苹果香气缓解生理应激反应的研究。

IF 1.6 4区 心理学 Q1 PSYCHOLOGY, MULTIDISCIPLINARY
Australian Journal of Psychology Pub Date : 2024-09-15 eCollection Date: 2024-01-01 DOI:10.1080/00049530.2024.2401022
E A Chayani Dilrukshi, Shu Sato, Masaki Nakachi, L Sugeeswari Lekamge, Kosuke Oiwa, Kanetoshi Ito, Shusaku Nomura
{"title":"苹果香气缓解生理应激反应的研究。","authors":"E A Chayani Dilrukshi, Shu Sato, Masaki Nakachi, L Sugeeswari Lekamge, Kosuke Oiwa, Kanetoshi Ito, Shusaku Nomura","doi":"10.1080/00049530.2024.2401022","DOIUrl":null,"url":null,"abstract":"<p><strong>Objective: </strong>The study evaluated the potential of apple aroma to alleviate physiological stress response induced by a short-term cognitive stressor. It investigated the effects of apple aroma on cardiac and peripheral autonomic nervous system activity under stressful conditions.</p><p><strong>Methods: </strong>Within-subject experiments were conducted with 25 healthy male university students with a 30-minute calculation task under three conditions: Apple, Chamomile (CHA), and Di propylene glycol (DPG) (scentless air). The aroma administration was precisely controlled and counterbalanced. Cardiac activity on electrocardiograms and nose tip temperature were recorded throughout the experiment. A visual analog scale and a scent questionnaire were subjective measures.</p><p><strong>Results: </strong>Apple aroma demonstrated a significantly smaller increase in heart rate (t [24] = 3.36, <i>p</i> = 0.008 vs. DPG, t [24] = 4.06, <i>p</i> = 0.001 vs. CHA), and a decrease in the high-frequency component of heart rate variability (t [24] = 2.81, <i>p</i> = 0.029 vs. DPG, t [24] = 3.48, <i>p</i> = 0.006 vs. CHA) compared to the other conditions, representing a smaller enhancement of cardiac sympathetic nervous system activity and smaller suppression of cardiac parasympathetic nervous system activity respectively.</p><p><strong>Conclusion: </strong>Apple aroma showed efficacy in alleviating the physiological stress response in terms of cardiac activity. Apple was also considered significantly preferable and comfortable compared to the other conditions, which would be beneficial in the context of aromatherapy.</p>","PeriodicalId":8871,"journal":{"name":"Australian Journal of Psychology","volume":"76 1","pages":"2401022"},"PeriodicalIF":1.6000,"publicationDate":"2024-09-15","publicationTypes":"Journal Article","fieldsOfStudy":null,"isOpenAccess":false,"openAccessPdf":"https://www.ncbi.nlm.nih.gov/pmc/articles/PMC12218518/pdf/","citationCount":"0","resultStr":"{\"title\":\"Alleviation of physiological stress response by apple aroma.\",\"authors\":\"E A Chayani Dilrukshi, Shu Sato, Masaki Nakachi, L Sugeeswari Lekamge, Kosuke Oiwa, Kanetoshi Ito, Shusaku Nomura\",\"doi\":\"10.1080/00049530.2024.2401022\",\"DOIUrl\":null,\"url\":null,\"abstract\":\"<p><strong>Objective: </strong>The study evaluated the potential of apple aroma to alleviate physiological stress response induced by a short-term cognitive stressor. It investigated the effects of apple aroma on cardiac and peripheral autonomic nervous system activity under stressful conditions.</p><p><strong>Methods: </strong>Within-subject experiments were conducted with 25 healthy male university students with a 30-minute calculation task under three conditions: Apple, Chamomile (CHA), and Di propylene glycol (DPG) (scentless air). The aroma administration was precisely controlled and counterbalanced. Cardiac activity on electrocardiograms and nose tip temperature were recorded throughout the experiment. A visual analog scale and a scent questionnaire were subjective measures.</p><p><strong>Results: </strong>Apple aroma demonstrated a significantly smaller increase in heart rate (t [24] = 3.36, <i>p</i> = 0.008 vs. DPG, t [24] = 4.06, <i>p</i> = 0.001 vs. CHA), and a decrease in the high-frequency component of heart rate variability (t [24] = 2.81, <i>p</i> = 0.029 vs. DPG, t [24] = 3.48, <i>p</i> = 0.006 vs. CHA) compared to the other conditions, representing a smaller enhancement of cardiac sympathetic nervous system activity and smaller suppression of cardiac parasympathetic nervous system activity respectively.</p><p><strong>Conclusion: </strong>Apple aroma showed efficacy in alleviating the physiological stress response in terms of cardiac activity. Apple was also considered significantly preferable and comfortable compared to the other conditions, which would be beneficial in the context of aromatherapy.</p>\",\"PeriodicalId\":8871,\"journal\":{\"name\":\"Australian Journal of Psychology\",\"volume\":\"76 1\",\"pages\":\"2401022\"},\"PeriodicalIF\":1.6000,\"publicationDate\":\"2024-09-15\",\"publicationTypes\":\"Journal Article\",\"fieldsOfStudy\":null,\"isOpenAccess\":false,\"openAccessPdf\":\"https://www.ncbi.nlm.nih.gov/pmc/articles/PMC12218518/pdf/\",\"citationCount\":\"0\",\"resultStr\":null,\"platform\":\"Semanticscholar\",\"paperid\":null,\"PeriodicalName\":\"Australian Journal of Psychology\",\"FirstCategoryId\":\"102\",\"ListUrlMain\":\"https://doi.org/10.1080/00049530.2024.2401022\",\"RegionNum\":4,\"RegionCategory\":\"心理学\",\"ArticlePicture\":[],\"TitleCN\":null,\"AbstractTextCN\":null,\"PMCID\":null,\"EPubDate\":\"2024/1/1 0:00:00\",\"PubModel\":\"eCollection\",\"JCR\":\"Q1\",\"JCRName\":\"PSYCHOLOGY, MULTIDISCIPLINARY\",\"Score\":null,\"Total\":0}","platform":"Semanticscholar","paperid":null,"PeriodicalName":"Australian Journal of Psychology","FirstCategoryId":"102","ListUrlMain":"https://doi.org/10.1080/00049530.2024.2401022","RegionNum":4,"RegionCategory":"心理学","ArticlePicture":[],"TitleCN":null,"AbstractTextCN":null,"PMCID":null,"EPubDate":"2024/1/1 0:00:00","PubModel":"eCollection","JCR":"Q1","JCRName":"PSYCHOLOGY, MULTIDISCIPLINARY","Score":null,"Total":0}
引用次数: 0

摘要

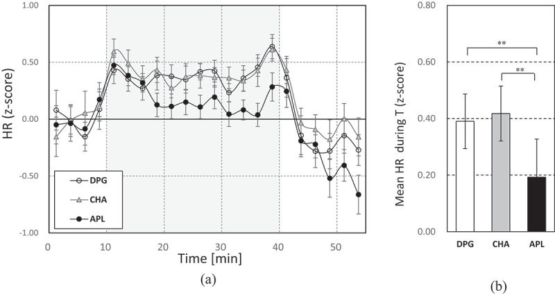
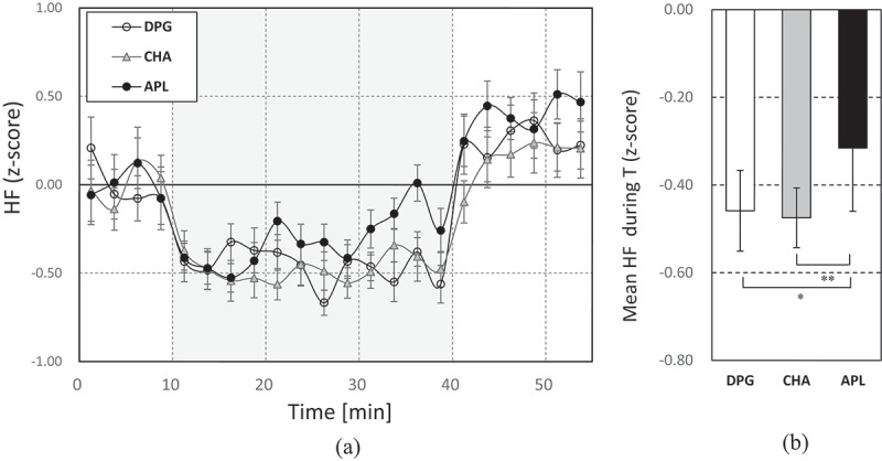
目的:研究苹果香气对短期认知应激源诱导的生理应激反应的缓解作用。研究了应激条件下苹果香气对心脏和周围自主神经系统活性的影响。方法:以25名健康男大学生为研究对象,在苹果、甘菊(CHA)和二丙二醇(DPG)三种条件下进行30分钟的计算任务。香气的施用得到了精确的控制和平衡。在整个实验过程中记录心脏活动的心电图和鼻尖温度。视觉模拟量表和气味问卷是主观测量。结果:苹果香气演示了一个小得多的增加心率(t [24] = 3.36, p = 0.008 vs DPG、t [24] = 4.06, p = 0.001 vs . CHA),并降低心率变异性的高频分量(t [24] = 2.81, p = 0.029 vs DPG、t [24] = 3.48, p = 0.006 vs . CHA)相比于其他条件,代表一个增强心脏交感神经系统的活动和小分别抑制心脏副交感神经系统的活动。结论:苹果香气在心脏活动方面具有减轻生理应激反应的作用。与其他条件相比,苹果也被认为是更可取和舒适的,这在芳香疗法的背景下是有益的。
本文章由计算机程序翻译,如有差异,请以英文原文为准。

Alleviation of physiological stress response by apple aroma.

Alleviation of physiological stress response by apple aroma.

Alleviation of physiological stress response by apple aroma.

Alleviation of physiological stress response by apple aroma.

Objective: The study evaluated the potential of apple aroma to alleviate physiological stress response induced by a short-term cognitive stressor. It investigated the effects of apple aroma on cardiac and peripheral autonomic nervous system activity under stressful conditions.

Methods: Within-subject experiments were conducted with 25 healthy male university students with a 30-minute calculation task under three conditions: Apple, Chamomile (CHA), and Di propylene glycol (DPG) (scentless air). The aroma administration was precisely controlled and counterbalanced. Cardiac activity on electrocardiograms and nose tip temperature were recorded throughout the experiment. A visual analog scale and a scent questionnaire were subjective measures.

Results: Apple aroma demonstrated a significantly smaller increase in heart rate (t [24] = 3.36, p = 0.008 vs. DPG, t [24] = 4.06, p = 0.001 vs. CHA), and a decrease in the high-frequency component of heart rate variability (t [24] = 2.81, p = 0.029 vs. DPG, t [24] = 3.48, p = 0.006 vs. CHA) compared to the other conditions, representing a smaller enhancement of cardiac sympathetic nervous system activity and smaller suppression of cardiac parasympathetic nervous system activity respectively.

Conclusion: Apple aroma showed efficacy in alleviating the physiological stress response in terms of cardiac activity. Apple was also considered significantly preferable and comfortable compared to the other conditions, which would be beneficial in the context of aromatherapy.

求助全文
通过发布文献求助,成功后即可免费获取论文全文。 去求助
来源期刊
Australian Journal of Psychology
Australian Journal of Psychology PSYCHOLOGY, MULTIDISCIPLINARY-
CiteScore
5.50
自引率
0.00%
发文量
19
期刊介绍: Australian Journal of Psychology is the premier scientific journal of the Australian Psychological Society. It covers the entire spectrum of psychological research and receives articles on all topics within the broad scope of the discipline. The journal publishes high quality peer-reviewed articles with reviewers and associate editors providing detailed assistance to authors to reach publication. The journal publishes reports of experimental and survey studies, including reports of qualitative investigations, on pure and applied topics in the field of psychology. Articles on clinical psychology or on the professional concerns of applied psychology should be submitted to our sister journals, Australian Psychologist or Clinical Psychologist. The journal publishes occasional reviews of specific topics, theoretical pieces and commentaries on methodological issues. There are also solicited book reviews and comments Annual special issues devoted to a single topic, and guest edited by a specialist editor, are published. The journal regards itself as international in vision and will accept submissions from psychologists in all countries.
×
引用
GB/T 7714-2015
复制
MLA
复制
APA
复制
导出至
BibTeX EndNote RefMan NoteFirst NoteExpress
×
提示
您的信息不完整,为了账户安全,请先补充。
现在去补充
×
提示
您因"违规操作"
具体请查看互助需知
我知道了
×
提示
确定
请完成安全验证×
copy
已复制链接
快去分享给好友吧!
我知道了
右上角分享
点击右上角分享
0
联系我们:info@booksci.cn Book学术提供免费学术资源搜索服务,方便国内外学者检索中英文文献。致力于提供最便捷和优质的服务体验。 Copyright © 2023 布克学术 All rights reserved.
京ICP备2023020795号-1
ghs 京公网安备 11010802042870号
Book学术文献互助
Book学术文献互助群
群 号:604180095
Book学术官方微信