术前阿片类药物滥用与脊柱手术后延迟阿片类药物停止、疼痛和负面影响的关联

IF 3.6 2区 医学 Q1 CLINICAL NEUROLOGY
Neurospine Pub Date : 2025-06-01 Epub Date: 2025-06-30 DOI:10.14245/ns.2550394.197
Jennifer M Hah, Shana C Levine, Saneel Khairnar, Luke Pirrotta, Alma Rechav Ben-Natan, Emily Tse, Gabrielle Hettie, Todd Alamin, Anand Veeravagu, Serena Hu, Tina Hernandez-Boussard
{"title":"术前阿片类药物滥用与脊柱手术后延迟阿片类药物停止、疼痛和负面影响的关联","authors":"Jennifer M Hah, Shana C Levine, Saneel Khairnar, Luke Pirrotta, Alma Rechav Ben-Natan, Emily Tse, Gabrielle Hettie, Todd Alamin, Anand Veeravagu, Serena Hu, Tina Hernandez-Boussard","doi":"10.14245/ns.2550394.197","DOIUrl":null,"url":null,"abstract":"<p><strong>Objective: </strong>Preoperative opioid misuse is associated with worse postoperative outcomes. This prospective longitudinal cohort study evaluated the association between preoperative opioid misuse and prolonged pain and opioid use after elective spine surgery; and examined postoperative trajectories of patient-reported outcomes over one year.</p><p><strong>Methods: </strong>Fifty-two patients undergoing elective spine surgery completed presurgical and weekly postoperative longitudinal assessments of pain and opioid use and monthly assessments of depression, anxiety, sleep disturbance, and physical function. Cox regression analyzed the effect of preoperative opioid misuse on time to pain and opioid cessation while linear mixed-effects models examined longitudinal changes in postoperative outcomes.</p><p><strong>Results: </strong>Adjusting for age, sex, operative region, number of spinal levels, and any preoperative opioid use, preoperative opioid misuse (COMM-Positive) was associated with a delayed return to baseline opioid dose (hazard ratio [HR], 0.35; 95% confidence interval [CI], 0.14-0.88; p=0.02) and delayed opioid cessation (HR, 0.25; 95% CI, 0.09-0.59; p=0.008). All patients experienced comparable reductions in current and average pain intensity, and pain interference over time. COMM-Positive patients reported a normalization of postoperative anxiety and depression 1 month after surgery with a rebound at 3 months while patients without preoperative opioid misuse remained stable over time.</p><p><strong>Conclusion: </strong>Preoperative opioid misuse is a significant risk factor for delayed opioid cessation even after adjusting for preoperative opioid use, and is associated with a transient normalization of anxiety and depressive symptoms with a rebound 3 months following spine surgery. Targeted screening and risk reduction strategies are needed for patients reporting preoperative opioid misuse before spine surgery.</p>","PeriodicalId":19269,"journal":{"name":"Neurospine","volume":"22 2","pages":"451-464"},"PeriodicalIF":3.6000,"publicationDate":"2025-06-01","publicationTypes":"Journal Article","fieldsOfStudy":null,"isOpenAccess":false,"openAccessPdf":"https://www.ncbi.nlm.nih.gov/pmc/articles/PMC12242735/pdf/","citationCount":"0","resultStr":"{\"title\":\"Preoperative Opioid Misuse Associations With Delayed Opioid Cessation, Pain, and Negative Affect After Spine Surgery.\",\"authors\":\"Jennifer M Hah, Shana C Levine, Saneel Khairnar, Luke Pirrotta, Alma Rechav Ben-Natan, Emily Tse, Gabrielle Hettie, Todd Alamin, Anand Veeravagu, Serena Hu, Tina Hernandez-Boussard\",\"doi\":\"10.14245/ns.2550394.197\",\"DOIUrl\":null,\"url\":null,\"abstract\":\"<p><strong>Objective: </strong>Preoperative opioid misuse is associated with worse postoperative outcomes. This prospective longitudinal cohort study evaluated the association between preoperative opioid misuse and prolonged pain and opioid use after elective spine surgery; and examined postoperative trajectories of patient-reported outcomes over one year.</p><p><strong>Methods: </strong>Fifty-two patients undergoing elective spine surgery completed presurgical and weekly postoperative longitudinal assessments of pain and opioid use and monthly assessments of depression, anxiety, sleep disturbance, and physical function. Cox regression analyzed the effect of preoperative opioid misuse on time to pain and opioid cessation while linear mixed-effects models examined longitudinal changes in postoperative outcomes.</p><p><strong>Results: </strong>Adjusting for age, sex, operative region, number of spinal levels, and any preoperative opioid use, preoperative opioid misuse (COMM-Positive) was associated with a delayed return to baseline opioid dose (hazard ratio [HR], 0.35; 95% confidence interval [CI], 0.14-0.88; p=0.02) and delayed opioid cessation (HR, 0.25; 95% CI, 0.09-0.59; p=0.008). All patients experienced comparable reductions in current and average pain intensity, and pain interference over time. COMM-Positive patients reported a normalization of postoperative anxiety and depression 1 month after surgery with a rebound at 3 months while patients without preoperative opioid misuse remained stable over time.</p><p><strong>Conclusion: </strong>Preoperative opioid misuse is a significant risk factor for delayed opioid cessation even after adjusting for preoperative opioid use, and is associated with a transient normalization of anxiety and depressive symptoms with a rebound 3 months following spine surgery. Targeted screening and risk reduction strategies are needed for patients reporting preoperative opioid misuse before spine surgery.</p>\",\"PeriodicalId\":19269,\"journal\":{\"name\":\"Neurospine\",\"volume\":\"22 2\",\"pages\":\"451-464\"},\"PeriodicalIF\":3.6000,\"publicationDate\":\"2025-06-01\",\"publicationTypes\":\"Journal Article\",\"fieldsOfStudy\":null,\"isOpenAccess\":false,\"openAccessPdf\":\"https://www.ncbi.nlm.nih.gov/pmc/articles/PMC12242735/pdf/\",\"citationCount\":\"0\",\"resultStr\":null,\"platform\":\"Semanticscholar\",\"paperid\":null,\"PeriodicalName\":\"Neurospine\",\"FirstCategoryId\":\"3\",\"ListUrlMain\":\"https://doi.org/10.14245/ns.2550394.197\",\"RegionNum\":2,\"RegionCategory\":\"医学\",\"ArticlePicture\":[],\"TitleCN\":null,\"AbstractTextCN\":null,\"PMCID\":null,\"EPubDate\":\"2025/6/30 0:00:00\",\"PubModel\":\"Epub\",\"JCR\":\"Q1\",\"JCRName\":\"CLINICAL NEUROLOGY\",\"Score\":null,\"Total\":0}","platform":"Semanticscholar","paperid":null,"PeriodicalName":"Neurospine","FirstCategoryId":"3","ListUrlMain":"https://doi.org/10.14245/ns.2550394.197","RegionNum":2,"RegionCategory":"医学","ArticlePicture":[],"TitleCN":null,"AbstractTextCN":null,"PMCID":null,"EPubDate":"2025/6/30 0:00:00","PubModel":"Epub","JCR":"Q1","JCRName":"CLINICAL NEUROLOGY","Score":null,"Total":0}
引用次数: 0

摘要

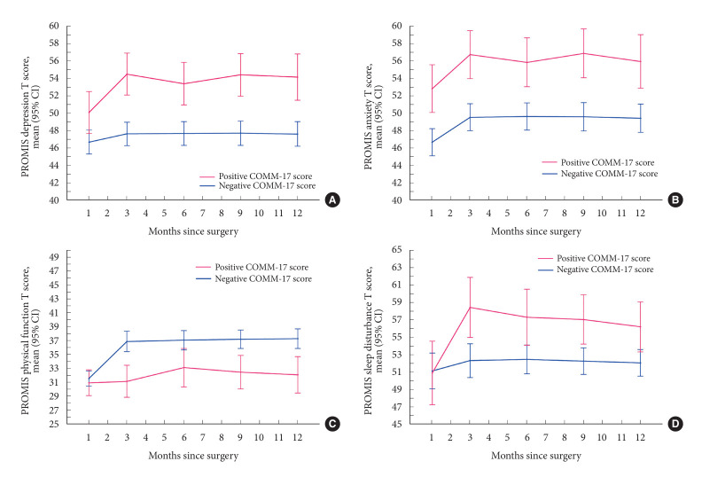
目的:术前阿片类药物滥用与较差的术后预后相关。这项前瞻性纵向队列研究评估了术前阿片类药物滥用与选择性脊柱手术后持续疼痛和阿片类药物使用之间的关系;并检查了一年内患者报告结果的术后轨迹。方法:52例接受择期脊柱手术的患者完成了术前和术后每周的疼痛和阿片类药物使用纵向评估,以及每月的抑郁、焦虑、睡眠障碍和身体功能评估。Cox回归分析了术前阿片类药物滥用对疼痛时间和阿片类药物停止的影响,而线性混合效应模型研究了术后结局的纵向变化。结果:调整年龄、性别、手术区域、脊柱水平数和任何术前阿片类药物使用后,术前阿片类药物滥用(COMM-Positive)与延迟恢复到基线阿片类药物剂量相关(风险比[HR], 0.35;95%置信区间[CI], 0.14-0.88;p=0.02)和延迟阿片类药物停止(HR, 0.25;95% ci, 0.09-0.59;p = 0.008)。所有患者均经历了当前和平均疼痛强度的相当程度的减轻,并且随着时间的推移疼痛受到干扰。com阳性患者报告术后1个月焦虑和抑郁恢复正常,术后3个月出现反弹,而术前没有阿片类药物滥用的患者随着时间的推移保持稳定。结论:术前阿片类药物滥用是延迟阿片类药物停止的重要危险因素,即使在调整术前阿片类药物使用后也是如此,并且与脊柱手术后3个月焦虑和抑郁症状的短暂正常化有关。脊柱手术前报告术前阿片类药物滥用的患者需要有针对性的筛查和降低风险的策略。
本文章由计算机程序翻译,如有差异,请以英文原文为准。

Preoperative Opioid Misuse Associations With Delayed Opioid Cessation, Pain, and Negative Affect After Spine Surgery.

Preoperative Opioid Misuse Associations With Delayed Opioid Cessation, Pain, and Negative Affect After Spine Surgery.

Preoperative Opioid Misuse Associations With Delayed Opioid Cessation, Pain, and Negative Affect After Spine Surgery.

Preoperative Opioid Misuse Associations With Delayed Opioid Cessation, Pain, and Negative Affect After Spine Surgery.

Objective: Preoperative opioid misuse is associated with worse postoperative outcomes. This prospective longitudinal cohort study evaluated the association between preoperative opioid misuse and prolonged pain and opioid use after elective spine surgery; and examined postoperative trajectories of patient-reported outcomes over one year.

Methods: Fifty-two patients undergoing elective spine surgery completed presurgical and weekly postoperative longitudinal assessments of pain and opioid use and monthly assessments of depression, anxiety, sleep disturbance, and physical function. Cox regression analyzed the effect of preoperative opioid misuse on time to pain and opioid cessation while linear mixed-effects models examined longitudinal changes in postoperative outcomes.

Results: Adjusting for age, sex, operative region, number of spinal levels, and any preoperative opioid use, preoperative opioid misuse (COMM-Positive) was associated with a delayed return to baseline opioid dose (hazard ratio [HR], 0.35; 95% confidence interval [CI], 0.14-0.88; p=0.02) and delayed opioid cessation (HR, 0.25; 95% CI, 0.09-0.59; p=0.008). All patients experienced comparable reductions in current and average pain intensity, and pain interference over time. COMM-Positive patients reported a normalization of postoperative anxiety and depression 1 month after surgery with a rebound at 3 months while patients without preoperative opioid misuse remained stable over time.

Conclusion: Preoperative opioid misuse is a significant risk factor for delayed opioid cessation even after adjusting for preoperative opioid use, and is associated with a transient normalization of anxiety and depressive symptoms with a rebound 3 months following spine surgery. Targeted screening and risk reduction strategies are needed for patients reporting preoperative opioid misuse before spine surgery.

求助全文
通过发布文献求助,成功后即可免费获取论文全文。 去求助
来源期刊
Neurospine
Neurospine Multiple-
CiteScore
5.80
自引率
18.80%
发文量
93
审稿时长
10 weeks
×
引用
GB/T 7714-2015
复制
MLA
复制
APA
复制
导出至
BibTeX EndNote RefMan NoteFirst NoteExpress
×
提示
您的信息不完整,为了账户安全,请先补充。
现在去补充
×
提示
您因"违规操作"
具体请查看互助需知
我知道了
×
提示
确定
请完成安全验证×
copy
已复制链接
快去分享给好友吧!
我知道了
右上角分享
点击右上角分享
0
联系我们:info@booksci.cn Book学术提供免费学术资源搜索服务,方便国内外学者检索中英文文献。致力于提供最便捷和优质的服务体验。 Copyright © 2023 布克学术 All rights reserved.
京ICP备2023020795号-1
ghs 京公网安备 11010802042870号
Book学术文献互助
Book学术文献互助群
群 号:604180095
Book学术官方微信