内部迁移与童年孤独:家庭结构和文化个人主义的调节作用

IF 2.6 2区 社会学 Q2 DEMOGRAPHY
Aude Bernard, Patricia McMullin, Sergi Vidal
{"title":"内部迁移与童年孤独:家庭结构和文化个人主义的调节作用","authors":"Aude Bernard, Patricia McMullin, Sergi Vidal","doi":"10.1007/s10680-025-09741-x","DOIUrl":null,"url":null,"abstract":"<p><p>The negative impact of childhood internal migration on diverse life outcomes is well documented. The main hypothesis to explain this association is the severance of social ties. However, empirical evidence on the link between internal migration and loneliness in childhood is critically lacking. We address this gap by establishing the association between childhood loneliness and inter and intra-regional migration in Europe. Using retrospective life-history data from the Survey of Health, Ageing and Retirement in Europe in 26 countries, we run a series of country-fixed effect logistic regression for cohorts born before 1967. We find that the probability of often being lonely is 25-39 per cent higher among children who moved at least once, although having siblings exert a strong protective effect. The strength of the association between loneliness and internal migration dissipates with duration of residence, suggesting that children progressively adjust to new surroundings, particularly if they migrated before starting school. However, the mitigating role of duration of residence diminishes with the number of past moves. Despite the limitations of retrospective survey data, our results show a clear association between internal migration and loneliness, highlight the increased risks of chronic migration among children and lend support to the loss-of-social-networks theory, particularly in individualist societies where friendship plays a greater role in social networks and where children consistently report higher levels of loneliness.</p>","PeriodicalId":51496,"journal":{"name":"European Journal of Population-Revue Europeenne De Demographie","volume":"41 1","pages":"18"},"PeriodicalIF":2.6000,"publicationDate":"2025-07-21","publicationTypes":"Journal Article","fieldsOfStudy":null,"isOpenAccess":false,"openAccessPdf":"https://www.ncbi.nlm.nih.gov/pmc/articles/PMC12279663/pdf/","citationCount":"0","resultStr":"{\"title\":\"Internal Migration and Loneliness in Childhood: The Moderating Role of Family Structure and Cultural Individualism.\",\"authors\":\"Aude Bernard, Patricia McMullin, Sergi Vidal\",\"doi\":\"10.1007/s10680-025-09741-x\",\"DOIUrl\":null,\"url\":null,\"abstract\":\"<p><p>The negative impact of childhood internal migration on diverse life outcomes is well documented. The main hypothesis to explain this association is the severance of social ties. However, empirical evidence on the link between internal migration and loneliness in childhood is critically lacking. We address this gap by establishing the association between childhood loneliness and inter and intra-regional migration in Europe. Using retrospective life-history data from the Survey of Health, Ageing and Retirement in Europe in 26 countries, we run a series of country-fixed effect logistic regression for cohorts born before 1967. We find that the probability of often being lonely is 25-39 per cent higher among children who moved at least once, although having siblings exert a strong protective effect. The strength of the association between loneliness and internal migration dissipates with duration of residence, suggesting that children progressively adjust to new surroundings, particularly if they migrated before starting school. However, the mitigating role of duration of residence diminishes with the number of past moves. Despite the limitations of retrospective survey data, our results show a clear association between internal migration and loneliness, highlight the increased risks of chronic migration among children and lend support to the loss-of-social-networks theory, particularly in individualist societies where friendship plays a greater role in social networks and where children consistently report higher levels of loneliness.</p>\",\"PeriodicalId\":51496,\"journal\":{\"name\":\"European Journal of Population-Revue Europeenne De Demographie\",\"volume\":\"41 1\",\"pages\":\"18\"},\"PeriodicalIF\":2.6000,\"publicationDate\":\"2025-07-21\",\"publicationTypes\":\"Journal Article\",\"fieldsOfStudy\":null,\"isOpenAccess\":false,\"openAccessPdf\":\"https://www.ncbi.nlm.nih.gov/pmc/articles/PMC12279663/pdf/\",\"citationCount\":\"0\",\"resultStr\":null,\"platform\":\"Semanticscholar\",\"paperid\":null,\"PeriodicalName\":\"European Journal of Population-Revue Europeenne De Demographie\",\"FirstCategoryId\":\"90\",\"ListUrlMain\":\"https://doi.org/10.1007/s10680-025-09741-x\",\"RegionNum\":2,\"RegionCategory\":\"社会学\",\"ArticlePicture\":[],\"TitleCN\":null,\"AbstractTextCN\":null,\"PMCID\":null,\"EPubDate\":\"\",\"PubModel\":\"\",\"JCR\":\"Q2\",\"JCRName\":\"DEMOGRAPHY\",\"Score\":null,\"Total\":0}","platform":"Semanticscholar","paperid":null,"PeriodicalName":"European Journal of Population-Revue Europeenne De Demographie","FirstCategoryId":"90","ListUrlMain":"https://doi.org/10.1007/s10680-025-09741-x","RegionNum":2,"RegionCategory":"社会学","ArticlePicture":[],"TitleCN":null,"AbstractTextCN":null,"PMCID":null,"EPubDate":"","PubModel":"","JCR":"Q2","JCRName":"DEMOGRAPHY","Score":null,"Total":0}
引用次数: 0

摘要

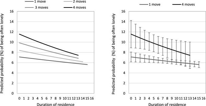
儿童内部移徙对各种生活结果的负面影响有据可查。解释这种联系的主要假设是社会联系的断绝。然而,关于国内移徙与童年孤独之间联系的经验证据严重缺乏。我们通过建立童年孤独与欧洲区域间和区域内移民之间的联系来解决这一差距。使用来自欧洲26个国家健康、老龄化和退休调查的回顾性生活史数据,我们对1967年以前出生的队列进行了一系列国家固定效应逻辑回归。我们发现,在至少搬过一次家的孩子中,经常感到孤独的可能性要高出25%到39%,尽管有兄弟姐妹会起到很强的保护作用。孤独感与国内移民之间的联系随着居住时间的延长而减弱,这表明儿童逐渐适应新环境,特别是如果他们在开始上学之前就移民了。然而,居住时间的缓解作用随着过去迁移次数的增加而减弱。尽管回顾性调查数据的局限性,我们的结果显示了内部迁移和孤独之间的明确联系,突出了儿童长期迁移的风险增加,并为社会网络缺失理论提供了支持,特别是在个人主义社会中,友谊在社会网络中起着更大的作用,儿童一直报告更高水平的孤独。
本文章由计算机程序翻译,如有差异,请以英文原文为准。

Internal Migration and Loneliness in Childhood: The Moderating Role of Family Structure and Cultural Individualism.

Internal Migration and Loneliness in Childhood: The Moderating Role of Family Structure and Cultural Individualism.

Internal Migration and Loneliness in Childhood: The Moderating Role of Family Structure and Cultural Individualism.

Internal Migration and Loneliness in Childhood: The Moderating Role of Family Structure and Cultural Individualism.

The negative impact of childhood internal migration on diverse life outcomes is well documented. The main hypothesis to explain this association is the severance of social ties. However, empirical evidence on the link between internal migration and loneliness in childhood is critically lacking. We address this gap by establishing the association between childhood loneliness and inter and intra-regional migration in Europe. Using retrospective life-history data from the Survey of Health, Ageing and Retirement in Europe in 26 countries, we run a series of country-fixed effect logistic regression for cohorts born before 1967. We find that the probability of often being lonely is 25-39 per cent higher among children who moved at least once, although having siblings exert a strong protective effect. The strength of the association between loneliness and internal migration dissipates with duration of residence, suggesting that children progressively adjust to new surroundings, particularly if they migrated before starting school. However, the mitigating role of duration of residence diminishes with the number of past moves. Despite the limitations of retrospective survey data, our results show a clear association between internal migration and loneliness, highlight the increased risks of chronic migration among children and lend support to the loss-of-social-networks theory, particularly in individualist societies where friendship plays a greater role in social networks and where children consistently report higher levels of loneliness.

求助全文
通过发布文献求助,成功后即可免费获取论文全文。 去求助
来源期刊
CiteScore
4.20
自引率
8.00%
发文量
44
期刊介绍: European Journal of Population addresses a broad public of researchers, policy makers and others concerned with population processes and their consequences. Its aim is to improve understanding of population phenomena by giving priority to work that contributes to the development of theory and method, and that spans the boundaries between demography and such disciplines as sociology, anthropology, economics, geography, history, political science, epidemiology and other sciences contributing to public health. The Journal is open to authors from all over the world, and its articles cover European and non-European countries (specifically including developing countries) alike.
×
引用
GB/T 7714-2015
复制
MLA
复制
APA
复制
导出至
BibTeX EndNote RefMan NoteFirst NoteExpress
×
提示
您的信息不完整,为了账户安全,请先补充。
现在去补充
×
提示
您因"违规操作"
具体请查看互助需知
我知道了
×
提示
确定
请完成安全验证×
copy
已复制链接
快去分享给好友吧!
我知道了
右上角分享
点击右上角分享
0
联系我们:info@booksci.cn Book学术提供免费学术资源搜索服务,方便国内外学者检索中英文文献。致力于提供最便捷和优质的服务体验。 Copyright © 2023 布克学术 All rights reserved.
京ICP备2023020795号-1
ghs 京公网安备 11010802042870号
Book学术文献互助
Book学术文献互助群
群 号:604180095
Book学术官方微信