通过综合分析揭示椎间盘退变的免疫机制和潜在的生物标志物。

IF 1.9 4区 医学 Q2 BIOLOGY
Xuehu Xie, Guoqiang Zhang, Ning Liu
{"title":"通过综合分析揭示椎间盘退变的免疫机制和潜在的生物标志物。","authors":"Xuehu Xie, Guoqiang Zhang, Ning Liu","doi":"10.1590/1414-431X2025e14553","DOIUrl":null,"url":null,"abstract":"<p><p>Immune regulation plays an important role in the pathogenesis of intervertebral disc degeneration (IDD). However, the mechanism of immune regulation in IDD is still unclear. All IDD data were downloaded from a public database. The differentially expressed (DE) immune-related genes in IDD were identified by the limma package in R. Functional enrichment analyses were performed to explore potential immune-related biological pathways in IDD. We also identified differentially expressed microRNAs (miRNAs) and long non-coding RNAs (lncRNAs) and constructed an mRNA-miRNA-lncRNA network. ROC analysis was performed to reveal potential diagnostic biomarkers for IDD. To understand the potential role of immune cells in IDD, xCell and Pearson correlation analyses were performed. Finally, expression validation was performed using real-time PCR. C5AR2, NFATC2, FCGR3A, hsa-miR-302d-3p, and MIR17HG were identified in IDD. ROC analysis results suggested that C5AR2 had good diagnostic accuracy, and FCGR3A and NFATC2 had sufficient diagnostic accuracy, which implied that they may be potential diagnostic markers of IDD. We also found that a large number of immune-related signaling pathways, such as cytokine-cytokine receptor interaction, chemokine signaling pathway, toll-like receptor signaling pathway, and Nod-like receptor signaling pathway, were significantly enriched. C5AR2, hsa-miR-302d-3p, and MIR17HG were significantly correlated with multiple immune cell types, such as cDC, CD8+ Tem, macrophage M1, neutrophils, and plasma cells. The C5AR2-hsa-miR-302d-3p-MIR17HG axis may play a role in immune regulation by regulating the infiltration level of related immune cells in the IDD microenvironment. The identification of key immune-related molecules, cells, and signaling pathways in IDD is of great significance to reveal the pathogenesis of IDD.</p>","PeriodicalId":9088,"journal":{"name":"Brazilian Journal of Medical and Biological Research","volume":"58 ","pages":"e14553"},"PeriodicalIF":1.9000,"publicationDate":"2025-06-20","publicationTypes":"Journal Article","fieldsOfStudy":null,"isOpenAccess":false,"openAccessPdf":"https://www.ncbi.nlm.nih.gov/pmc/articles/PMC12184963/pdf/","citationCount":"0","resultStr":"{\"title\":\"Unveiling immune mechanisms and potential biomarkers in intervertebral disc degeneration through integrated analysis.\",\"authors\":\"Xuehu Xie, Guoqiang Zhang, Ning Liu\",\"doi\":\"10.1590/1414-431X2025e14553\",\"DOIUrl\":null,\"url\":null,\"abstract\":\"<p><p>Immune regulation plays an important role in the pathogenesis of intervertebral disc degeneration (IDD). However, the mechanism of immune regulation in IDD is still unclear. All IDD data were downloaded from a public database. The differentially expressed (DE) immune-related genes in IDD were identified by the limma package in R. Functional enrichment analyses were performed to explore potential immune-related biological pathways in IDD. We also identified differentially expressed microRNAs (miRNAs) and long non-coding RNAs (lncRNAs) and constructed an mRNA-miRNA-lncRNA network. ROC analysis was performed to reveal potential diagnostic biomarkers for IDD. To understand the potential role of immune cells in IDD, xCell and Pearson correlation analyses were performed. Finally, expression validation was performed using real-time PCR. C5AR2, NFATC2, FCGR3A, hsa-miR-302d-3p, and MIR17HG were identified in IDD. ROC analysis results suggested that C5AR2 had good diagnostic accuracy, and FCGR3A and NFATC2 had sufficient diagnostic accuracy, which implied that they may be potential diagnostic markers of IDD. We also found that a large number of immune-related signaling pathways, such as cytokine-cytokine receptor interaction, chemokine signaling pathway, toll-like receptor signaling pathway, and Nod-like receptor signaling pathway, were significantly enriched. C5AR2, hsa-miR-302d-3p, and MIR17HG were significantly correlated with multiple immune cell types, such as cDC, CD8+ Tem, macrophage M1, neutrophils, and plasma cells. The C5AR2-hsa-miR-302d-3p-MIR17HG axis may play a role in immune regulation by regulating the infiltration level of related immune cells in the IDD microenvironment. The identification of key immune-related molecules, cells, and signaling pathways in IDD is of great significance to reveal the pathogenesis of IDD.</p>\",\"PeriodicalId\":9088,\"journal\":{\"name\":\"Brazilian Journal of Medical and Biological Research\",\"volume\":\"58 \",\"pages\":\"e14553\"},\"PeriodicalIF\":1.9000,\"publicationDate\":\"2025-06-20\",\"publicationTypes\":\"Journal Article\",\"fieldsOfStudy\":null,\"isOpenAccess\":false,\"openAccessPdf\":\"https://www.ncbi.nlm.nih.gov/pmc/articles/PMC12184963/pdf/\",\"citationCount\":\"0\",\"resultStr\":null,\"platform\":\"Semanticscholar\",\"paperid\":null,\"PeriodicalName\":\"Brazilian Journal of Medical and Biological Research\",\"FirstCategoryId\":\"3\",\"ListUrlMain\":\"https://doi.org/10.1590/1414-431X2025e14553\",\"RegionNum\":4,\"RegionCategory\":\"医学\",\"ArticlePicture\":[],\"TitleCN\":null,\"AbstractTextCN\":null,\"PMCID\":null,\"EPubDate\":\"2025/1/1 0:00:00\",\"PubModel\":\"eCollection\",\"JCR\":\"Q2\",\"JCRName\":\"BIOLOGY\",\"Score\":null,\"Total\":0}","platform":"Semanticscholar","paperid":null,"PeriodicalName":"Brazilian Journal of Medical and Biological Research","FirstCategoryId":"3","ListUrlMain":"https://doi.org/10.1590/1414-431X2025e14553","RegionNum":4,"RegionCategory":"医学","ArticlePicture":[],"TitleCN":null,"AbstractTextCN":null,"PMCID":null,"EPubDate":"2025/1/1 0:00:00","PubModel":"eCollection","JCR":"Q2","JCRName":"BIOLOGY","Score":null,"Total":0}
引用次数: 0

摘要

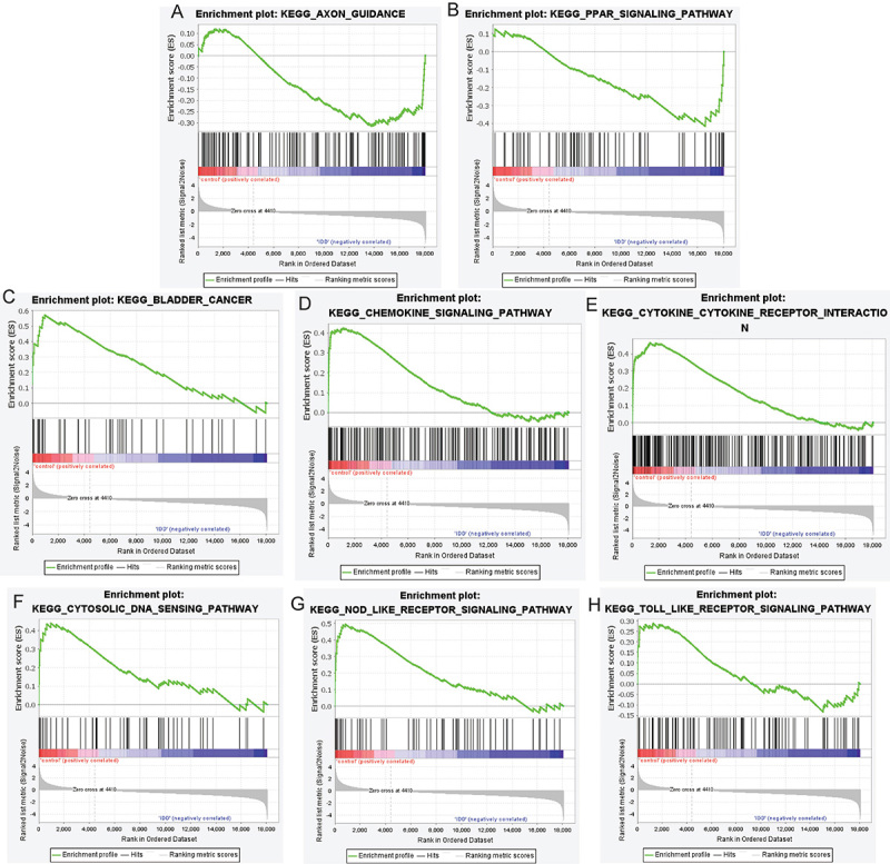
免疫调节在椎间盘退变(IDD)的发病机制中起重要作用。然而,IDD的免疫调节机制尚不清楚。所有IDD数据都是从一个公共数据库下载的。研究人员利用limma软件包鉴定了IDD中差异表达(DE)免疫相关基因,并进行功能富集分析,探索IDD中潜在的免疫相关生物学途径。我们还鉴定了差异表达的microrna (mirna)和长链非编码rna (lncrna),并构建了mRNA-miRNA-lncRNA网络。进行ROC分析以揭示IDD的潜在诊断生物标志物。为了了解免疫细胞在IDD中的潜在作用,我们进行了xCell和Pearson相关分析。最后,使用实时PCR进行表达验证。IDD中检测到C5AR2、NFATC2、FCGR3A、hsa-miR-302d-3p和MIR17HG。ROC分析结果提示C5AR2具有较好的诊断准确性,FCGR3A和NFATC2具有足够的诊断准确性,提示它们可能是IDD的潜在诊断标志物。我们还发现细胞因子-细胞因子受体相互作用、趋化因子信号通路、toll样受体信号通路、nod样受体信号通路等大量免疫相关信号通路显著富集。C5AR2、hsa-miR-302d-3p、MIR17HG与cDC、CD8+ Tem、巨噬细胞M1、中性粒细胞、浆细胞等多种免疫细胞类型显著相关。C5AR2-hsa-miR-302d-3p-MIR17HG轴可能通过调节IDD微环境中相关免疫细胞的浸润水平发挥免疫调节作用。发现IDD的关键免疫相关分子、细胞和信号通路,对揭示IDD的发病机制具有重要意义。
本文章由计算机程序翻译,如有差异,请以英文原文为准。

Unveiling immune mechanisms and potential biomarkers in intervertebral disc degeneration through integrated analysis.

Unveiling immune mechanisms and potential biomarkers in intervertebral disc degeneration through integrated analysis.

Unveiling immune mechanisms and potential biomarkers in intervertebral disc degeneration through integrated analysis.

Unveiling immune mechanisms and potential biomarkers in intervertebral disc degeneration through integrated analysis.

Immune regulation plays an important role in the pathogenesis of intervertebral disc degeneration (IDD). However, the mechanism of immune regulation in IDD is still unclear. All IDD data were downloaded from a public database. The differentially expressed (DE) immune-related genes in IDD were identified by the limma package in R. Functional enrichment analyses were performed to explore potential immune-related biological pathways in IDD. We also identified differentially expressed microRNAs (miRNAs) and long non-coding RNAs (lncRNAs) and constructed an mRNA-miRNA-lncRNA network. ROC analysis was performed to reveal potential diagnostic biomarkers for IDD. To understand the potential role of immune cells in IDD, xCell and Pearson correlation analyses were performed. Finally, expression validation was performed using real-time PCR. C5AR2, NFATC2, FCGR3A, hsa-miR-302d-3p, and MIR17HG were identified in IDD. ROC analysis results suggested that C5AR2 had good diagnostic accuracy, and FCGR3A and NFATC2 had sufficient diagnostic accuracy, which implied that they may be potential diagnostic markers of IDD. We also found that a large number of immune-related signaling pathways, such as cytokine-cytokine receptor interaction, chemokine signaling pathway, toll-like receptor signaling pathway, and Nod-like receptor signaling pathway, were significantly enriched. C5AR2, hsa-miR-302d-3p, and MIR17HG were significantly correlated with multiple immune cell types, such as cDC, CD8+ Tem, macrophage M1, neutrophils, and plasma cells. The C5AR2-hsa-miR-302d-3p-MIR17HG axis may play a role in immune regulation by regulating the infiltration level of related immune cells in the IDD microenvironment. The identification of key immune-related molecules, cells, and signaling pathways in IDD is of great significance to reveal the pathogenesis of IDD.

求助全文
通过发布文献求助,成功后即可免费获取论文全文。 去求助
来源期刊
CiteScore
4.00
自引率
0.00%
发文量
129
审稿时长
2 months
期刊介绍: The Brazilian Journal of Medical and Biological Research, founded by Michel Jamra, is edited and published monthly by the Associação Brasileira de Divulgação Científica (ABDC), a federation of Brazilian scientific societies: - Sociedade Brasileira de Biofísica (SBBf) - Sociedade Brasileira de Farmacologia e Terapêutica Experimental (SBFTE) - Sociedade Brasileira de Fisiologia (SBFis) - Sociedade Brasileira de Imunologia (SBI) - Sociedade Brasileira de Investigação Clínica (SBIC) - Sociedade Brasileira de Neurociências e Comportamento (SBNeC).
×
引用
GB/T 7714-2015
复制
MLA
复制
APA
复制
导出至
BibTeX EndNote RefMan NoteFirst NoteExpress
×
提示
您的信息不完整,为了账户安全,请先补充。
现在去补充
×
提示
您因"违规操作"
具体请查看互助需知
我知道了
×
提示
确定
请完成安全验证×
copy
已复制链接
快去分享给好友吧!
我知道了
右上角分享
点击右上角分享
0
联系我们:info@booksci.cn Book学术提供免费学术资源搜索服务,方便国内外学者检索中英文文献。致力于提供最便捷和优质的服务体验。 Copyright © 2023 布克学术 All rights reserved.
京ICP备2023020795号-1
ghs 京公网安备 11010802042870号
Book学术文献互助
Book学术文献互助群
群 号:604180095
Book学术官方微信