternative feed, 150 <i>O</i>. <i>mykiss</i> fry were used for 90 days, considering the increase in size (standard length) and weight every 15 days. The feed intake was 8% of the animal biomass, rationed four times a day. In order to analyze the quality of the fish fillets, 20 fish fed with each alternative feed were kept for a further 60 days.</p>\n </section>\n \n <section>\n \n <h3> Results</h3>\n \n <p>The substitution of fish meal by vegetable and insect meal allowed the biochemical profile that the conventional feed contains to feed <i>O. mykiss</i> hatchlings to be met. It was shown that, during the first 6 weeks, all alternative feeds and the conventional feed resulted in similar sizes and weights in the pups. However, at the end of the study (at 3 months), the conventional feed reported larger fish sizes and weights than the alternative feeds. On the other hand, these differences in growth did not impact the quality of the fillet for consumers.</p>\n </section>\n \n <section>\n \n <h3> Conclusion</h3>\n \n <p>The development of an alternative feed with 75% of other ingredients (fishmeal, chilacayota, corn and Tenebrio) was a feed with 35%–45% protein, necessary for the trout hatchlings to grow and produce a quality fillet. The study showed that reducing the consumption of conventional feed favors production costs for aquaculture centers, whose mission is to produce hatchlings and keep them for up to 2 months to be offered to fattening farms and promote sustainable production.</p>\n </section>\n </div>","PeriodicalId":93795,"journal":{"name":"JSFA reports","volume":"5 7","pages":"294-303"},"PeriodicalIF":1.1000,"publicationDate":"2025-04-23","publicationTypes":"Journal Article","fieldsOfStudy":null,"isOpenAccess":false,"openAccessPdf":"https://onlinelibrary.wiley.com/doi/epdf/10.1002/jsf2.70009","citationCount":"0","resultStr":"{\"title\":\"Development of alternative feed with seed and insect meal for sustainable production of rainbow trout (Oncorhynchus mykiss) and quality fillets\",\"authors\":\"Araceli Cortes-García,&nbsp;Beatriz Schettino-Bermúdez,&nbsp;Jorge Poveda\",\"doi\":\"10.1002/jsf2.70009\",\"DOIUrl\":null,\"url\":null,\"abstract\":\"<div>\\n \\n \\n <section>\\n \\n <h3> Background</h3>\\n \\n <p>Rainbow trout (<i>Oncorhynchus mykiss</i>) is a freshwater fish with an aquaculture industry widely distributed throughout the world, whose diet is based on fish meal (marine origin), with serious sustainability problems associated with the sector. The objective of the study was the inclusion of other flours as a protein source (insect and vegetable) to replace conventional diet for <i>O. mykiss</i> hatchlings. Feed with different protein contents (35%, 40%, and 45%) was used, therefore, with an insect meal content of 38%, 45%, and 53%, respectively, in order to maintain an isoenergetic balance. The quality analysis of the feed used was based on a proximal and amino acid analysis of the meals. For the evaluation of the alternative feed, 150 <i>O</i>. <i>mykiss</i> fry were used for 90 days, considering the increase in size (standard length) and weight every 15 days. The feed intake was 8% of the animal biomass, rationed four times a day. In order to analyze the quality of the fish fillets, 20 fish fed with each alternative feed were kept for a further 60 days.</p>\\n </section>\\n \\n <section>\\n \\n <h3> Results</h3>\\n \\n <p>The substitution of fish meal by vegetable and insect meal allowed the biochemical profile that the conventional feed contains to feed <i>O. mykiss</i> hatchlings to be met. It was shown that, during the first 6 weeks, all alternative feeds and the conventional feed resulted in similar sizes and weights in the pups. However, at the end of the study (at 3 months), the conventional feed reported larger fish sizes and weights than the alternative feeds. On the other hand, these differences in growth did not impact the quality of the fillet for consumers.</p>\\n </section>\\n \\n <section>\\n \\n <h3> Conclusion</h3>\\n \\n <p>The development of an alternative feed with 75% of other ingredients (fishmeal, chilacayota, corn and Tenebrio) was a feed with 35%–45% protein, necessary for the trout hatchlings to grow and produce a quality fillet. The study showed that reducing the consumption of conventional feed favors production costs for aquaculture centers, whose mission is to produce hatchlings and keep them for up to 2 months to be offered to fattening farms and promote sustainable production.</p>\\n </section>\\n </div>\",\"PeriodicalId\":93795,\"journal\":{\"name\":\"JSFA reports\",\"volume\":\"5 7\",\"pages\":\"294-303\"},\"PeriodicalIF\":1.1000,\"publicationDate\":\"2025-04-23\",\"publicationTypes\":\"Journal Article\",\"fieldsOfStudy\":null,\"isOpenAccess\":false,\"openAccessPdf\":\"https://onlinelibrary.wiley.com/doi/epdf/10.1002/jsf2.70009\",\"citationCount\":\"0\",\"resultStr\":null,\"platform\":\"Semanticscholar\",\"paperid\":null,\"PeriodicalName\":\"JSFA reports\",\"FirstCategoryId\":\"1085\",\"ListUrlMain\":\"https://scijournals.onlinelibrary.wiley.com/doi/10.1002/jsf2.70009\",\"RegionNum\":0,\"RegionCategory\":null,\"ArticlePicture\":[],\"TitleCN\":null,\"AbstractTextCN\":null,\"PMCID\":null,\"EPubDate\":\"\",\"PubModel\":\"\",\"JCR\":\"\",\"JCRName\":\"\",\"Score\":null,\"Total\":0}","platform":"Semanticscholar","paperid":null,"PeriodicalName":"JSFA reports","FirstCategoryId":"1085","ListUrlMain":"https://scijournals.onlinelibrary.wiley.com/doi/10.1002/jsf2.70009","RegionNum":0,"RegionCategory":null,"ArticlePicture":[],"TitleCN":null,"AbstractTextCN":null,"PMCID":null,"EPubDate":"","PubModel":"","JCR":"","JCRName":"","Score":null,"Total":0}
引用次数: 0

摘要

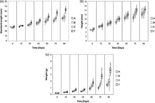
虹鳟鱼(Oncorhynchus mykiss)是一种淡水鱼,其水产养殖业广泛分布在世界各地,其饮食以鱼粉(海洋来源)为基础,与该部门相关的可持续性问题严重。该研究的目的是将其他面粉(昆虫和蔬菜)作为蛋白质来源,以取代O. mykiss幼雏的传统饮食。因此,采用不同蛋白质含量(35%、40%和45%)的饲料,昆虫粉含量分别为38%、45%和53%,以保持等能平衡。所用饲料的质量分析是基于对饲料的近端和氨基酸分析。在替代饲料的评价中,考虑到每15天鱼苗的尺寸(标准长度)和重量的增加,使用150只O. mykiss鱼苗90天。采食量为动物生物量的8%,每天定量饲喂4次。为了分析鱼片的质量,分别饲喂每种饲料20条鱼,再饲养60天。结果用蔬菜和昆虫粉代替鱼粉,可以满足传统饲料中所含的生化指标。结果表明,在前6周内,所有替代饲料和常规饲料均使幼鼠的体型和体重相近。然而,在研究结束时(3个月时),传统饲料比替代饲料报告的鱼的尺寸和重量更大。另一方面,这些增长的差异并没有影响消费者对鱼片的质量。结论开发一种添加75%其他成分(鱼粉、辣椒粉、玉米和粉黄粉)的替代饲料,蛋白质含量为35% ~ 45%,是鳟鱼幼鱼生长和生产优质鱼片所必需的饲料。研究表明,减少传统饲料的消耗有利于水产养殖中心的生产成本,水产养殖中心的任务是生产幼仔,并将其保存长达2个月,以提供给育肥场,促进可持续生产。
本文章由计算机程序翻译,如有差异,请以英文原文为准。

Development of alternative feed with seed and insect meal for sustainable production of rainbow trout (Oncorhynchus mykiss) and quality fillets

Development of alternative feed with seed and insect meal for sustainable production of rainbow trout (Oncorhynchus mykiss) and quality fillets

Development of alternative feed with seed and insect meal for sustainable production of rainbow trout (Oncorhynchus mykiss) and quality fillets

Development of alternative feed with seed and insect meal for sustainable production of rainbow trout (Oncorhynchus mykiss) and quality fillets

Development of alternative feed with seed and insect meal for sustainable production of rainbow trout (Oncorhynchus mykiss) and quality fillets

Development of alternative feed with seed and insect meal for sustainable production of rainbow trout (Oncorhynchus mykiss) and quality fillets

Background

Rainbow trout (Oncorhynchus mykiss) is a freshwater fish with an aquaculture industry widely distributed throughout the world, whose diet is based on fish meal (marine origin), with serious sustainability problems associated with the sector. The objective of the study was the inclusion of other flours as a protein source (insect and vegetable) to replace conventional diet for O. mykiss hatchlings. Feed with different protein contents (35%, 40%, and 45%) was used, therefore, with an insect meal content of 38%, 45%, and 53%, respectively, in order to maintain an isoenergetic balance. The quality analysis of the feed used was based on a proximal and amino acid analysis of the meals. For the evaluation of the alternative feed, 150 O. mykiss fry were used for 90 days, considering the increase in size (standard length) and weight every 15 days. The feed intake was 8% of the animal biomass, rationed four times a day. In order to analyze the quality of the fish fillets, 20 fish fed with each alternative feed were kept for a further 60 days.

Results

The substitution of fish meal by vegetable and insect meal allowed the biochemical profile that the conventional feed contains to feed O. mykiss hatchlings to be met. It was shown that, during the first 6 weeks, all alternative feeds and the conventional feed resulted in similar sizes and weights in the pups. However, at the end of the study (at 3 months), the conventional feed reported larger fish sizes and weights than the alternative feeds. On the other hand, these differences in growth did not impact the quality of the fillet for consumers.

Conclusion

The development of an alternative feed with 75% of other ingredients (fishmeal, chilacayota, corn and Tenebrio) was a feed with 35%–45% protein, necessary for the trout hatchlings to grow and produce a quality fillet. The study showed that reducing the consumption of conventional feed favors production costs for aquaculture centers, whose mission is to produce hatchlings and keep them for up to 2 months to be offered to fattening farms and promote sustainable production.

求助全文
通过发布文献求助,成功后即可免费获取论文全文。 去求助
来源期刊
自引率
0.00%
发文量
0
×
引用
GB/T 7714-2015
复制
MLA
复制
APA
复制
导出至
BibTeX EndNote RefMan NoteFirst NoteExpress
×
提示
您的信息不完整,为了账户安全,请先补充。
现在去补充
×
提示
您因"违规操作"
具体请查看互助需知
我知道了
×
提示
确定
请完成安全验证×
copy
已复制链接
快去分享给好友吧!
我知道了
右上角分享
点击右上角分享
0
联系我们:info@booksci.cn Book学术提供免费学术资源搜索服务,方便国内外学者检索中英文文献。致力于提供最便捷和优质的服务体验。 Copyright © 2023 布克学术 All rights reserved.
京ICP备2023020795号-1
ghs 京公网安备 11010802042870号
Book学术文献互助
Book学术文献互助群
群 号:604180095
Book学术官方微信