通过COTIDIANA智能手机应用程序收集患者报告的结果:一项前瞻性效度研究。

IF 4.7 2区 医学 Q1 RHEUMATOLOGY
Nasim Nakhost Lotfi, Francisco Nunes, Pedro Matias, Tanja A Stamm, Ricardo Graca, Nadja Kartschmit, Daniel Aletaha, Elsa Frãzao-Mateus, Helga Radner, Paul Studenic
{"title":"通过COTIDIANA智能手机应用程序收集患者报告的结果:一项前瞻性效度研究。","authors":"Nasim Nakhost Lotfi, Francisco Nunes, Pedro Matias, Tanja A Stamm, Ricardo Graca, Nadja Kartschmit, Daniel Aletaha, Elsa Frãzao-Mateus, Helga Radner, Paul Studenic","doi":"10.1136/rmdopen-2025-005730","DOIUrl":null,"url":null,"abstract":"<p><strong>Background: </strong>Self-management of rheumatic and musculoskeletal diseases often involves regular assessments of disease-related outcomes. In recent years, smartphone apps are used to collect electronic patient-reported outcomes (ePROMs), supporting the self-management process and improvement of health-related quality of life. We aimed to assess the reliability and comparability of frequent remote monitoring by using ePROMs via a smartphone.</p><p><strong>Methods: </strong>Patients (≥18 years) with Sjögren's disease (SjD), osteoarthritis (OA) and psoriatic arthritis (PsA) were recruited from our outpatient clinic and asked to complete seven short daily as well as weekly questions (visual analogue scale) on global disease activity (PGA), pain, anxiety and depression, fatigue and sleep) for 14 days. To assess reliability, intraclass correlation (ICC) for 1-6-day test-retest intervals, as well as the smallest detectable difference (SDDs), were calculated. Convergent validity was evaluated via correlation of daily and weekly ePROMs.</p><p><strong>Results: </strong>48 patients (76.12% female: 18 SjD, 20 PsA, 10 OA) were included for analyses. At the 1-day test-retest interval, ICCs ranged between 0.84 and 0.89 and SDDs from 1.04 to 2.10, for all domains. The 6-day interval presented wider reliability with ICCs from 0.23 to 0.73 and SDDs from 1.89 to 2.88. While all measures demonstrated high test-retest reliability during the 1-, 2- and 3-day intervals (ICC: 0.83-0.98), an increase in SDDs and a decrease in ICCs were observed as intervals extended. Daily measured ePROMs highly correlated with its corresponding weekly ePROM (pain=0.97, anxiety and depression=0.94, fatigue=0.90, sleep=0.95, PGA=0.94).</p><p><strong>Conclusion: </strong>Reliability was particularly stable at shorter intervals with more variation over time. Convergent validity was high between daily and weekly assessment. Short ePROMs collected via smartphones may offer flexibility to vary assessment times while maintaining consistent reliability.</p>","PeriodicalId":21396,"journal":{"name":"RMD Open","volume":"11 2","pages":""},"PeriodicalIF":4.7000,"publicationDate":"2025-06-27","publicationTypes":"Journal Article","fieldsOfStudy":null,"isOpenAccess":false,"openAccessPdf":"https://www.ncbi.nlm.nih.gov/pmc/articles/PMC12207126/pdf/","citationCount":"0","resultStr":"{\"title\":\"Collecting patient-reported outcomes via the COTIDIANA smartphone app: a prospective validity study.\",\"authors\":\"Nasim Nakhost Lotfi, Francisco Nunes, Pedro Matias, Tanja A Stamm, Ricardo Graca, Nadja Kartschmit, Daniel Aletaha, Elsa Frãzao-Mateus, Helga Radner, Paul Studenic\",\"doi\":\"10.1136/rmdopen-2025-005730\",\"DOIUrl\":null,\"url\":null,\"abstract\":\"<p><strong>Background: </strong>Self-management of rheumatic and musculoskeletal diseases often involves regular assessments of disease-related outcomes. In recent years, smartphone apps are used to collect electronic patient-reported outcomes (ePROMs), supporting the self-management process and improvement of health-related quality of life. We aimed to assess the reliability and comparability of frequent remote monitoring by using ePROMs via a smartphone.</p><p><strong>Methods: </strong>Patients (≥18 years) with Sjögren's disease (SjD), osteoarthritis (OA) and psoriatic arthritis (PsA) were recruited from our outpatient clinic and asked to complete seven short daily as well as weekly questions (visual analogue scale) on global disease activity (PGA), pain, anxiety and depression, fatigue and sleep) for 14 days. To assess reliability, intraclass correlation (ICC) for 1-6-day test-retest intervals, as well as the smallest detectable difference (SDDs), were calculated. Convergent validity was evaluated via correlation of daily and weekly ePROMs.</p><p><strong>Results: </strong>48 patients (76.12% female: 18 SjD, 20 PsA, 10 OA) were included for analyses. At the 1-day test-retest interval, ICCs ranged between 0.84 and 0.89 and SDDs from 1.04 to 2.10, for all domains. The 6-day interval presented wider reliability with ICCs from 0.23 to 0.73 and SDDs from 1.89 to 2.88. While all measures demonstrated high test-retest reliability during the 1-, 2- and 3-day intervals (ICC: 0.83-0.98), an increase in SDDs and a decrease in ICCs were observed as intervals extended. Daily measured ePROMs highly correlated with its corresponding weekly ePROM (pain=0.97, anxiety and depression=0.94, fatigue=0.90, sleep=0.95, PGA=0.94).</p><p><strong>Conclusion: </strong>Reliability was particularly stable at shorter intervals with more variation over time. Convergent validity was high between daily and weekly assessment. Short ePROMs collected via smartphones may offer flexibility to vary assessment times while maintaining consistent reliability.</p>\",\"PeriodicalId\":21396,\"journal\":{\"name\":\"RMD Open\",\"volume\":\"11 2\",\"pages\":\"\"},\"PeriodicalIF\":4.7000,\"publicationDate\":\"2025-06-27\",\"publicationTypes\":\"Journal Article\",\"fieldsOfStudy\":null,\"isOpenAccess\":false,\"openAccessPdf\":\"https://www.ncbi.nlm.nih.gov/pmc/articles/PMC12207126/pdf/\",\"citationCount\":\"0\",\"resultStr\":null,\"platform\":\"Semanticscholar\",\"paperid\":null,\"PeriodicalName\":\"RMD Open\",\"FirstCategoryId\":\"3\",\"ListUrlMain\":\"https://doi.org/10.1136/rmdopen-2025-005730\",\"RegionNum\":2,\"RegionCategory\":\"医学\",\"ArticlePicture\":[],\"TitleCN\":null,\"AbstractTextCN\":null,\"PMCID\":null,\"EPubDate\":\"\",\"PubModel\":\"\",\"JCR\":\"Q1\",\"JCRName\":\"RHEUMATOLOGY\",\"Score\":null,\"Total\":0}","platform":"Semanticscholar","paperid":null,"PeriodicalName":"RMD Open","FirstCategoryId":"3","ListUrlMain":"https://doi.org/10.1136/rmdopen-2025-005730","RegionNum":2,"RegionCategory":"医学","ArticlePicture":[],"TitleCN":null,"AbstractTextCN":null,"PMCID":null,"EPubDate":"","PubModel":"","JCR":"Q1","JCRName":"RHEUMATOLOGY","Score":null,"Total":0}
引用次数: 0

摘要

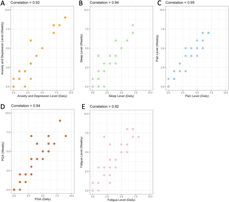
背景:风湿病和肌肉骨骼疾病的自我管理通常包括对疾病相关结果的定期评估。近年来,智能手机应用程序被用于收集电子患者报告结果(eprom),支持自我管理过程和改善与健康相关的生活质量。我们旨在评估通过智能手机使用eprom进行频繁远程监测的可靠性和可比性。方法:从我们的门诊招募患有Sjögren病(SjD)、骨关节炎(OA)和银屑病关节炎(PsA)的患者(≥18岁),要求他们完成为期14天的7个简短的每日和每周问题(视觉模拟量表),内容包括疾病活度(PGA)、疼痛、焦虑和抑郁、疲劳和睡眠。为了评估可靠性,计算了1-6天测试-重测试间隔的类内相关性(ICC)以及最小可检测差异(sdd)。通过每日和每周eprom的相关性评估收敛效度。结果:48例患者(76.12%为女性:SjD 18例,PsA 20例,OA 10例)纳入分析。在1天的测试-重测间隔中,所有域的ICCs范围在0.84至0.89之间,sdd范围在1.04至2.10之间。在ICCs为0.23 - 0.73,sdd为1.89 - 2.88的情况下,6天的间隔具有更广泛的可靠性。虽然在1天、2天和3天的间隔(ICC: 0.83-0.98)期间,所有测量都显示出较高的重测信度,但随着间隔的延长,观察到sdd增加,ICC降低。每日测量的ePROM与其相应的每周ePROM高度相关(疼痛=0.97,焦虑和抑郁=0.94,疲劳=0.90,睡眠=0.95,PGA=0.94)。结论:可靠性在较短的时间间隔内特别稳定,随时间变化较大。每日评估与每周评估的收敛效度较高。通过智能手机收集的短eprom可以灵活地改变评估时间,同时保持一致的可靠性。
本文章由计算机程序翻译,如有差异,请以英文原文为准。

Collecting patient-reported outcomes via the COTIDIANA smartphone app: a prospective validity study.

Collecting patient-reported outcomes via the COTIDIANA smartphone app: a prospective validity study.

Collecting patient-reported outcomes via the COTIDIANA smartphone app: a prospective validity study.

Background: Self-management of rheumatic and musculoskeletal diseases often involves regular assessments of disease-related outcomes. In recent years, smartphone apps are used to collect electronic patient-reported outcomes (ePROMs), supporting the self-management process and improvement of health-related quality of life. We aimed to assess the reliability and comparability of frequent remote monitoring by using ePROMs via a smartphone.

Methods: Patients (≥18 years) with Sjögren's disease (SjD), osteoarthritis (OA) and psoriatic arthritis (PsA) were recruited from our outpatient clinic and asked to complete seven short daily as well as weekly questions (visual analogue scale) on global disease activity (PGA), pain, anxiety and depression, fatigue and sleep) for 14 days. To assess reliability, intraclass correlation (ICC) for 1-6-day test-retest intervals, as well as the smallest detectable difference (SDDs), were calculated. Convergent validity was evaluated via correlation of daily and weekly ePROMs.

Results: 48 patients (76.12% female: 18 SjD, 20 PsA, 10 OA) were included for analyses. At the 1-day test-retest interval, ICCs ranged between 0.84 and 0.89 and SDDs from 1.04 to 2.10, for all domains. The 6-day interval presented wider reliability with ICCs from 0.23 to 0.73 and SDDs from 1.89 to 2.88. While all measures demonstrated high test-retest reliability during the 1-, 2- and 3-day intervals (ICC: 0.83-0.98), an increase in SDDs and a decrease in ICCs were observed as intervals extended. Daily measured ePROMs highly correlated with its corresponding weekly ePROM (pain=0.97, anxiety and depression=0.94, fatigue=0.90, sleep=0.95, PGA=0.94).

Conclusion: Reliability was particularly stable at shorter intervals with more variation over time. Convergent validity was high between daily and weekly assessment. Short ePROMs collected via smartphones may offer flexibility to vary assessment times while maintaining consistent reliability.

求助全文
通过发布文献求助,成功后即可免费获取论文全文。 去求助
来源期刊
RMD Open
RMD Open RHEUMATOLOGY-
CiteScore
7.30
自引率
6.50%
发文量
205
审稿时长
14 weeks
期刊介绍: RMD Open publishes high quality peer-reviewed original research covering the full spectrum of musculoskeletal disorders, rheumatism and connective tissue diseases, including osteoporosis, spine and rehabilitation. Clinical and epidemiological research, basic and translational medicine, interesting clinical cases, and smaller studies that add to the literature are all considered.
×
引用
GB/T 7714-2015
复制
MLA
复制
APA
复制
导出至
BibTeX EndNote RefMan NoteFirst NoteExpress
×
提示
您的信息不完整,为了账户安全,请先补充。
现在去补充
×
提示
您因"违规操作"
具体请查看互助需知
我知道了
×
提示
确定
请完成安全验证×
copy
已复制链接
快去分享给好友吧!
我知道了
右上角分享
点击右上角分享
0
联系我们:info@booksci.cn Book学术提供免费学术资源搜索服务,方便国内外学者检索中英文文献。致力于提供最便捷和优质的服务体验。 Copyright © 2023 布克学术 All rights reserved.
京ICP备2023020795号-1
ghs 京公网安备 11010802042870号
Book学术文献互助
Book学术文献互助群
群 号:604180095
Book学术官方微信