实习时间和顺序对NBME学科考试成绩的影响。

IF 1.8 Q2 EDUCATION, SCIENTIFIC DISCIPLINES
Medical Science Educator Pub Date : 2025-02-17 eCollection Date: 2025-06-01 DOI:10.1007/s40670-025-02305-y
Megan Vaughan, Kory A Johnson, Christina R Bergin
{"title":"实习时间和顺序对NBME学科考试成绩的影响。","authors":"Megan Vaughan, Kory A Johnson, Christina R Bergin","doi":"10.1007/s40670-025-02305-y","DOIUrl":null,"url":null,"abstract":"<p><strong>Purpose: </strong>Core clerkships are foundational learning experiences, yet variability in duration exists across medical schools. Many institutions adjust core clinical experiences as part of curricular modifications to meet evolving needs in undergraduate medical education. We investigated if shortened Internal Medicine (IM) and Surgery clerkship lengths or if clerkship sequence within the academic year would have any impact on NBME subject exam scores.</p><p><strong>Methods: </strong>We examined four cohorts of third-year medical students from academic years 2017-2018, 2018-2019, 2019-2020, and 2021-2022. Individual student NBME subject exam data were compared, controlling for MCAT score and clerkship block sequence within the academic year.</p><p><strong>Results: </strong>We found no statistically significant differences in IM or Surgery NBME subject exam scores between the traditional clerkship length (2017-2019) and shortened clerkship length (2019-2022) groups. Mixed-effect regression analyses that included MCAT and block sequence as additional covariates confirmed there were no statistically significant differences in IM or Surgery exam scores between groups. Despite no change in length, the Psychiatry (<i>p</i> = 0.012) and Pediatrics (<i>p</i> = 0.036) clerkships had increased scores post-intervention on the mixed-effects model. MCAT scores were predictive of overall NBME scores on both ANCOVA and regression analyses (<i>p</i>-values ranging < 0.001 to 0.01). Finally, taking a clerkship later in the academic year was associated with increased NBME scores across all subjects (<i>p</i> < 0.001).</p><p><strong>Conclusions: </strong>Shortened clerkship length is not associated with lower performance on NBME subject exams. Clerkship sequence later in the academic year is associated with higher scores. Curricular reform resulting in reduced core clerkship duration may be undertaken without adverse impact on medical knowledge.</p><p><strong>Supplementary information: </strong>The online version contains supplementary material available at 10.1007/s40670-025-02305-y.</p>","PeriodicalId":37113,"journal":{"name":"Medical Science Educator","volume":"35 3","pages":"1313-1322"},"PeriodicalIF":1.8000,"publicationDate":"2025-02-17","publicationTypes":"Journal Article","fieldsOfStudy":null,"isOpenAccess":false,"openAccessPdf":"https://www.ncbi.nlm.nih.gov/pmc/articles/PMC12228629/pdf/","citationCount":"0","resultStr":"{\"title\":\"Impact of Clerkship Length and Sequence on NBME Subject Exam Performance.\",\"authors\":\"Megan Vaughan, Kory A Johnson, Christina R Bergin\",\"doi\":\"10.1007/s40670-025-02305-y\",\"DOIUrl\":null,\"url\":null,\"abstract\":\"<p><strong>Purpose: </strong>Core clerkships are foundational learning experiences, yet variability in duration exists across medical schools. Many institutions adjust core clinical experiences as part of curricular modifications to meet evolving needs in undergraduate medical education. We investigated if shortened Internal Medicine (IM) and Surgery clerkship lengths or if clerkship sequence within the academic year would have any impact on NBME subject exam scores.</p><p><strong>Methods: </strong>We examined four cohorts of third-year medical students from academic years 2017-2018, 2018-2019, 2019-2020, and 2021-2022. Individual student NBME subject exam data were compared, controlling for MCAT score and clerkship block sequence within the academic year.</p><p><strong>Results: </strong>We found no statistically significant differences in IM or Surgery NBME subject exam scores between the traditional clerkship length (2017-2019) and shortened clerkship length (2019-2022) groups. Mixed-effect regression analyses that included MCAT and block sequence as additional covariates confirmed there were no statistically significant differences in IM or Surgery exam scores between groups. Despite no change in length, the Psychiatry (<i>p</i> = 0.012) and Pediatrics (<i>p</i> = 0.036) clerkships had increased scores post-intervention on the mixed-effects model. MCAT scores were predictive of overall NBME scores on both ANCOVA and regression analyses (<i>p</i>-values ranging < 0.001 to 0.01). Finally, taking a clerkship later in the academic year was associated with increased NBME scores across all subjects (<i>p</i> < 0.001).</p><p><strong>Conclusions: </strong>Shortened clerkship length is not associated with lower performance on NBME subject exams. Clerkship sequence later in the academic year is associated with higher scores. Curricular reform resulting in reduced core clerkship duration may be undertaken without adverse impact on medical knowledge.</p><p><strong>Supplementary information: </strong>The online version contains supplementary material available at 10.1007/s40670-025-02305-y.</p>\",\"PeriodicalId\":37113,\"journal\":{\"name\":\"Medical Science Educator\",\"volume\":\"35 3\",\"pages\":\"1313-1322\"},\"PeriodicalIF\":1.8000,\"publicationDate\":\"2025-02-17\",\"publicationTypes\":\"Journal Article\",\"fieldsOfStudy\":null,\"isOpenAccess\":false,\"openAccessPdf\":\"https://www.ncbi.nlm.nih.gov/pmc/articles/PMC12228629/pdf/\",\"citationCount\":\"0\",\"resultStr\":null,\"platform\":\"Semanticscholar\",\"paperid\":null,\"PeriodicalName\":\"Medical Science Educator\",\"FirstCategoryId\":\"1085\",\"ListUrlMain\":\"https://doi.org/10.1007/s40670-025-02305-y\",\"RegionNum\":0,\"RegionCategory\":null,\"ArticlePicture\":[],\"TitleCN\":null,\"AbstractTextCN\":null,\"PMCID\":null,\"EPubDate\":\"2025/6/1 0:00:00\",\"PubModel\":\"eCollection\",\"JCR\":\"Q2\",\"JCRName\":\"EDUCATION, SCIENTIFIC DISCIPLINES\",\"Score\":null,\"Total\":0}","platform":"Semanticscholar","paperid":null,"PeriodicalName":"Medical Science Educator","FirstCategoryId":"1085","ListUrlMain":"https://doi.org/10.1007/s40670-025-02305-y","RegionNum":0,"RegionCategory":null,"ArticlePicture":[],"TitleCN":null,"AbstractTextCN":null,"PMCID":null,"EPubDate":"2025/6/1 0:00:00","PubModel":"eCollection","JCR":"Q2","JCRName":"EDUCATION, SCIENTIFIC DISCIPLINES","Score":null,"Total":0}
引用次数: 0

摘要

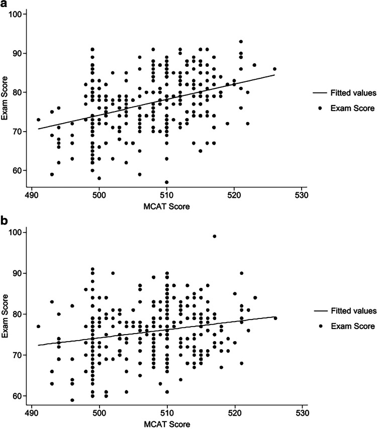
目的:核心见习是基础学习经验,但不同医学院的见习时间存在差异。许多机构调整核心临床经验作为课程修改的一部分,以满足不断变化的本科医学教育需求。我们调查了缩短内科(IM)和外科实习时间或学年内实习顺序是否会对NBME科目考试成绩产生影响。方法:我们对2017-2018学年、2018-2019学年、2019-2020学年和2021-2022学年的四组三年级医学生进行了研究。在控制MCAT成绩和学年内的实习顺序的情况下,比较个体学生NBME学科考试数据。结果:我们发现传统见习时间(2017-2019)组和缩短见习时间(2019-2022)组在IM或外科NBME科目考试成绩上无统计学差异。包括MCAT和block sequence作为附加协变量的混合效应回归分析证实,组间IM或外科考试成绩无统计学显著差异。尽管长度没有变化,精神病学(p = 0.012)和儿科(p = 0.036)办事员在混合效应模型干预后得分增加。在ANCOVA和回归分析中,MCAT分数可预测NBME总分(p值范围为p)。结论:缩短的实习时间与NBME科目考试成绩较低无关。在较晚的学年中担任见习顺序与较高的分数相关。可以在不影响医学知识的情况下进行课程改革,减少核心见习时间。补充信息:在线版本提供补充资料,网址为10.1007/s40670-025-02305-y。
本文章由计算机程序翻译,如有差异,请以英文原文为准。

Impact of Clerkship Length and Sequence on NBME Subject Exam Performance.

Impact of Clerkship Length and Sequence on NBME Subject Exam Performance.

Impact of Clerkship Length and Sequence on NBME Subject Exam Performance.

Impact of Clerkship Length and Sequence on NBME Subject Exam Performance.

Purpose: Core clerkships are foundational learning experiences, yet variability in duration exists across medical schools. Many institutions adjust core clinical experiences as part of curricular modifications to meet evolving needs in undergraduate medical education. We investigated if shortened Internal Medicine (IM) and Surgery clerkship lengths or if clerkship sequence within the academic year would have any impact on NBME subject exam scores.

Methods: We examined four cohorts of third-year medical students from academic years 2017-2018, 2018-2019, 2019-2020, and 2021-2022. Individual student NBME subject exam data were compared, controlling for MCAT score and clerkship block sequence within the academic year.

Results: We found no statistically significant differences in IM or Surgery NBME subject exam scores between the traditional clerkship length (2017-2019) and shortened clerkship length (2019-2022) groups. Mixed-effect regression analyses that included MCAT and block sequence as additional covariates confirmed there were no statistically significant differences in IM or Surgery exam scores between groups. Despite no change in length, the Psychiatry (p = 0.012) and Pediatrics (p = 0.036) clerkships had increased scores post-intervention on the mixed-effects model. MCAT scores were predictive of overall NBME scores on both ANCOVA and regression analyses (p-values ranging < 0.001 to 0.01). Finally, taking a clerkship later in the academic year was associated with increased NBME scores across all subjects (p < 0.001).

Conclusions: Shortened clerkship length is not associated with lower performance on NBME subject exams. Clerkship sequence later in the academic year is associated with higher scores. Curricular reform resulting in reduced core clerkship duration may be undertaken without adverse impact on medical knowledge.

Supplementary information: The online version contains supplementary material available at 10.1007/s40670-025-02305-y.

求助全文
通过发布文献求助,成功后即可免费获取论文全文。 去求助
来源期刊
Medical Science Educator
Medical Science Educator Social Sciences-Education
CiteScore
2.90
自引率
11.80%
发文量
202
期刊介绍: Medical Science Educator is the successor of the journal JIAMSE. It is the peer-reviewed publication of the International Association of Medical Science Educators (IAMSE). The Journal offers all who teach in healthcare the most current information to succeed in their task by publishing scholarly activities, opinions, and resources in medical science education. Published articles focus on teaching the sciences fundamental to modern medicine and health, and include basic science education, clinical teaching, and the use of modern education technologies. The Journal provides the readership a better understanding of teaching and learning techniques in order to advance medical science education.
×
引用
GB/T 7714-2015
复制
MLA
复制
APA
复制
导出至
BibTeX EndNote RefMan NoteFirst NoteExpress
×
提示
您的信息不完整,为了账户安全,请先补充。
现在去补充
×
提示
您因"违规操作"
具体请查看互助需知
我知道了
×
提示
确定
请完成安全验证×
copy
已复制链接
快去分享给好友吧!
我知道了
右上角分享
点击右上角分享
0
联系我们:info@booksci.cn Book学术提供免费学术资源搜索服务,方便国内外学者检索中英文文献。致力于提供最便捷和优质的服务体验。 Copyright © 2023 布克学术 All rights reserved.
京ICP备2023020795号-1
ghs 京公网安备 11010802042870号
Book学术文献互助
Book学术文献互助群
群 号:604180095
Book学术官方微信