尿钾和膳食钾与糖尿病微血管并发症之间的关系:来自英国生物银行数据的见解。

IF 3.8 2区 医学 Q1 NUTRITION & DIETETICS
Chao Li, Jingjing Zeng, Xufang Huang, Ying Li, Aaron M Lett, Yucen Wu, Qiqi You, Wan Fu, Shaoyong Xu
{"title":"尿钾和膳食钾与糖尿病微血管并发症之间的关系:来自英国生物银行数据的见解。","authors":"Chao Li, Jingjing Zeng, Xufang Huang, Ying Li, Aaron M Lett, Yucen Wu, Qiqi You, Wan Fu, Shaoyong Xu","doi":"10.1186/s12937-025-01161-1","DOIUrl":null,"url":null,"abstract":"<p><strong>Background: </strong>Potassium plays an important role in glucose metabolism and blood vessel. However, there is a lack of systematic research on the intake of potassium and diabetic microvascular complications. The aim of this study was to explore whether inadequate potassium intake increases the risk of developing diabetic microvascular complications, diabetic nephropathy, diabetic retinopathy, and diabetic neuropathy using the UK Biobank database.</p><p><strong>Methods: </strong>This study included 22,395 subjects with type 2 diabetes mellitus at baseline. Urinary potassium and creatinine were measured by potentiometry and photometric assay respectively. Dietary potassium intake was measured using the 24-hour dietary recall method. The occurrence of microvascular complications was determined using ICD-10 codes from cumulative hospitalization records and death records in the national death registry. Cox proportional hazards models were used to explore the relationship between urinary potassium-to-creatinine ratio, dietary potassium, and overall and individual microvascular complications, generating hazard ratios (HRs) and 95% confidence intervals (CIs).</p><p><strong>Results: </strong>Compared with the minimum potassium-to-creatinine ratio group, the highest potassium-to-creatinine ratio group had a significantly lower risk of diabetic microvascular complications (HR, 0.70 [95% CI 0.63-0.78]; P for trend < 0.001) and diabetic nephropathy (HR, 0.54 [95% CI 0.47-0.61]; P for trend < 0.001). The group with the highest dietary potassium had a significantly lower risk of diabetic nephropathy (HR, 0.48 [95% CI 0.29-0.80], P for trend = 0.005) than the minimum dietary potassium group. The restricted cubic spline results showed a non-linear relationship between urinary potassium-to-creatinine ratio and overall microvascular complications and diabetic nephropathy, with nonlinear P values of 0.009 and < 0.001, respectively, and a generally declining trend.</p><p><strong>Conclusions: </strong>The urinary potassium-to-creatinine ratio was significantly negatively associated with overall diabetic microvascular complications and diabetic nephropathy.</p>","PeriodicalId":19203,"journal":{"name":"Nutrition Journal","volume":"24 1","pages":"101"},"PeriodicalIF":3.8000,"publicationDate":"2025-07-01","publicationTypes":"Journal Article","fieldsOfStudy":null,"isOpenAccess":false,"openAccessPdf":"https://www.ncbi.nlm.nih.gov/pmc/articles/PMC12218834/pdf/","citationCount":"0","resultStr":"{\"title\":\"The association between urinary and dietary potassium and diabetic microvascular complications: insights from UK Biobank data.\",\"authors\":\"Chao Li, Jingjing Zeng, Xufang Huang, Ying Li, Aaron M Lett, Yucen Wu, Qiqi You, Wan Fu, Shaoyong Xu\",\"doi\":\"10.1186/s12937-025-01161-1\",\"DOIUrl\":null,\"url\":null,\"abstract\":\"<p><strong>Background: </strong>Potassium plays an important role in glucose metabolism and blood vessel. However, there is a lack of systematic research on the intake of potassium and diabetic microvascular complications. The aim of this study was to explore whether inadequate potassium intake increases the risk of developing diabetic microvascular complications, diabetic nephropathy, diabetic retinopathy, and diabetic neuropathy using the UK Biobank database.</p><p><strong>Methods: </strong>This study included 22,395 subjects with type 2 diabetes mellitus at baseline. Urinary potassium and creatinine were measured by potentiometry and photometric assay respectively. Dietary potassium intake was measured using the 24-hour dietary recall method. The occurrence of microvascular complications was determined using ICD-10 codes from cumulative hospitalization records and death records in the national death registry. Cox proportional hazards models were used to explore the relationship between urinary potassium-to-creatinine ratio, dietary potassium, and overall and individual microvascular complications, generating hazard ratios (HRs) and 95% confidence intervals (CIs).</p><p><strong>Results: </strong>Compared with the minimum potassium-to-creatinine ratio group, the highest potassium-to-creatinine ratio group had a significantly lower risk of diabetic microvascular complications (HR, 0.70 [95% CI 0.63-0.78]; P for trend < 0.001) and diabetic nephropathy (HR, 0.54 [95% CI 0.47-0.61]; P for trend < 0.001). The group with the highest dietary potassium had a significantly lower risk of diabetic nephropathy (HR, 0.48 [95% CI 0.29-0.80], P for trend = 0.005) than the minimum dietary potassium group. The restricted cubic spline results showed a non-linear relationship between urinary potassium-to-creatinine ratio and overall microvascular complications and diabetic nephropathy, with nonlinear P values of 0.009 and < 0.001, respectively, and a generally declining trend.</p><p><strong>Conclusions: </strong>The urinary potassium-to-creatinine ratio was significantly negatively associated with overall diabetic microvascular complications and diabetic nephropathy.</p>\",\"PeriodicalId\":19203,\"journal\":{\"name\":\"Nutrition Journal\",\"volume\":\"24 1\",\"pages\":\"101\"},\"PeriodicalIF\":3.8000,\"publicationDate\":\"2025-07-01\",\"publicationTypes\":\"Journal Article\",\"fieldsOfStudy\":null,\"isOpenAccess\":false,\"openAccessPdf\":\"https://www.ncbi.nlm.nih.gov/pmc/articles/PMC12218834/pdf/\",\"citationCount\":\"0\",\"resultStr\":null,\"platform\":\"Semanticscholar\",\"paperid\":null,\"PeriodicalName\":\"Nutrition Journal\",\"FirstCategoryId\":\"3\",\"ListUrlMain\":\"https://doi.org/10.1186/s12937-025-01161-1\",\"RegionNum\":2,\"RegionCategory\":\"医学\",\"ArticlePicture\":[],\"TitleCN\":null,\"AbstractTextCN\":null,\"PMCID\":null,\"EPubDate\":\"\",\"PubModel\":\"\",\"JCR\":\"Q1\",\"JCRName\":\"NUTRITION & DIETETICS\",\"Score\":null,\"Total\":0}","platform":"Semanticscholar","paperid":null,"PeriodicalName":"Nutrition Journal","FirstCategoryId":"3","ListUrlMain":"https://doi.org/10.1186/s12937-025-01161-1","RegionNum":2,"RegionCategory":"医学","ArticlePicture":[],"TitleCN":null,"AbstractTextCN":null,"PMCID":null,"EPubDate":"","PubModel":"","JCR":"Q1","JCRName":"NUTRITION & DIETETICS","Score":null,"Total":0}
引用次数: 0

摘要

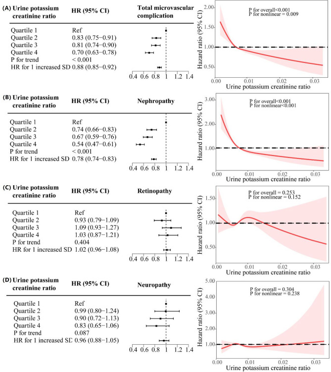
背景:钾在葡萄糖代谢和血管中起重要作用。然而,目前对钾的摄入与糖尿病微血管并发症的关系缺乏系统的研究。本研究的目的是利用英国生物银行数据库,探讨钾摄入量不足是否会增加糖尿病微血管并发症、糖尿病肾病、糖尿病视网膜病变和糖尿病神经病变的风险。方法:本研究纳入22,395例2型糖尿病患者。分别用电位法和光度法测定尿钾和肌酐。采用24小时饮食回忆法测定膳食钾摄入量。微血管并发症的发生使用ICD-10代码从累积住院记录和国家死亡登记处的死亡记录中确定。采用Cox比例风险模型探讨尿钾与肌酐比、膳食钾与整体和个体微血管并发症之间的关系,生成风险比(hr)和95%置信区间(CIs)。结果:与最低钾-肌酐比组相比,最高钾-肌酐比组糖尿病微血管并发症的风险显著降低(HR, 0.70 [95% CI 0.63-0.78];结论:尿钾/肌酐比值与糖尿病微血管并发症及糖尿病肾病呈显著负相关。
本文章由计算机程序翻译,如有差异,请以英文原文为准。

The association between urinary and dietary potassium and diabetic microvascular complications: insights from UK Biobank data.

The association between urinary and dietary potassium and diabetic microvascular complications: insights from UK Biobank data.

The association between urinary and dietary potassium and diabetic microvascular complications: insights from UK Biobank data.

Background: Potassium plays an important role in glucose metabolism and blood vessel. However, there is a lack of systematic research on the intake of potassium and diabetic microvascular complications. The aim of this study was to explore whether inadequate potassium intake increases the risk of developing diabetic microvascular complications, diabetic nephropathy, diabetic retinopathy, and diabetic neuropathy using the UK Biobank database.

Methods: This study included 22,395 subjects with type 2 diabetes mellitus at baseline. Urinary potassium and creatinine were measured by potentiometry and photometric assay respectively. Dietary potassium intake was measured using the 24-hour dietary recall method. The occurrence of microvascular complications was determined using ICD-10 codes from cumulative hospitalization records and death records in the national death registry. Cox proportional hazards models were used to explore the relationship between urinary potassium-to-creatinine ratio, dietary potassium, and overall and individual microvascular complications, generating hazard ratios (HRs) and 95% confidence intervals (CIs).

Results: Compared with the minimum potassium-to-creatinine ratio group, the highest potassium-to-creatinine ratio group had a significantly lower risk of diabetic microvascular complications (HR, 0.70 [95% CI 0.63-0.78]; P for trend < 0.001) and diabetic nephropathy (HR, 0.54 [95% CI 0.47-0.61]; P for trend < 0.001). The group with the highest dietary potassium had a significantly lower risk of diabetic nephropathy (HR, 0.48 [95% CI 0.29-0.80], P for trend = 0.005) than the minimum dietary potassium group. The restricted cubic spline results showed a non-linear relationship between urinary potassium-to-creatinine ratio and overall microvascular complications and diabetic nephropathy, with nonlinear P values of 0.009 and < 0.001, respectively, and a generally declining trend.

Conclusions: The urinary potassium-to-creatinine ratio was significantly negatively associated with overall diabetic microvascular complications and diabetic nephropathy.

求助全文
通过发布文献求助,成功后即可免费获取论文全文。 去求助
来源期刊
Nutrition Journal
Nutrition Journal NUTRITION & DIETETICS-
CiteScore
9.80
自引率
0.00%
发文量
68
审稿时长
4-8 weeks
期刊介绍: Nutrition Journal publishes surveillance, epidemiologic, and intervention research that sheds light on i) influences (e.g., familial, environmental) on eating patterns; ii) associations between eating patterns and health, and iii) strategies to improve eating patterns among populations. The journal also welcomes manuscripts reporting on the psychometric properties (e.g., validity, reliability) and feasibility of methods (e.g., for assessing dietary intake) for human nutrition research. In addition, study protocols for controlled trials and cohort studies, with an emphasis on methods for assessing dietary exposures and outcomes as well as intervention components, will be considered. Manuscripts that consider eating patterns holistically, as opposed to solely reductionist approaches that focus on specific dietary components in isolation, are encouraged. Also encouraged are papers that take a holistic or systems perspective in attempting to understand possible compensatory and differential effects of nutrition interventions. The journal does not consider animal studies. In addition to the influence of eating patterns for human health, we also invite research providing insights into the environmental sustainability of dietary practices. Again, a holistic perspective is encouraged, for example, through the consideration of how eating patterns might maximize both human and planetary health.
×
引用
GB/T 7714-2015
复制
MLA
复制
APA
复制
导出至
BibTeX EndNote RefMan NoteFirst NoteExpress
×
提示
您的信息不完整,为了账户安全,请先补充。
现在去补充
×
提示
您因"违规操作"
具体请查看互助需知
我知道了
×
提示
确定
请完成安全验证×
copy
已复制链接
快去分享给好友吧!
我知道了
右上角分享
点击右上角分享
0
联系我们:info@booksci.cn Book学术提供免费学术资源搜索服务,方便国内外学者检索中英文文献。致力于提供最便捷和优质的服务体验。 Copyright © 2023 布克学术 All rights reserved.
京ICP备2023020795号-1
ghs 京公网安备 11010802042870号
Book学术文献互助
Book学术文献互助群
群 号:604180095
Book学术官方微信