老年医疗保险中阿片类药物剂量逐渐减少的发生率。

IF 4.3 3区 医学 Q1 GERIATRICS & GERONTOLOGY
Innovation in Aging Pub Date : 2025-03-11 eCollection Date: 2025-01-01 DOI:10.1093/geroni/igaf028
Sujith Ramachandran, Shishir Maharjan, Liang-Yuan Lin, John P Bentley, Gerald McGwin, Ike Eriator, Kaustuv Bhattacharya, Yi Yang
{"title":"老年医疗保险中阿片类药物剂量逐渐减少的发生率。","authors":"Sujith Ramachandran, Shishir Maharjan, Liang-Yuan Lin, John P Bentley, Gerald McGwin, Ike Eriator, Kaustuv Bhattacharya, Yi Yang","doi":"10.1093/geroni/igaf028","DOIUrl":null,"url":null,"abstract":"<p><strong>Background and objectives: </strong>Long-term opioid therapy (LTOT) is frequently used for management of chronic noncancer pain, but its associations with increased risks of overdose and mortality have necessitated an evaluation of strategies for tapering or discontinuation. The process of opioid tapering is complex due to associated withdrawal symptoms and potential adverse outcomes. Thus, understanding tapering patterns and associated factors is vital for optimizing pain management, especially for vulnerable older adults.</p><p><strong>Research design and methods: </strong>This cohort study used the 5% national sample of Medicare administrative claims data from 2012 to 2019. The study cohort consisted of individuals aged 65 and older on LTOT. The key outcomes were time until any tapering or rapid tapering of opioids. Various predictor variables, including sociodemographic and clinical factors, were examined. Survival curves were plotted, and Cox proportional hazards models were used for data analysis.</p><p><strong>Results: </strong>The study cohort included 146,605 Medicare beneficiaries on LTOT, of which the largest percentages were aged 65-74 years (48.5%), women (68.0%), and non-Hispanic White (82.3%). Within the first year of LTOT use, nearly 1 in 2 individuals experienced any tapering, and about 1 in 4 individuals experienced rapid tapering. Presence of multiple chronic noncancer pain conditions, hepatic impairment, sleep disorders, higher baseline opioid dose, and LTOT initiation after 2016 were associated with increased rate of both any tapering and rapid tapering. The release of the 2016 CDC guideline was associated with a 45% and 64% increase in the hazards of any tapering and rapid tapering, respectively.</p><p><strong>Discussion and implications: </strong>This study estimated the incidence rate and predictors of opioid tapering among older adults in the United States. Combined with rates of opioid prescribing and prevalence of chronic pain, these epidemiological data are crucial for identifying and improving the safety and effectiveness of pain management among older adults.</p>","PeriodicalId":13596,"journal":{"name":"Innovation in Aging","volume":"9 6","pages":"igaf028"},"PeriodicalIF":4.3000,"publicationDate":"2025-03-11","publicationTypes":"Journal Article","fieldsOfStudy":null,"isOpenAccess":false,"openAccessPdf":"https://www.ncbi.nlm.nih.gov/pmc/articles/PMC12188434/pdf/","citationCount":"0","resultStr":"{\"title\":\"Incidence of Opioid Dose Tapering Among Older Adults Enrolled in Medicare.\",\"authors\":\"Sujith Ramachandran, Shishir Maharjan, Liang-Yuan Lin, John P Bentley, Gerald McGwin, Ike Eriator, Kaustuv Bhattacharya, Yi Yang\",\"doi\":\"10.1093/geroni/igaf028\",\"DOIUrl\":null,\"url\":null,\"abstract\":\"<p><strong>Background and objectives: </strong>Long-term opioid therapy (LTOT) is frequently used for management of chronic noncancer pain, but its associations with increased risks of overdose and mortality have necessitated an evaluation of strategies for tapering or discontinuation. The process of opioid tapering is complex due to associated withdrawal symptoms and potential adverse outcomes. Thus, understanding tapering patterns and associated factors is vital for optimizing pain management, especially for vulnerable older adults.</p><p><strong>Research design and methods: </strong>This cohort study used the 5% national sample of Medicare administrative claims data from 2012 to 2019. The study cohort consisted of individuals aged 65 and older on LTOT. The key outcomes were time until any tapering or rapid tapering of opioids. Various predictor variables, including sociodemographic and clinical factors, were examined. Survival curves were plotted, and Cox proportional hazards models were used for data analysis.</p><p><strong>Results: </strong>The study cohort included 146,605 Medicare beneficiaries on LTOT, of which the largest percentages were aged 65-74 years (48.5%), women (68.0%), and non-Hispanic White (82.3%). Within the first year of LTOT use, nearly 1 in 2 individuals experienced any tapering, and about 1 in 4 individuals experienced rapid tapering. Presence of multiple chronic noncancer pain conditions, hepatic impairment, sleep disorders, higher baseline opioid dose, and LTOT initiation after 2016 were associated with increased rate of both any tapering and rapid tapering. The release of the 2016 CDC guideline was associated with a 45% and 64% increase in the hazards of any tapering and rapid tapering, respectively.</p><p><strong>Discussion and implications: </strong>This study estimated the incidence rate and predictors of opioid tapering among older adults in the United States. Combined with rates of opioid prescribing and prevalence of chronic pain, these epidemiological data are crucial for identifying and improving the safety and effectiveness of pain management among older adults.</p>\",\"PeriodicalId\":13596,\"journal\":{\"name\":\"Innovation in Aging\",\"volume\":\"9 6\",\"pages\":\"igaf028\"},\"PeriodicalIF\":4.3000,\"publicationDate\":\"2025-03-11\",\"publicationTypes\":\"Journal Article\",\"fieldsOfStudy\":null,\"isOpenAccess\":false,\"openAccessPdf\":\"https://www.ncbi.nlm.nih.gov/pmc/articles/PMC12188434/pdf/\",\"citationCount\":\"0\",\"resultStr\":null,\"platform\":\"Semanticscholar\",\"paperid\":null,\"PeriodicalName\":\"Innovation in Aging\",\"FirstCategoryId\":\"3\",\"ListUrlMain\":\"https://doi.org/10.1093/geroni/igaf028\",\"RegionNum\":3,\"RegionCategory\":\"医学\",\"ArticlePicture\":[],\"TitleCN\":null,\"AbstractTextCN\":null,\"PMCID\":null,\"EPubDate\":\"2025/1/1 0:00:00\",\"PubModel\":\"eCollection\",\"JCR\":\"Q1\",\"JCRName\":\"GERIATRICS & GERONTOLOGY\",\"Score\":null,\"Total\":0}","platform":"Semanticscholar","paperid":null,"PeriodicalName":"Innovation in Aging","FirstCategoryId":"3","ListUrlMain":"https://doi.org/10.1093/geroni/igaf028","RegionNum":3,"RegionCategory":"医学","ArticlePicture":[],"TitleCN":null,"AbstractTextCN":null,"PMCID":null,"EPubDate":"2025/1/1 0:00:00","PubModel":"eCollection","JCR":"Q1","JCRName":"GERIATRICS & GERONTOLOGY","Score":null,"Total":0}
引用次数: 0

摘要

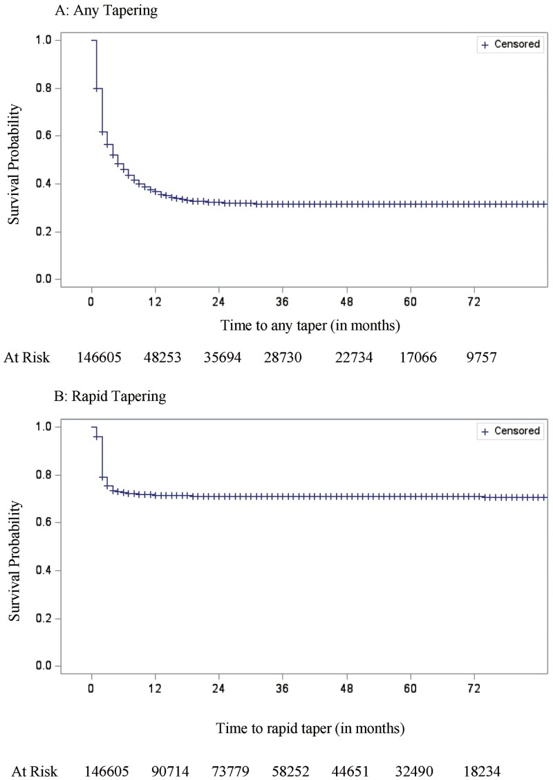
背景和目的:长期阿片类药物治疗(LTOT)经常用于慢性非癌性疼痛的治疗,但其与过量用药和死亡率增加的风险相关,因此有必要对逐渐减少或停药的策略进行评估。由于相关的戒断症状和潜在的不良后果,阿片类药物逐渐减少的过程是复杂的。因此,了解逐渐变细的模式和相关因素对于优化疼痛管理至关重要,特别是对于脆弱的老年人。研究设计和方法:本队列研究使用2012年至2019年全国5%的医疗保险行政索赔数据样本。研究队列包括年龄在65岁及以上的ltt患者。关键结果是阿片类药物逐渐减少或迅速减少的时间。研究了各种预测变量,包括社会人口统计学和临床因素。绘制生存曲线,采用Cox比例风险模型进行数据分析。结果:研究队列包括146605名LTOT医疗保险受益人,其中65-74岁(48.5%)、女性(68.0%)和非西班牙裔白人(82.3%)所占比例最大。在使用LTOT的第一年,几乎每2个人中就有1人经历过任何减少,大约每4个人中就有1人经历过快速减少。存在多种慢性非癌性疼痛、肝功能损害、睡眠障碍、较高的阿片类药物基线剂量和2016年后开始的LTOT与任何逐渐减少和快速逐渐减少的速度增加有关。2016年CDC指南的发布与任何锥形和快速锥形的危害分别增加45%和64%相关。讨论和意义:本研究估计了美国老年人阿片类药物逐渐减少的发病率和预测因素。结合阿片类药物处方率和慢性疼痛患病率,这些流行病学数据对于确定和提高老年人疼痛管理的安全性和有效性至关重要。
本文章由计算机程序翻译,如有差异,请以英文原文为准。

Incidence of Opioid Dose Tapering Among Older Adults Enrolled in Medicare.

Incidence of Opioid Dose Tapering Among Older Adults Enrolled in Medicare.

Background and objectives: Long-term opioid therapy (LTOT) is frequently used for management of chronic noncancer pain, but its associations with increased risks of overdose and mortality have necessitated an evaluation of strategies for tapering or discontinuation. The process of opioid tapering is complex due to associated withdrawal symptoms and potential adverse outcomes. Thus, understanding tapering patterns and associated factors is vital for optimizing pain management, especially for vulnerable older adults.

Research design and methods: This cohort study used the 5% national sample of Medicare administrative claims data from 2012 to 2019. The study cohort consisted of individuals aged 65 and older on LTOT. The key outcomes were time until any tapering or rapid tapering of opioids. Various predictor variables, including sociodemographic and clinical factors, were examined. Survival curves were plotted, and Cox proportional hazards models were used for data analysis.

Results: The study cohort included 146,605 Medicare beneficiaries on LTOT, of which the largest percentages were aged 65-74 years (48.5%), women (68.0%), and non-Hispanic White (82.3%). Within the first year of LTOT use, nearly 1 in 2 individuals experienced any tapering, and about 1 in 4 individuals experienced rapid tapering. Presence of multiple chronic noncancer pain conditions, hepatic impairment, sleep disorders, higher baseline opioid dose, and LTOT initiation after 2016 were associated with increased rate of both any tapering and rapid tapering. The release of the 2016 CDC guideline was associated with a 45% and 64% increase in the hazards of any tapering and rapid tapering, respectively.

Discussion and implications: This study estimated the incidence rate and predictors of opioid tapering among older adults in the United States. Combined with rates of opioid prescribing and prevalence of chronic pain, these epidemiological data are crucial for identifying and improving the safety and effectiveness of pain management among older adults.

求助全文
通过发布文献求助,成功后即可免费获取论文全文。 去求助
来源期刊
Innovation in Aging
Innovation in Aging GERIATRICS & GERONTOLOGY-
CiteScore
4.10
自引率
0.00%
发文量
72
审稿时长
15 weeks
期刊介绍: Innovation in Aging, an interdisciplinary Open Access journal of the Gerontological Society of America (GSA), is dedicated to publishing innovative, conceptually robust, and methodologically rigorous research focused on aging and the life course. The journal aims to present studies with the potential to significantly enhance the health, functionality, and overall well-being of older adults by translating scientific insights into practical applications. Research published in the journal spans a variety of settings, including community, clinical, and laboratory contexts, with a clear emphasis on issues that are directly pertinent to aging and the dynamics of life over time. The content of the journal mirrors the diverse research interests of GSA members and encompasses a range of study types. These include the validation of new conceptual or theoretical models, assessments of factors impacting the health and well-being of older adults, evaluations of interventions and policies, the implementation of groundbreaking research methodologies, interdisciplinary research that adapts concepts and methods from other fields to aging studies, and the use of modeling and simulations to understand factors and processes influencing aging outcomes. The journal welcomes contributions from scholars across various disciplines, such as technology, engineering, architecture, economics, business, law, political science, public policy, education, public health, social and psychological sciences, biomedical and health sciences, and the humanities and arts, reflecting a holistic approach to advancing knowledge in gerontology.
×
引用
GB/T 7714-2015
复制
MLA
复制
APA
复制
导出至
BibTeX EndNote RefMan NoteFirst NoteExpress
×
提示
您的信息不完整,为了账户安全,请先补充。
现在去补充
×
提示
您因"违规操作"
具体请查看互助需知
我知道了
×
提示
确定
请完成安全验证×
copy
已复制链接
快去分享给好友吧!
我知道了
右上角分享
点击右上角分享
0
联系我们:info@booksci.cn Book学术提供免费学术资源搜索服务,方便国内外学者检索中英文文献。致力于提供最便捷和优质的服务体验。 Copyright © 2023 布克学术 All rights reserved.
京ICP备2023020795号-1
ghs 京公网安备 11010802042870号
Book学术文献互助
Book学术文献互助群
群 号:604180095
Book学术官方微信