基于机器学习的早产儿支气管肺发育不良风险预测模型:一项高海拔队列研究。

IF 2.3 4区 医学 Q2 PEDIATRICS
Heng Zhang, Fei Wang, Ou Jiang, Yilin Lin, Lianfang Tang, Ziwei Li, Rui Ba, Xiaoyan Xu, Hongying Mi
{"title":"基于机器学习的早产儿支气管肺发育不良风险预测模型:一项高海拔队列研究。","authors":"Heng Zhang, Fei Wang, Ou Jiang, Yilin Lin, Lianfang Tang, Ziwei Li, Rui Ba, Xiaoyan Xu, Hongying Mi","doi":"10.1136/bmjpo-2025-003652","DOIUrl":null,"url":null,"abstract":"<p><strong>Background: </strong>Bronchopulmonary dysplasia (BPD) is a significant cause of morbidity in preterm infants, yet its development and severity at high altitudes (>1500 m) remain poorly understood. This study aimed to identify altitude-specific risk factors and develop robust, interpretable predictive models for BPD in this unique population.</p><p><strong>Methods: </strong>In this retrospective matched cohort study, 378 preterm infants (<32 weeks gestation, <1500 g birth weight) admitted to a high-altitude (1500 m) NICU(Neonatal Intensive Care Unit) between 2019 and 2023 were analysed. The cohort included 189 BPD cases (91 mild, 61 moderate, 37 severe) and 189 matched controls. Maternal, perinatal and postnatal data were collected. Machine learning models (XGBoost, logistic regression, random forest) were developed and rigorously evaluated using comprehensive performance metrics to predict BPD occurrence and severity. SHAP (SHapley Additive exPlanations) analysis was employed to interpret the best-performing model.</p><p><strong>Results: </strong>Key risk factors for BPD development included maternal hypertension (OR 2.31, 95% CI 1.56 to 3.42), initial oxygen requirement >30% (OR 3.15, 95% CI 2.13 to 4.65) and lack of exclusive breast milk feeding (OR 1.89, 95% CI 1.28 to 2.79). Severe BPD was independently associated with prolonged invasive ventilation (>7 days) (OR 4.12, 95% CI 2.78 to 6.11), elevated C reactive protein (>10 mg/L) (OR 2.87, 95% CI 1.93 to 4.26) and patent ductus arteriosus (OR 2.53, 95% CI 1.71 to 3.74). Machine learning models demonstrated strong predictive performance; the optimal XGBoost model achieved an area under the curve of 0.89 (95% CI 0.85 to 0.93), an F1 score of 0.82, a Matthews Correlation Coefficient of 0.73 and a balanced accuracy of 0.85. SHAP analysis identified initial FiO2 >30%, mechanical ventilation and maternal hypertension as the top three most influential predictors for the XGBoost model.</p><p><strong>Conclusions: </strong>This study provides the first comprehensive analysis of BPD risk factors at a specific high altitude and validates effective, interpretable machine learning models for its prediction. These findings highlight the critical importance of altitude-specific adjustments in risk assessment and emphasise the potential for model-guided early interventions to improve outcomes for this vulnerable population.</p>","PeriodicalId":9069,"journal":{"name":"BMJ Paediatrics Open","volume":"9 1","pages":""},"PeriodicalIF":2.3000,"publicationDate":"2025-07-13","publicationTypes":"Journal Article","fieldsOfStudy":null,"isOpenAccess":false,"openAccessPdf":"https://www.ncbi.nlm.nih.gov/pmc/articles/PMC12258350/pdf/","citationCount":"0","resultStr":"{\"title\":\"Machine learning-based risk prediction models for bronchopulmonary dysplasia in preterm infants: a high-altitude cohort study.\",\"authors\":\"Heng Zhang, Fei Wang, Ou Jiang, Yilin Lin, Lianfang Tang, Ziwei Li, Rui Ba, Xiaoyan Xu, Hongying Mi\",\"doi\":\"10.1136/bmjpo-2025-003652\",\"DOIUrl\":null,\"url\":null,\"abstract\":\"<p><strong>Background: </strong>Bronchopulmonary dysplasia (BPD) is a significant cause of morbidity in preterm infants, yet its development and severity at high altitudes (>1500 m) remain poorly understood. This study aimed to identify altitude-specific risk factors and develop robust, interpretable predictive models for BPD in this unique population.</p><p><strong>Methods: </strong>In this retrospective matched cohort study, 378 preterm infants (<32 weeks gestation, <1500 g birth weight) admitted to a high-altitude (1500 m) NICU(Neonatal Intensive Care Unit) between 2019 and 2023 were analysed. The cohort included 189 BPD cases (91 mild, 61 moderate, 37 severe) and 189 matched controls. Maternal, perinatal and postnatal data were collected. Machine learning models (XGBoost, logistic regression, random forest) were developed and rigorously evaluated using comprehensive performance metrics to predict BPD occurrence and severity. SHAP (SHapley Additive exPlanations) analysis was employed to interpret the best-performing model.</p><p><strong>Results: </strong>Key risk factors for BPD development included maternal hypertension (OR 2.31, 95% CI 1.56 to 3.42), initial oxygen requirement >30% (OR 3.15, 95% CI 2.13 to 4.65) and lack of exclusive breast milk feeding (OR 1.89, 95% CI 1.28 to 2.79). Severe BPD was independently associated with prolonged invasive ventilation (>7 days) (OR 4.12, 95% CI 2.78 to 6.11), elevated C reactive protein (>10 mg/L) (OR 2.87, 95% CI 1.93 to 4.26) and patent ductus arteriosus (OR 2.53, 95% CI 1.71 to 3.74). Machine learning models demonstrated strong predictive performance; the optimal XGBoost model achieved an area under the curve of 0.89 (95% CI 0.85 to 0.93), an F1 score of 0.82, a Matthews Correlation Coefficient of 0.73 and a balanced accuracy of 0.85. SHAP analysis identified initial FiO2 >30%, mechanical ventilation and maternal hypertension as the top three most influential predictors for the XGBoost model.</p><p><strong>Conclusions: </strong>This study provides the first comprehensive analysis of BPD risk factors at a specific high altitude and validates effective, interpretable machine learning models for its prediction. These findings highlight the critical importance of altitude-specific adjustments in risk assessment and emphasise the potential for model-guided early interventions to improve outcomes for this vulnerable population.</p>\",\"PeriodicalId\":9069,\"journal\":{\"name\":\"BMJ Paediatrics Open\",\"volume\":\"9 1\",\"pages\":\"\"},\"PeriodicalIF\":2.3000,\"publicationDate\":\"2025-07-13\",\"publicationTypes\":\"Journal Article\",\"fieldsOfStudy\":null,\"isOpenAccess\":false,\"openAccessPdf\":\"https://www.ncbi.nlm.nih.gov/pmc/articles/PMC12258350/pdf/\",\"citationCount\":\"0\",\"resultStr\":null,\"platform\":\"Semanticscholar\",\"paperid\":null,\"PeriodicalName\":\"BMJ Paediatrics Open\",\"FirstCategoryId\":\"3\",\"ListUrlMain\":\"https://doi.org/10.1136/bmjpo-2025-003652\",\"RegionNum\":4,\"RegionCategory\":\"医学\",\"ArticlePicture\":[],\"TitleCN\":null,\"AbstractTextCN\":null,\"PMCID\":null,\"EPubDate\":\"\",\"PubModel\":\"\",\"JCR\":\"Q2\",\"JCRName\":\"PEDIATRICS\",\"Score\":null,\"Total\":0}","platform":"Semanticscholar","paperid":null,"PeriodicalName":"BMJ Paediatrics Open","FirstCategoryId":"3","ListUrlMain":"https://doi.org/10.1136/bmjpo-2025-003652","RegionNum":4,"RegionCategory":"医学","ArticlePicture":[],"TitleCN":null,"AbstractTextCN":null,"PMCID":null,"EPubDate":"","PubModel":"","JCR":"Q2","JCRName":"PEDIATRICS","Score":null,"Total":0}
引用次数: 0

摘要

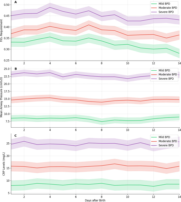
背景:支气管肺发育不良(BPD)是早产儿发病的重要原因,但其在高海拔地区(海拔1500米以下)的发展和严重程度仍知之甚少。本研究旨在确定海拔特定的风险因素,并在这一独特人群中建立可靠的、可解释的BPD预测模型。方法:在这项回顾性匹配队列研究中,378名早产儿(结果:BPD发展的关键危险因素包括产妇高血压(OR 2.31, 95% CI 1.56至3.42),初始需氧量bbb30 % (OR 3.15, 95% CI 2.13至4.65)和缺乏纯母乳喂养(OR 1.89, 95% CI 1.28至2.79)。重度BPD与有创通气时间延长(>7天)(OR 4.12, 95% CI 2.78 ~ 6.11)、C反应蛋白升高(>10 mg/L) (OR 2.87, 95% CI 1.93 ~ 4.26)和动脉导管未闭(OR 2.53, 95% CI 1.71 ~ 3.74)独立相关。机器学习模型表现出较强的预测性能;最佳XGBoost模型的曲线下面积为0.89 (95% CI为0.85 ~ 0.93),F1得分为0.82,Matthews相关系数为0.73,平衡精度为0.85。SHAP分析发现,初始FiO2 >30%、机械通气和产妇高血压是XGBoost模型最具影响力的三个预测因素。结论:本研究首次对特定高海拔地区的BPD危险因素进行了全面分析,并验证了有效的、可解释的机器学习模型。这些发现强调了在风险评估中根据海拔高度进行调整的重要性,并强调了模型指导的早期干预措施对改善这一弱势群体的结果的潜力。
本文章由计算机程序翻译,如有差异,请以英文原文为准。

Machine learning-based risk prediction models for bronchopulmonary dysplasia in preterm infants: a high-altitude cohort study.

Machine learning-based risk prediction models for bronchopulmonary dysplasia in preterm infants: a high-altitude cohort study.

Machine learning-based risk prediction models for bronchopulmonary dysplasia in preterm infants: a high-altitude cohort study.

Machine learning-based risk prediction models for bronchopulmonary dysplasia in preterm infants: a high-altitude cohort study.

Background: Bronchopulmonary dysplasia (BPD) is a significant cause of morbidity in preterm infants, yet its development and severity at high altitudes (>1500 m) remain poorly understood. This study aimed to identify altitude-specific risk factors and develop robust, interpretable predictive models for BPD in this unique population.

Methods: In this retrospective matched cohort study, 378 preterm infants (<32 weeks gestation, <1500 g birth weight) admitted to a high-altitude (1500 m) NICU(Neonatal Intensive Care Unit) between 2019 and 2023 were analysed. The cohort included 189 BPD cases (91 mild, 61 moderate, 37 severe) and 189 matched controls. Maternal, perinatal and postnatal data were collected. Machine learning models (XGBoost, logistic regression, random forest) were developed and rigorously evaluated using comprehensive performance metrics to predict BPD occurrence and severity. SHAP (SHapley Additive exPlanations) analysis was employed to interpret the best-performing model.

Results: Key risk factors for BPD development included maternal hypertension (OR 2.31, 95% CI 1.56 to 3.42), initial oxygen requirement >30% (OR 3.15, 95% CI 2.13 to 4.65) and lack of exclusive breast milk feeding (OR 1.89, 95% CI 1.28 to 2.79). Severe BPD was independently associated with prolonged invasive ventilation (>7 days) (OR 4.12, 95% CI 2.78 to 6.11), elevated C reactive protein (>10 mg/L) (OR 2.87, 95% CI 1.93 to 4.26) and patent ductus arteriosus (OR 2.53, 95% CI 1.71 to 3.74). Machine learning models demonstrated strong predictive performance; the optimal XGBoost model achieved an area under the curve of 0.89 (95% CI 0.85 to 0.93), an F1 score of 0.82, a Matthews Correlation Coefficient of 0.73 and a balanced accuracy of 0.85. SHAP analysis identified initial FiO2 >30%, mechanical ventilation and maternal hypertension as the top three most influential predictors for the XGBoost model.

Conclusions: This study provides the first comprehensive analysis of BPD risk factors at a specific high altitude and validates effective, interpretable machine learning models for its prediction. These findings highlight the critical importance of altitude-specific adjustments in risk assessment and emphasise the potential for model-guided early interventions to improve outcomes for this vulnerable population.

求助全文
通过发布文献求助,成功后即可免费获取论文全文。 去求助
来源期刊
BMJ Paediatrics Open
BMJ Paediatrics Open Medicine-Pediatrics, Perinatology and Child Health
CiteScore
4.10
自引率
3.80%
发文量
124
×
引用
GB/T 7714-2015
复制
MLA
复制
APA
复制
导出至
BibTeX EndNote RefMan NoteFirst NoteExpress
×
提示
您的信息不完整,为了账户安全,请先补充。
现在去补充
×
提示
您因"违规操作"
具体请查看互助需知
我知道了
×
提示
确定
请完成安全验证×
copy
已复制链接
快去分享给好友吧!
我知道了
右上角分享
点击右上角分享
0
联系我们:info@booksci.cn Book学术提供免费学术资源搜索服务,方便国内外学者检索中英文文献。致力于提供最便捷和优质的服务体验。 Copyright © 2023 布克学术 All rights reserved.
京ICP备2023020795号-1
ghs 京公网安备 11010802042870号
Book学术文献互助
Book学术文献互助群
群 号:604180095
Book学术官方微信