以学校为基础的干预措施对减少有问题的数字技术使用和屏幕时间的有效性:系统回顾和荟萃分析。

IF 6.2 1区 医学 Q1 PSYCHIATRY
Journal of Behavioral Addictions Pub Date : 2025-06-23 Print Date: 2025-07-02 DOI:10.1556/2006.2025.00043
Mark Žmavc, Janja Horvat, Maja Židan, Špela Selak
{"title":"以学校为基础的干预措施对减少有问题的数字技术使用和屏幕时间的有效性:系统回顾和荟萃分析。","authors":"Mark Žmavc, Janja Horvat, Maja Židan, Špela Selak","doi":"10.1556/2006.2025.00043","DOIUrl":null,"url":null,"abstract":"<p><strong>Background and aims: </strong>A growing body of evidence suggests that excessive digital engagement can lead to adverse consequences, especially in children and adolescents. Many stakeholders point to prevention in the school environment as one way to mitigate these harms, though their effectiveness is unclear. We conducted a systematic review and meta-analysis to evaluate existing school-based preventive interventions aimed at reducing digital addiction and screen time among individuals aged 6-19 years old.</p><p><strong>Methods: </strong>We conducted a comprehensive literature search across various databases, including Web of Science, PubMed, Scopus, PsycINFO, and Google Scholar, to identify relevant studies published between 2013 and 2023, of which 34 met the inclusion criteria.</p><p><strong>Results: </strong>The reviewed interventions were particularly effective at reducing measures of problematic digital technology use (d = 1.47 after intervention; d = 1.13 at follow-up), while being less effective at reducing screen time (d = 0.15 after intervention; d = 0.15 at follow-up). Interventions which were externally led, actively included parents, targeted at-risk youth or employed a therapy-based approach were more successful at decreasing problematic digital technology use. A slightly larger decrease in screen time was observed in interventions with external leaders, targeting at risk populations and those lasting upwards of three months.</p><p><strong>Discussion and conclusions: </strong>Due to the observed publication bias and modest statistical power within subgroup analyses, more empirical research is recommended to confirm the identified trends. Overall, given the promising results, policymakers should strongly consider exploring possibilities of systemic inclusion of digital addiction interventions within the school curriculum.</p>","PeriodicalId":15049,"journal":{"name":"Journal of Behavioral Addictions","volume":" ","pages":"571-589"},"PeriodicalIF":6.2000,"publicationDate":"2025-06-23","publicationTypes":"Journal Article","fieldsOfStudy":null,"isOpenAccess":false,"openAccessPdf":"https://www.ncbi.nlm.nih.gov/pmc/articles/PMC12231446/pdf/","citationCount":"0","resultStr":"{\"title\":\"The effectiveness of school-based interventions to reduce problematic digital technology use and screen time: A systematic review and meta-analysis.\",\"authors\":\"Mark Žmavc, Janja Horvat, Maja Židan, Špela Selak\",\"doi\":\"10.1556/2006.2025.00043\",\"DOIUrl\":null,\"url\":null,\"abstract\":\"<p><strong>Background and aims: </strong>A growing body of evidence suggests that excessive digital engagement can lead to adverse consequences, especially in children and adolescents. Many stakeholders point to prevention in the school environment as one way to mitigate these harms, though their effectiveness is unclear. We conducted a systematic review and meta-analysis to evaluate existing school-based preventive interventions aimed at reducing digital addiction and screen time among individuals aged 6-19 years old.</p><p><strong>Methods: </strong>We conducted a comprehensive literature search across various databases, including Web of Science, PubMed, Scopus, PsycINFO, and Google Scholar, to identify relevant studies published between 2013 and 2023, of which 34 met the inclusion criteria.</p><p><strong>Results: </strong>The reviewed interventions were particularly effective at reducing measures of problematic digital technology use (d = 1.47 after intervention; d = 1.13 at follow-up), while being less effective at reducing screen time (d = 0.15 after intervention; d = 0.15 at follow-up). Interventions which were externally led, actively included parents, targeted at-risk youth or employed a therapy-based approach were more successful at decreasing problematic digital technology use. A slightly larger decrease in screen time was observed in interventions with external leaders, targeting at risk populations and those lasting upwards of three months.</p><p><strong>Discussion and conclusions: </strong>Due to the observed publication bias and modest statistical power within subgroup analyses, more empirical research is recommended to confirm the identified trends. Overall, given the promising results, policymakers should strongly consider exploring possibilities of systemic inclusion of digital addiction interventions within the school curriculum.</p>\",\"PeriodicalId\":15049,\"journal\":{\"name\":\"Journal of Behavioral Addictions\",\"volume\":\" \",\"pages\":\"571-589\"},\"PeriodicalIF\":6.2000,\"publicationDate\":\"2025-06-23\",\"publicationTypes\":\"Journal Article\",\"fieldsOfStudy\":null,\"isOpenAccess\":false,\"openAccessPdf\":\"https://www.ncbi.nlm.nih.gov/pmc/articles/PMC12231446/pdf/\",\"citationCount\":\"0\",\"resultStr\":null,\"platform\":\"Semanticscholar\",\"paperid\":null,\"PeriodicalName\":\"Journal of Behavioral Addictions\",\"FirstCategoryId\":\"3\",\"ListUrlMain\":\"https://doi.org/10.1556/2006.2025.00043\",\"RegionNum\":1,\"RegionCategory\":\"医学\",\"ArticlePicture\":[],\"TitleCN\":null,\"AbstractTextCN\":null,\"PMCID\":null,\"EPubDate\":\"2025/7/2 0:00:00\",\"PubModel\":\"Print\",\"JCR\":\"Q1\",\"JCRName\":\"PSYCHIATRY\",\"Score\":null,\"Total\":0}","platform":"Semanticscholar","paperid":null,"PeriodicalName":"Journal of Behavioral Addictions","FirstCategoryId":"3","ListUrlMain":"https://doi.org/10.1556/2006.2025.00043","RegionNum":1,"RegionCategory":"医学","ArticlePicture":[],"TitleCN":null,"AbstractTextCN":null,"PMCID":null,"EPubDate":"2025/7/2 0:00:00","PubModel":"Print","JCR":"Q1","JCRName":"PSYCHIATRY","Score":null,"Total":0}
引用次数: 0

摘要

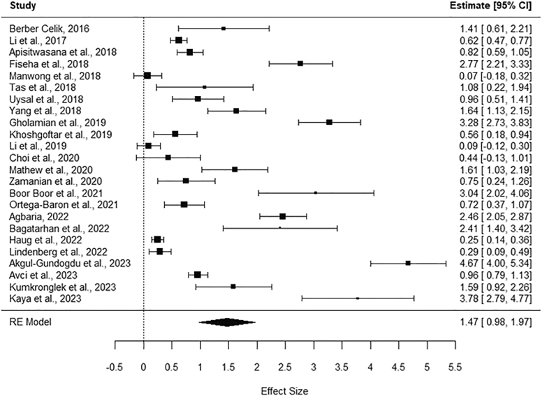
背景和目的:越来越多的证据表明,过度的数字参与可能导致不良后果,尤其是对儿童和青少年。许多利益相关者指出,学校环境中的预防是减轻这些危害的一种方法,尽管其有效性尚不清楚。我们进行了一项系统回顾和荟萃分析,以评估现有的以学校为基础的预防干预措施,旨在减少6-19岁青少年的数字成瘾和屏幕时间。方法:对Web of Science、PubMed、Scopus、PsycINFO、谷歌Scholar等数据库进行综合文献检索,找出2013 - 2023年间发表的相关研究,其中34篇符合纳入标准。结果:所回顾的干预措施在减少有问题的数字技术使用措施方面特别有效(干预后d = 1.47;随访时D = 1.13),而减少屏幕时间的效果较差(干预后D = 0.15;随访时D = 0.15)。外部主导的干预措施,积极包括父母,针对有风险的青少年或采用基于治疗的方法,在减少有问题的数字技术使用方面更成功。在针对高危人群和持续三个月以上的人群的外部领导干预中,观察到屏幕时间的减少幅度略大。讨论与结论:由于观察到的发表偏倚和亚组分析的适度统计力,建议进行更多的实证研究来证实所识别的趋势。总的来说,鉴于有希望的结果,政策制定者应该强烈考虑探索在学校课程中系统地纳入数字成瘾干预措施的可能性。
本文章由计算机程序翻译,如有差异,请以英文原文为准。

The effectiveness of school-based interventions to reduce problematic digital technology use and screen time: A systematic review and meta-analysis.

The effectiveness of school-based interventions to reduce problematic digital technology use and screen time: A systematic review and meta-analysis.

The effectiveness of school-based interventions to reduce problematic digital technology use and screen time: A systematic review and meta-analysis.

The effectiveness of school-based interventions to reduce problematic digital technology use and screen time: A systematic review and meta-analysis.

Background and aims: A growing body of evidence suggests that excessive digital engagement can lead to adverse consequences, especially in children and adolescents. Many stakeholders point to prevention in the school environment as one way to mitigate these harms, though their effectiveness is unclear. We conducted a systematic review and meta-analysis to evaluate existing school-based preventive interventions aimed at reducing digital addiction and screen time among individuals aged 6-19 years old.

Methods: We conducted a comprehensive literature search across various databases, including Web of Science, PubMed, Scopus, PsycINFO, and Google Scholar, to identify relevant studies published between 2013 and 2023, of which 34 met the inclusion criteria.

Results: The reviewed interventions were particularly effective at reducing measures of problematic digital technology use (d = 1.47 after intervention; d = 1.13 at follow-up), while being less effective at reducing screen time (d = 0.15 after intervention; d = 0.15 at follow-up). Interventions which were externally led, actively included parents, targeted at-risk youth or employed a therapy-based approach were more successful at decreasing problematic digital technology use. A slightly larger decrease in screen time was observed in interventions with external leaders, targeting at risk populations and those lasting upwards of three months.

Discussion and conclusions: Due to the observed publication bias and modest statistical power within subgroup analyses, more empirical research is recommended to confirm the identified trends. Overall, given the promising results, policymakers should strongly consider exploring possibilities of systemic inclusion of digital addiction interventions within the school curriculum.

求助全文
通过发布文献求助,成功后即可免费获取论文全文。 去求助
来源期刊
CiteScore
12.30
自引率
7.70%
发文量
91
审稿时长
20 weeks
期刊介绍: The aim of Journal of Behavioral Addictions is to create a forum for the scientific information exchange with regard to behavioral addictions. The journal is a broad focused interdisciplinary one that publishes manuscripts on different approaches of non-substance addictions, research reports focusing on the addictive patterns of various behaviors, especially disorders of the impulsive-compulsive spectrum, and also publishes reviews in these topics. Coverage ranges from genetic and neurobiological research through psychological and clinical psychiatric approaches to epidemiological, sociological and anthropological aspects.
×
引用
GB/T 7714-2015
复制
MLA
复制
APA
复制
导出至
BibTeX EndNote RefMan NoteFirst NoteExpress
×
提示
您的信息不完整,为了账户安全,请先补充。
现在去补充
×
提示
您因"违规操作"
具体请查看互助需知
我知道了
×
提示
确定
请完成安全验证×
copy
已复制链接
快去分享给好友吧!
我知道了
右上角分享
点击右上角分享
0
联系我们:info@booksci.cn Book学术提供免费学术资源搜索服务,方便国内外学者检索中英文文献。致力于提供最便捷和优质的服务体验。 Copyright © 2023 布克学术 All rights reserved.
京ICP备2023020795号-1
ghs 京公网安备 11010802042870号
Book学术文献互助
Book学术文献互助群
群 号:604180095
Book学术官方微信