Wilson病中神经和认知功能的萎缩相关神经成像生物标志物。

IF 3.2 Q2 Medicine
Ann Carolin Hausmann, Christian Rubbert, Silja K Querbach, Vivien Lorena Ivan, Alfons Schnitzler, Christian Johannes Hartmann, Julian Caspers
{"title":"Wilson病中神经和认知功能的萎缩相关神经成像生物标志物。","authors":"Ann Carolin Hausmann, Christian Rubbert, Silja K Querbach, Vivien Lorena Ivan, Alfons Schnitzler, Christian Johannes Hartmann, Julian Caspers","doi":"10.1186/s42466-025-00401-3","DOIUrl":null,"url":null,"abstract":"<p><strong>Background: </strong>Although brain atrophy is a prevalent finding in Wilson disease (WD), its role as a contributing factor to clinical symptoms, especially cognitive decline, remains unclear. The objective of this study was to investigate different neuroimaging biomarkers related to grey matter atrophy and their relationship with neurological and cognitive impairment in WD.</p><p><strong>Methods: </strong>In this study, 30 WD patients and 30 age- and sex-matched healthy controls were enrolled prospectively and underwent structural magnetic resonance imaging (MRI). Regional atrophy was evaluated using established linear radiological measurements and the automated workflow volumetric estimation of gross atrophy and brain age longitudinally (veganbagel) for age- and sex-specific estimations of regional brain volume changes. Brain Age Gap Estimate (BrainAGE), defined as the discrepancy between machine learning predicted brain age from structural MRI and chronological age, was assessed using an established model. Atrophy markers and clinical scores were compared between 19 WD patients with a neurological phenotype (neuro-WD), 11 WD patients with a hepatic phenotype (hep-WD), and a healthy control group using Welch's ANOVA or Kruskal-Wallis test. Correlations between atrophy markers and neurological and neuropsychological scores were investigated using Spearman's correlation coefficients.</p><p><strong>Results: </strong>Patients with neuro-WD demonstrated increased third ventricle width and bicaudate index, along with significant striatal-thalamic atrophy patterns that correlated with global cognitive function, mental processing speed, and verbal memory. Median BrainAGE was significantly higher in patients with neuro-WD (8.97 years, interquartile range [IQR] = 5.62-15.73) compared to those with hep-WD (4.72 years, IQR = 0.00-5.48) and healthy controls (0.46 years, IQR = - 4.11-4.24). Striatal-thalamic atrophy and BrainAGE were significantly correlated with neurological symptom severity.</p><p><strong>Conclusions: </strong>Our findings indicate advanced predicted brain age and substantial striatal-thalamic atrophy patterns in patients with neuro-WD, which serve as promising neuroimaging biomarkers for neurological and cognitive functions in treated, chronic WD.</p>","PeriodicalId":94156,"journal":{"name":"Neurological research and practice","volume":"7 1","pages":"47"},"PeriodicalIF":3.2000,"publicationDate":"2025-07-01","publicationTypes":"Journal Article","fieldsOfStudy":null,"isOpenAccess":false,"openAccessPdf":"https://www.ncbi.nlm.nih.gov/pmc/articles/PMC12217823/pdf/","citationCount":"0","resultStr":"{\"title\":\"Atrophy related neuroimaging biomarkers for neurological and cognitive function in Wilson disease.\",\"authors\":\"Ann Carolin Hausmann, Christian Rubbert, Silja K Querbach, Vivien Lorena Ivan, Alfons Schnitzler, Christian Johannes Hartmann, Julian Caspers\",\"doi\":\"10.1186/s42466-025-00401-3\",\"DOIUrl\":null,\"url\":null,\"abstract\":\"<p><strong>Background: </strong>Although brain atrophy is a prevalent finding in Wilson disease (WD), its role as a contributing factor to clinical symptoms, especially cognitive decline, remains unclear. The objective of this study was to investigate different neuroimaging biomarkers related to grey matter atrophy and their relationship with neurological and cognitive impairment in WD.</p><p><strong>Methods: </strong>In this study, 30 WD patients and 30 age- and sex-matched healthy controls were enrolled prospectively and underwent structural magnetic resonance imaging (MRI). Regional atrophy was evaluated using established linear radiological measurements and the automated workflow volumetric estimation of gross atrophy and brain age longitudinally (veganbagel) for age- and sex-specific estimations of regional brain volume changes. Brain Age Gap Estimate (BrainAGE), defined as the discrepancy between machine learning predicted brain age from structural MRI and chronological age, was assessed using an established model. Atrophy markers and clinical scores were compared between 19 WD patients with a neurological phenotype (neuro-WD), 11 WD patients with a hepatic phenotype (hep-WD), and a healthy control group using Welch's ANOVA or Kruskal-Wallis test. Correlations between atrophy markers and neurological and neuropsychological scores were investigated using Spearman's correlation coefficients.</p><p><strong>Results: </strong>Patients with neuro-WD demonstrated increased third ventricle width and bicaudate index, along with significant striatal-thalamic atrophy patterns that correlated with global cognitive function, mental processing speed, and verbal memory. Median BrainAGE was significantly higher in patients with neuro-WD (8.97 years, interquartile range [IQR] = 5.62-15.73) compared to those with hep-WD (4.72 years, IQR = 0.00-5.48) and healthy controls (0.46 years, IQR = - 4.11-4.24). Striatal-thalamic atrophy and BrainAGE were significantly correlated with neurological symptom severity.</p><p><strong>Conclusions: </strong>Our findings indicate advanced predicted brain age and substantial striatal-thalamic atrophy patterns in patients with neuro-WD, which serve as promising neuroimaging biomarkers for neurological and cognitive functions in treated, chronic WD.</p>\",\"PeriodicalId\":94156,\"journal\":{\"name\":\"Neurological research and practice\",\"volume\":\"7 1\",\"pages\":\"47\"},\"PeriodicalIF\":3.2000,\"publicationDate\":\"2025-07-01\",\"publicationTypes\":\"Journal Article\",\"fieldsOfStudy\":null,\"isOpenAccess\":false,\"openAccessPdf\":\"https://www.ncbi.nlm.nih.gov/pmc/articles/PMC12217823/pdf/\",\"citationCount\":\"0\",\"resultStr\":null,\"platform\":\"Semanticscholar\",\"paperid\":null,\"PeriodicalName\":\"Neurological research and practice\",\"FirstCategoryId\":\"1085\",\"ListUrlMain\":\"https://doi.org/10.1186/s42466-025-00401-3\",\"RegionNum\":0,\"RegionCategory\":null,\"ArticlePicture\":[],\"TitleCN\":null,\"AbstractTextCN\":null,\"PMCID\":null,\"EPubDate\":\"\",\"PubModel\":\"\",\"JCR\":\"Q2\",\"JCRName\":\"Medicine\",\"Score\":null,\"Total\":0}","platform":"Semanticscholar","paperid":null,"PeriodicalName":"Neurological research and practice","FirstCategoryId":"1085","ListUrlMain":"https://doi.org/10.1186/s42466-025-00401-3","RegionNum":0,"RegionCategory":null,"ArticlePicture":[],"TitleCN":null,"AbstractTextCN":null,"PMCID":null,"EPubDate":"","PubModel":"","JCR":"Q2","JCRName":"Medicine","Score":null,"Total":0}
引用次数: 0

摘要

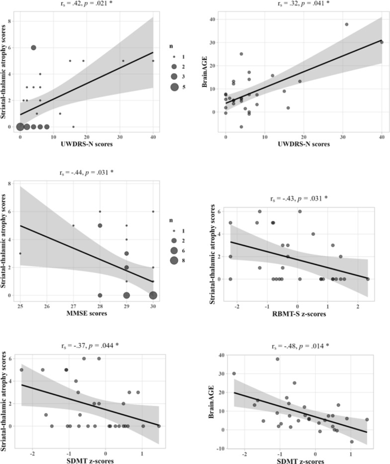
背景:虽然脑萎缩是威尔逊病(WD)的普遍发现,但其作为临床症状,特别是认知能力下降的一个促成因素的作用尚不清楚。本研究的目的是探讨与灰质萎缩相关的不同神经成像生物标志物及其与WD患者神经和认知功能障碍的关系。方法:本研究前瞻性地纳入30例WD患者和30例年龄和性别匹配的健康对照,并进行结构磁共振成像(MRI)检查。使用已建立的线性放射测量和总萎缩和脑年龄纵向(素食百吉饼)的自动工作流程容量估计来评估区域脑容量变化的年龄和性别特异性。脑年龄差距估计(BrainAGE),定义为机器学习从结构MRI预测的脑年龄与实足年龄之间的差异,使用已建立的模型进行评估。采用Welch's ANOVA或Kruskal-Wallis检验比较19例神经表型(neurod -WD)的WD患者、11例肝脏表型(hep-WD)的WD患者和健康对照组的萎缩标志物和临床评分。采用Spearman相关系数研究萎缩标志物与神经学和神经心理学评分之间的相关性。结果:神经性wd患者表现出第三脑室宽度和双核指数增加,纹状体-丘脑显著萎缩,与整体认知功能、心理处理速度和言语记忆相关。神经型wd患者的中位脑龄(8.97岁,四分位间距[IQR] = 5.62-15.73)明显高于肝型wd患者(4.72岁,IQR = 0.00-5.48)和健康对照组(0.46岁,IQR = - 4.11-4.24)。纹状体-丘脑萎缩和脑龄与神经症状严重程度显著相关。结论:我们的研究结果表明,神经型WD患者的预测脑年龄和大量纹状体-丘脑萎缩模式,可以作为治疗后慢性WD患者神经和认知功能的有希望的神经成像生物标志物。
本文章由计算机程序翻译,如有差异,请以英文原文为准。

Atrophy related neuroimaging biomarkers for neurological and cognitive function in Wilson disease.

Atrophy related neuroimaging biomarkers for neurological and cognitive function in Wilson disease.

Atrophy related neuroimaging biomarkers for neurological and cognitive function in Wilson disease.

Atrophy related neuroimaging biomarkers for neurological and cognitive function in Wilson disease.

Background: Although brain atrophy is a prevalent finding in Wilson disease (WD), its role as a contributing factor to clinical symptoms, especially cognitive decline, remains unclear. The objective of this study was to investigate different neuroimaging biomarkers related to grey matter atrophy and their relationship with neurological and cognitive impairment in WD.

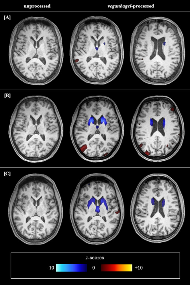
Methods: In this study, 30 WD patients and 30 age- and sex-matched healthy controls were enrolled prospectively and underwent structural magnetic resonance imaging (MRI). Regional atrophy was evaluated using established linear radiological measurements and the automated workflow volumetric estimation of gross atrophy and brain age longitudinally (veganbagel) for age- and sex-specific estimations of regional brain volume changes. Brain Age Gap Estimate (BrainAGE), defined as the discrepancy between machine learning predicted brain age from structural MRI and chronological age, was assessed using an established model. Atrophy markers and clinical scores were compared between 19 WD patients with a neurological phenotype (neuro-WD), 11 WD patients with a hepatic phenotype (hep-WD), and a healthy control group using Welch's ANOVA or Kruskal-Wallis test. Correlations between atrophy markers and neurological and neuropsychological scores were investigated using Spearman's correlation coefficients.

Results: Patients with neuro-WD demonstrated increased third ventricle width and bicaudate index, along with significant striatal-thalamic atrophy patterns that correlated with global cognitive function, mental processing speed, and verbal memory. Median BrainAGE was significantly higher in patients with neuro-WD (8.97 years, interquartile range [IQR] = 5.62-15.73) compared to those with hep-WD (4.72 years, IQR = 0.00-5.48) and healthy controls (0.46 years, IQR = - 4.11-4.24). Striatal-thalamic atrophy and BrainAGE were significantly correlated with neurological symptom severity.

Conclusions: Our findings indicate advanced predicted brain age and substantial striatal-thalamic atrophy patterns in patients with neuro-WD, which serve as promising neuroimaging biomarkers for neurological and cognitive functions in treated, chronic WD.

求助全文
通过发布文献求助,成功后即可免费获取论文全文。 去求助
来源期刊
CiteScore
7.40
自引率
0.00%
发文量
0
审稿时长
14 weeks
×
引用
GB/T 7714-2015
复制
MLA
复制
APA
复制
导出至
BibTeX EndNote RefMan NoteFirst NoteExpress
×
提示
您的信息不完整,为了账户安全,请先补充。
现在去补充
×
提示
您因"违规操作"
具体请查看互助需知
我知道了
×
提示
确定
请完成安全验证×
copy
已复制链接
快去分享给好友吧!
我知道了
右上角分享
点击右上角分享
0
联系我们:info@booksci.cn Book学术提供免费学术资源搜索服务,方便国内外学者检索中英文文献。致力于提供最便捷和优质的服务体验。 Copyright © 2023 布克学术 All rights reserved.
京ICP备2023020795号-1
ghs 京公网安备 11010802042870号
Book学术文献互助
Book学术文献互助群
群 号:604180095
Book学术官方微信