男性轴型脊柱炎患者性经历差的临床和遗传决定因素:一项多模式研究。

IF 4.7 2区 医学 Q1 RHEUMATOLOGY
Lidong Hu, Dai Gao, Xiaojian Ji, Yiwen Wang, Xingkang Liu, Jianglin Zhang, Jian Zhu, Feng Huang
{"title":"男性轴型脊柱炎患者性经历差的临床和遗传决定因素:一项多模式研究。","authors":"Lidong Hu, Dai Gao, Xiaojian Ji, Yiwen Wang, Xingkang Liu, Jianglin Zhang, Jian Zhu, Feng Huang","doi":"10.1136/rmdopen-2025-005594","DOIUrl":null,"url":null,"abstract":"<p><strong>Objective: </strong>The expression and experience of sexuality is a key part of an individual's self-identity, yet it is often overlooked in clinical settings. This study aims to evaluate the impact of radiographic axial spondyloarthritis (r-axSpA) on sexual experience in male patients, identify contributing factors and explore the potential causal relationship between r-axSpA and erectile dysfunction (ED).</p><p><strong>Methods: </strong>We assessed the sexual experience of 113 male patients with r-axSpA and 73 healthy people using the Sexual Experience Questionnaire in the cross-sectional study. Linear regression analysis was used to explore the contributions of clinical factors to worse sexual experience. A two-sample Mendelian randomisation (MR) design was conducted to examine the potential causal association of r-axSpA with the risk of ED.</p><p><strong>Results: </strong>There was a significant difference in the total sexual experience score between patients with r-axSpA and healthy controls (41.81±8.71 vs 50.23±8.82, p<0.001). Patients with r-axSpA had a worse score in all dimensions of sexual experience, including erectile function, individual satisfaction and couple satisfaction, compared with healthy individuals. In the regression model adjusted for age, disease duration and body mass index, disease activity (Bath Ankylosing Spondylitis Disease Activity Index), physical function (Bath Ankylosing Spondylitis Functional Index), mobility (Bath Ankylosing Spondylitis Metrology Index, chest expansion and finger-floor distance), health index (Assessment of SpondyloArthritis international Society Health Index), sleep quality (Pittsburgh Sleep Quality Index) and psychological status (Hospital Anxiety and Depression Scale (HADS), HADS-Anxiety and HADS-Depression) were significant determinants of sexual experience. The two-sample MR analysis demonstrated no causal effect of r-axSpA on the risk of ED (OR: 0.973; 95% CI: 0.824 to 1.149; p=0.749) based on the inverse variance weighted method. Sensitivity analyses supported the result, with no evidence of directional pleiotropy.</p><p><strong>Conclusions: </strong>Worse sexual experience was associated with increased disease activity, reduced mobility, lower health index, poor sleep quality and psychological status. Genetic-level evidence indicated no direct causal relationship between r-axSpA and ED. Therefore, actively assessing disease-related suffering and developing new management strategies are essential for improving sexual experience in patients with r-axSpA.</p>","PeriodicalId":21396,"journal":{"name":"RMD Open","volume":"11 2","pages":""},"PeriodicalIF":4.7000,"publicationDate":"2025-06-25","publicationTypes":"Journal Article","fieldsOfStudy":null,"isOpenAccess":false,"openAccessPdf":"https://www.ncbi.nlm.nih.gov/pmc/articles/PMC12198791/pdf/","citationCount":"0","resultStr":"{\"title\":\"Clinical and genetic determinants of worse sexual experience in male patients with radiographic axial spondyloarthritis: a multimodal study.\",\"authors\":\"Lidong Hu, Dai Gao, Xiaojian Ji, Yiwen Wang, Xingkang Liu, Jianglin Zhang, Jian Zhu, Feng Huang\",\"doi\":\"10.1136/rmdopen-2025-005594\",\"DOIUrl\":null,\"url\":null,\"abstract\":\"<p><strong>Objective: </strong>The expression and experience of sexuality is a key part of an individual's self-identity, yet it is often overlooked in clinical settings. This study aims to evaluate the impact of radiographic axial spondyloarthritis (r-axSpA) on sexual experience in male patients, identify contributing factors and explore the potential causal relationship between r-axSpA and erectile dysfunction (ED).</p><p><strong>Methods: </strong>We assessed the sexual experience of 113 male patients with r-axSpA and 73 healthy people using the Sexual Experience Questionnaire in the cross-sectional study. Linear regression analysis was used to explore the contributions of clinical factors to worse sexual experience. A two-sample Mendelian randomisation (MR) design was conducted to examine the potential causal association of r-axSpA with the risk of ED.</p><p><strong>Results: </strong>There was a significant difference in the total sexual experience score between patients with r-axSpA and healthy controls (41.81±8.71 vs 50.23±8.82, p<0.001). Patients with r-axSpA had a worse score in all dimensions of sexual experience, including erectile function, individual satisfaction and couple satisfaction, compared with healthy individuals. In the regression model adjusted for age, disease duration and body mass index, disease activity (Bath Ankylosing Spondylitis Disease Activity Index), physical function (Bath Ankylosing Spondylitis Functional Index), mobility (Bath Ankylosing Spondylitis Metrology Index, chest expansion and finger-floor distance), health index (Assessment of SpondyloArthritis international Society Health Index), sleep quality (Pittsburgh Sleep Quality Index) and psychological status (Hospital Anxiety and Depression Scale (HADS), HADS-Anxiety and HADS-Depression) were significant determinants of sexual experience. The two-sample MR analysis demonstrated no causal effect of r-axSpA on the risk of ED (OR: 0.973; 95% CI: 0.824 to 1.149; p=0.749) based on the inverse variance weighted method. Sensitivity analyses supported the result, with no evidence of directional pleiotropy.</p><p><strong>Conclusions: </strong>Worse sexual experience was associated with increased disease activity, reduced mobility, lower health index, poor sleep quality and psychological status. Genetic-level evidence indicated no direct causal relationship between r-axSpA and ED. Therefore, actively assessing disease-related suffering and developing new management strategies are essential for improving sexual experience in patients with r-axSpA.</p>\",\"PeriodicalId\":21396,\"journal\":{\"name\":\"RMD Open\",\"volume\":\"11 2\",\"pages\":\"\"},\"PeriodicalIF\":4.7000,\"publicationDate\":\"2025-06-25\",\"publicationTypes\":\"Journal Article\",\"fieldsOfStudy\":null,\"isOpenAccess\":false,\"openAccessPdf\":\"https://www.ncbi.nlm.nih.gov/pmc/articles/PMC12198791/pdf/\",\"citationCount\":\"0\",\"resultStr\":null,\"platform\":\"Semanticscholar\",\"paperid\":null,\"PeriodicalName\":\"RMD Open\",\"FirstCategoryId\":\"3\",\"ListUrlMain\":\"https://doi.org/10.1136/rmdopen-2025-005594\",\"RegionNum\":2,\"RegionCategory\":\"医学\",\"ArticlePicture\":[],\"TitleCN\":null,\"AbstractTextCN\":null,\"PMCID\":null,\"EPubDate\":\"\",\"PubModel\":\"\",\"JCR\":\"Q1\",\"JCRName\":\"RHEUMATOLOGY\",\"Score\":null,\"Total\":0}","platform":"Semanticscholar","paperid":null,"PeriodicalName":"RMD Open","FirstCategoryId":"3","ListUrlMain":"https://doi.org/10.1136/rmdopen-2025-005594","RegionNum":2,"RegionCategory":"医学","ArticlePicture":[],"TitleCN":null,"AbstractTextCN":null,"PMCID":null,"EPubDate":"","PubModel":"","JCR":"Q1","JCRName":"RHEUMATOLOGY","Score":null,"Total":0}
引用次数: 0

摘要

目的:性的表达和体验是个体自我认同的关键部分,但在临床环境中往往被忽视。本研究旨在评估影像学诊断中轴性脊柱炎(r-axSpA)对男性患者性体验的影响,确定影响因素,探讨r-axSpA与勃起功能障碍(ED)之间的潜在因果关系。方法:采用横断面研究的性经验问卷对113例男性r-axSpA患者和73名健康人的性经验进行评估。采用线性回归分析探讨临床因素对不良性体验的影响。采用双样本孟德尔随机化(MR)设计研究r-axSpA与ed风险的潜在因果关系。结果:r-axSpA患者与健康对照者的性经验总分(41.81±8.71 vs 50.23±8.82)有显著差异。结论:性经验差与疾病活动性增加、活动能力降低、健康指数降低、睡眠质量差和心理状态差相关。遗传水平的证据表明,r-axSpA与ED之间没有直接的因果关系。因此,积极评估疾病相关痛苦并制定新的管理策略对于改善r-axSpA患者的性体验至关重要。
本文章由计算机程序翻译,如有差异,请以英文原文为准。

Clinical and genetic determinants of worse sexual experience in male patients with radiographic axial spondyloarthritis: a multimodal study.

Clinical and genetic determinants of worse sexual experience in male patients with radiographic axial spondyloarthritis: a multimodal study.

Clinical and genetic determinants of worse sexual experience in male patients with radiographic axial spondyloarthritis: a multimodal study.

Clinical and genetic determinants of worse sexual experience in male patients with radiographic axial spondyloarthritis: a multimodal study.

Objective: The expression and experience of sexuality is a key part of an individual's self-identity, yet it is often overlooked in clinical settings. This study aims to evaluate the impact of radiographic axial spondyloarthritis (r-axSpA) on sexual experience in male patients, identify contributing factors and explore the potential causal relationship between r-axSpA and erectile dysfunction (ED).

Methods: We assessed the sexual experience of 113 male patients with r-axSpA and 73 healthy people using the Sexual Experience Questionnaire in the cross-sectional study. Linear regression analysis was used to explore the contributions of clinical factors to worse sexual experience. A two-sample Mendelian randomisation (MR) design was conducted to examine the potential causal association of r-axSpA with the risk of ED.

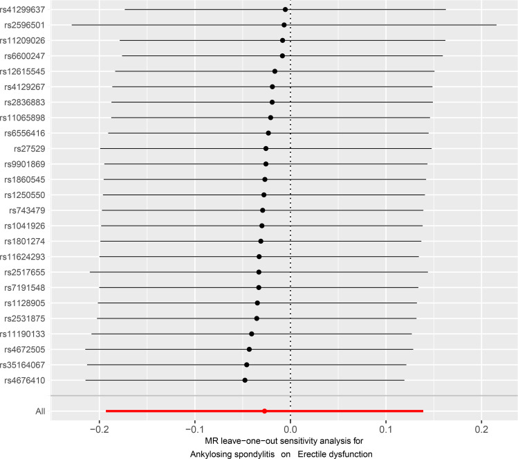
Results: There was a significant difference in the total sexual experience score between patients with r-axSpA and healthy controls (41.81±8.71 vs 50.23±8.82, p<0.001). Patients with r-axSpA had a worse score in all dimensions of sexual experience, including erectile function, individual satisfaction and couple satisfaction, compared with healthy individuals. In the regression model adjusted for age, disease duration and body mass index, disease activity (Bath Ankylosing Spondylitis Disease Activity Index), physical function (Bath Ankylosing Spondylitis Functional Index), mobility (Bath Ankylosing Spondylitis Metrology Index, chest expansion and finger-floor distance), health index (Assessment of SpondyloArthritis international Society Health Index), sleep quality (Pittsburgh Sleep Quality Index) and psychological status (Hospital Anxiety and Depression Scale (HADS), HADS-Anxiety and HADS-Depression) were significant determinants of sexual experience. The two-sample MR analysis demonstrated no causal effect of r-axSpA on the risk of ED (OR: 0.973; 95% CI: 0.824 to 1.149; p=0.749) based on the inverse variance weighted method. Sensitivity analyses supported the result, with no evidence of directional pleiotropy.

Conclusions: Worse sexual experience was associated with increased disease activity, reduced mobility, lower health index, poor sleep quality and psychological status. Genetic-level evidence indicated no direct causal relationship between r-axSpA and ED. Therefore, actively assessing disease-related suffering and developing new management strategies are essential for improving sexual experience in patients with r-axSpA.

求助全文
通过发布文献求助,成功后即可免费获取论文全文。 去求助
来源期刊
RMD Open
RMD Open RHEUMATOLOGY-
CiteScore
7.30
自引率
6.50%
发文量
205
审稿时长
14 weeks
期刊介绍: RMD Open publishes high quality peer-reviewed original research covering the full spectrum of musculoskeletal disorders, rheumatism and connective tissue diseases, including osteoporosis, spine and rehabilitation. Clinical and epidemiological research, basic and translational medicine, interesting clinical cases, and smaller studies that add to the literature are all considered.
×
引用
GB/T 7714-2015
复制
MLA
复制
APA
复制
导出至
BibTeX EndNote RefMan NoteFirst NoteExpress
×
提示
您的信息不完整,为了账户安全,请先补充。
现在去补充
×
提示
您因"违规操作"
具体请查看互助需知
我知道了
×
提示
确定
请完成安全验证×
copy
已复制链接
快去分享给好友吧!
我知道了
右上角分享
点击右上角分享
0
联系我们:info@booksci.cn Book学术提供免费学术资源搜索服务,方便国内外学者检索中英文文献。致力于提供最便捷和优质的服务体验。 Copyright © 2023 布克学术 All rights reserved.
京ICP备2023020795号-1
ghs 京公网安备 11010802042870号
Book学术文献互助
Book学术文献互助群
群 号:604180095
Book学术官方微信