极早产儿初始母乳喂养时间与新生儿结局的关系:中国的一项多中心队列研究

IF 2.3 4区 医学 Q2 PEDIATRICS
Rong Lin, Zhihui Rong, Rong Zhang, Zhi Zheng, Ya Ding, Chao Ning, Yun Cao, Chen Chao, Jie Yang, Xinzhu Lin
{"title":"极早产儿初始母乳喂养时间与新生儿结局的关系:中国的一项多中心队列研究","authors":"Rong Lin, Zhihui Rong, Rong Zhang, Zhi Zheng, Ya Ding, Chao Ning, Yun Cao, Chen Chao, Jie Yang, Xinzhu Lin","doi":"10.1136/bmjpo-2025-003485","DOIUrl":null,"url":null,"abstract":"<p><strong>Objective: </strong>To evaluate the association between the timing of initial breastfeeding and the risk of necrotising enterocolitis (NEC) and other neonatal outcomes in very preterm infants (VPIs, <32 weeks' gestation).</p><p><strong>Design: </strong>Multicentre observational cohort study.</p><p><strong>Setting: </strong>Data were collected from 102 tertiary neonatal intensive care units (NICUs) in China between 2019 and 2023 through the Chinese Neonatal Network.</p><p><strong>Patients: </strong>A total of 12 679 VPIs admitted to NICUs within 24 hours of birth and initially breastfed within 7 days were included.</p><p><strong>Interventions: </strong>Infants were categorised into four groups based on initial breastfeeding timing: within 24 hours (n=2242), 24-48 hours (n=3657), 48-72 hours (n=1870) and after 72 hours (n=4910, reference group).</p><p><strong>Main outcome measures: </strong>The primary outcome was NEC (stage ≥2). Secondary outcomes included mortality, bronchopulmonary dysplasia, severe neurological injury, severe retinopathy of prematurity, late-onset sepsis, NICU length of stay and intravenous nutrition duration.</p><p><strong>Results: </strong>Early breastfeeding initiation (<24 hours) was associated with a higher incidence of NEC (7.5% vs 4.3%, OR 1.92, 95% CI 1.21 to 3.06). No significant NEC risk increase was observed for feeding initiation after 24 hours. Early breastfeeding was linked to a shorter duration of intravenous nutrition (median 15 days (IQR 10-27) vs 22 days (IQR 14-33), mean difference -3.93 days, 95% CI -6.57 to -1.3). Subgroup analysis revealed increased NEC risk in neonates delivered via caesarean section, those receiving blood transfusions and those born <28 weeks' gestation.</p><p><strong>Conclusions: </strong>While early breastfeeding initiation (<24 hours) reduces intravenous nutrition duration, it may elevate NEC risk in specific high-risk subgroups. Feeding strategies should be individualised based on gestational age, delivery mode and transfusion status. Further randomised trials are needed to optimise early feeding protocols for VPIs.</p>","PeriodicalId":9069,"journal":{"name":"BMJ Paediatrics Open","volume":"9 1","pages":""},"PeriodicalIF":2.3000,"publicationDate":"2025-07-16","publicationTypes":"Journal Article","fieldsOfStudy":null,"isOpenAccess":false,"openAccessPdf":"https://www.ncbi.nlm.nih.gov/pmc/articles/PMC12273134/pdf/","citationCount":"0","resultStr":"{\"title\":\"Association of timing of initial breastfeeding and neonatal outcome in very preterm infants: a multicentre cohort study in China.\",\"authors\":\"Rong Lin, Zhihui Rong, Rong Zhang, Zhi Zheng, Ya Ding, Chao Ning, Yun Cao, Chen Chao, Jie Yang, Xinzhu Lin\",\"doi\":\"10.1136/bmjpo-2025-003485\",\"DOIUrl\":null,\"url\":null,\"abstract\":\"<p><strong>Objective: </strong>To evaluate the association between the timing of initial breastfeeding and the risk of necrotising enterocolitis (NEC) and other neonatal outcomes in very preterm infants (VPIs, <32 weeks' gestation).</p><p><strong>Design: </strong>Multicentre observational cohort study.</p><p><strong>Setting: </strong>Data were collected from 102 tertiary neonatal intensive care units (NICUs) in China between 2019 and 2023 through the Chinese Neonatal Network.</p><p><strong>Patients: </strong>A total of 12 679 VPIs admitted to NICUs within 24 hours of birth and initially breastfed within 7 days were included.</p><p><strong>Interventions: </strong>Infants were categorised into four groups based on initial breastfeeding timing: within 24 hours (n=2242), 24-48 hours (n=3657), 48-72 hours (n=1870) and after 72 hours (n=4910, reference group).</p><p><strong>Main outcome measures: </strong>The primary outcome was NEC (stage ≥2). Secondary outcomes included mortality, bronchopulmonary dysplasia, severe neurological injury, severe retinopathy of prematurity, late-onset sepsis, NICU length of stay and intravenous nutrition duration.</p><p><strong>Results: </strong>Early breastfeeding initiation (<24 hours) was associated with a higher incidence of NEC (7.5% vs 4.3%, OR 1.92, 95% CI 1.21 to 3.06). No significant NEC risk increase was observed for feeding initiation after 24 hours. Early breastfeeding was linked to a shorter duration of intravenous nutrition (median 15 days (IQR 10-27) vs 22 days (IQR 14-33), mean difference -3.93 days, 95% CI -6.57 to -1.3). Subgroup analysis revealed increased NEC risk in neonates delivered via caesarean section, those receiving blood transfusions and those born <28 weeks' gestation.</p><p><strong>Conclusions: </strong>While early breastfeeding initiation (<24 hours) reduces intravenous nutrition duration, it may elevate NEC risk in specific high-risk subgroups. Feeding strategies should be individualised based on gestational age, delivery mode and transfusion status. Further randomised trials are needed to optimise early feeding protocols for VPIs.</p>\",\"PeriodicalId\":9069,\"journal\":{\"name\":\"BMJ Paediatrics Open\",\"volume\":\"9 1\",\"pages\":\"\"},\"PeriodicalIF\":2.3000,\"publicationDate\":\"2025-07-16\",\"publicationTypes\":\"Journal Article\",\"fieldsOfStudy\":null,\"isOpenAccess\":false,\"openAccessPdf\":\"https://www.ncbi.nlm.nih.gov/pmc/articles/PMC12273134/pdf/\",\"citationCount\":\"0\",\"resultStr\":null,\"platform\":\"Semanticscholar\",\"paperid\":null,\"PeriodicalName\":\"BMJ Paediatrics Open\",\"FirstCategoryId\":\"3\",\"ListUrlMain\":\"https://doi.org/10.1136/bmjpo-2025-003485\",\"RegionNum\":4,\"RegionCategory\":\"医学\",\"ArticlePicture\":[],\"TitleCN\":null,\"AbstractTextCN\":null,\"PMCID\":null,\"EPubDate\":\"\",\"PubModel\":\"\",\"JCR\":\"Q2\",\"JCRName\":\"PEDIATRICS\",\"Score\":null,\"Total\":0}","platform":"Semanticscholar","paperid":null,"PeriodicalName":"BMJ Paediatrics Open","FirstCategoryId":"3","ListUrlMain":"https://doi.org/10.1136/bmjpo-2025-003485","RegionNum":4,"RegionCategory":"医学","ArticlePicture":[],"TitleCN":null,"AbstractTextCN":null,"PMCID":null,"EPubDate":"","PubModel":"","JCR":"Q2","JCRName":"PEDIATRICS","Score":null,"Total":0}
引用次数: 0

摘要

目的:评估极早产儿(vpi)初始母乳喂养时间与坏死性小肠结肠炎(NEC)和其他新生儿结局风险之间的关系,设计:多中心观察队列研究。背景:通过中国新生儿网络收集2019年至2023年间中国102个三级新生儿重症监护病房(NICUs)的数据。患者:共纳入12679例出生24小时内入住新生儿重症监护病房并在7天内开始母乳喂养的vpi。干预措施:根据初始母乳喂养时间将婴儿分为四组:24小时内(n=2242)、24-48小时(n=3657)、48-72小时(n=1870)和72小时后(n=4910,参照组)。主要结局指标:主要结局为NEC(≥2期)。次要结局包括死亡率、支气管肺发育不良、严重神经损伤、早产儿严重视网膜病变、晚发性败血症、新生儿重症监护病房住院时间和静脉营养持续时间。结果:早期母乳喂养(结论:早期母乳喂养(
本文章由计算机程序翻译,如有差异,请以英文原文为准。

Association of timing of initial breastfeeding and neonatal outcome in very preterm infants: a multicentre cohort study in China.

Association of timing of initial breastfeeding and neonatal outcome in very preterm infants: a multicentre cohort study in China.

Association of timing of initial breastfeeding and neonatal outcome in very preterm infants: a multicentre cohort study in China.

Objective: To evaluate the association between the timing of initial breastfeeding and the risk of necrotising enterocolitis (NEC) and other neonatal outcomes in very preterm infants (VPIs, <32 weeks' gestation).

Design: Multicentre observational cohort study.

Setting: Data were collected from 102 tertiary neonatal intensive care units (NICUs) in China between 2019 and 2023 through the Chinese Neonatal Network.

Patients: A total of 12 679 VPIs admitted to NICUs within 24 hours of birth and initially breastfed within 7 days were included.

Interventions: Infants were categorised into four groups based on initial breastfeeding timing: within 24 hours (n=2242), 24-48 hours (n=3657), 48-72 hours (n=1870) and after 72 hours (n=4910, reference group).

Main outcome measures: The primary outcome was NEC (stage ≥2). Secondary outcomes included mortality, bronchopulmonary dysplasia, severe neurological injury, severe retinopathy of prematurity, late-onset sepsis, NICU length of stay and intravenous nutrition duration.

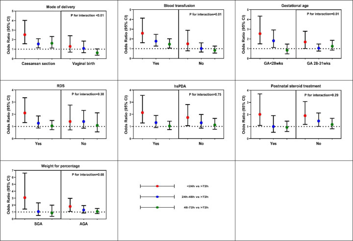
Results: Early breastfeeding initiation (<24 hours) was associated with a higher incidence of NEC (7.5% vs 4.3%, OR 1.92, 95% CI 1.21 to 3.06). No significant NEC risk increase was observed for feeding initiation after 24 hours. Early breastfeeding was linked to a shorter duration of intravenous nutrition (median 15 days (IQR 10-27) vs 22 days (IQR 14-33), mean difference -3.93 days, 95% CI -6.57 to -1.3). Subgroup analysis revealed increased NEC risk in neonates delivered via caesarean section, those receiving blood transfusions and those born <28 weeks' gestation.

Conclusions: While early breastfeeding initiation (<24 hours) reduces intravenous nutrition duration, it may elevate NEC risk in specific high-risk subgroups. Feeding strategies should be individualised based on gestational age, delivery mode and transfusion status. Further randomised trials are needed to optimise early feeding protocols for VPIs.

求助全文
通过发布文献求助,成功后即可免费获取论文全文。 去求助
来源期刊
BMJ Paediatrics Open
BMJ Paediatrics Open Medicine-Pediatrics, Perinatology and Child Health
CiteScore
4.10
自引率
3.80%
发文量
124
×
引用
GB/T 7714-2015
复制
MLA
复制
APA
复制
导出至
BibTeX EndNote RefMan NoteFirst NoteExpress
×
提示
您的信息不完整,为了账户安全,请先补充。
现在去补充
×
提示
您因"违规操作"
具体请查看互助需知
我知道了
×
提示
确定
请完成安全验证×
copy
已复制链接
快去分享给好友吧!
我知道了
右上角分享
点击右上角分享
0
联系我们:info@booksci.cn Book学术提供免费学术资源搜索服务,方便国内外学者检索中英文文献。致力于提供最便捷和优质的服务体验。 Copyright © 2023 布克学术 All rights reserved.
京ICP备2023020795号-1
ghs 京公网安备 11010802042870号
Book学术文献互助
Book学术文献互助群
群 号:604180095
Book学术官方微信