中年人体积饮食和限时饮食后相似的身体成分结果:一项为期12周的随机对照试验

IF 3.8 2区 医学 Q1 NUTRITION & DIETETICS
Alicia Cloos, Stephan Geisler, Eduard Isenmann
{"title":"中年人体积饮食和限时饮食后相似的身体成分结果:一项为期12周的随机对照试验","authors":"Alicia Cloos, Stephan Geisler, Eduard Isenmann","doi":"10.1186/s12937-025-01167-9","DOIUrl":null,"url":null,"abstract":"<p><strong>Introduction: </strong>Overweight and obesity are increasing global challenges associated with severe health risks. Lifestyle factors like easy access to high-caloric foods and a decrease in physical activity contribute to weight gain. The increase in fat mass (FM) and decrease in lean body mass (LBM) are supported by age-related changes in body composition by the age of 30. Two dietary strategies, the volumetrics diet (VD) and time-restricted eating (TRE), have shown promise in achieving sustainable loss of body weight (BW) and FM without requiring food group exclusions or portion reductions. This study aimed to compare the impact of VD and TRE on body composition parameters and their adherence rate in middle-aged normal-weight to overweight physically active people over 12 weeks.</p><p><strong>Methods: </strong>In this randomized controlled trial, 37 physically active participants were allocated to either VD or TRE (VD: n = 21, age: 39.48 ± 8.83 years, body mass index (BMI): 25,38 ± 4.37 kg/m<sup>2</sup>; TRE: n = 16, age: 42.06 ± 8.47, BMI: 26.38 ± 2.81 kg/m<sup>2</sup>). Participants followed their assigned dietary strategy for 12 weeks while documenting their daily food intake using the FDDB app. Adherence to the diets was self-reported weekly. The VD group consumed meals with an energy density ≤ 1.5 kcal/g and the TRE group restricted calorie intake to an 8-hour window (11:30 AM-7:30 PM). Measurements of BW, FM, LBM, BMI, waist circumference (WC) and hip circumference (HC) were taken at baseline (T0) and after 4 (T1), 8 (T2) and 12 weeks (T3). Statistical analysis included linear mixed-effect models to compare time, group and interaction effects on body composition.</p><p><strong>Results: </strong>Both VD and TRE groups showed significant reductions in BW (p = 0.0002; d = 0.61), absolute FM (p < 0.0001; d = 0.85), relative FM (p < 0.0001; d = 0.84), BMI (p = 0.0001; d = 0.60), WC (p < 0.0001; d = 0.92), HC (p = 0.003; d = 0.51) and WHR (p < 0.0001; d = 0.90) after 12 weeks. No significant differences were observed between groups or in interaction effects for these parameters. Both groups maintained LBM throughout the intervention. Adherence rates were significantly higher in TRE (5.78 ± 1.13 days/week) compared to VD (5.29 ± 1.49 days/week; p = 0.0002). Adherence declined over time in both groups but not significantly. Dietary analysis showed no significant differences in energy and macronutrient intake.</p><p><strong>Conclusion: </strong>VD led to the same results as TRE but with a significantly lower adherence rate in the 12-week intervention period. Both dietary approaches reduced BW and FM and maintained LBM in middle-aged, physically active individuals without changing physical activity levels. Therefore, VD and TRE may counteract age-related body composition changes as long-term measures. Further studies with larger samples and a longer study duration are needed to confirm these findings.</p><p><strong>Registration number: </strong>DRKS00033809.</p>","PeriodicalId":19203,"journal":{"name":"Nutrition Journal","volume":"24 1","pages":"94"},"PeriodicalIF":3.8000,"publicationDate":"2025-06-18","publicationTypes":"Journal Article","fieldsOfStudy":null,"isOpenAccess":false,"openAccessPdf":"https://www.ncbi.nlm.nih.gov/pmc/articles/PMC12175453/pdf/","citationCount":"0","resultStr":"{\"title\":\"Similar body composition outcomes following volumetric diet and time-restricted eating in middle-aged individuals: a 12-week randomized controlled trial.\",\"authors\":\"Alicia Cloos, Stephan Geisler, Eduard Isenmann\",\"doi\":\"10.1186/s12937-025-01167-9\",\"DOIUrl\":null,\"url\":null,\"abstract\":\"<p><strong>Introduction: </strong>Overweight and obesity are increasing global challenges associated with severe health risks. Lifestyle factors like easy access to high-caloric foods and a decrease in physical activity contribute to weight gain. The increase in fat mass (FM) and decrease in lean body mass (LBM) are supported by age-related changes in body composition by the age of 30. Two dietary strategies, the volumetrics diet (VD) and time-restricted eating (TRE), have shown promise in achieving sustainable loss of body weight (BW) and FM without requiring food group exclusions or portion reductions. This study aimed to compare the impact of VD and TRE on body composition parameters and their adherence rate in middle-aged normal-weight to overweight physically active people over 12 weeks.</p><p><strong>Methods: </strong>In this randomized controlled trial, 37 physically active participants were allocated to either VD or TRE (VD: n = 21, age: 39.48 ± 8.83 years, body mass index (BMI): 25,38 ± 4.37 kg/m<sup>2</sup>; TRE: n = 16, age: 42.06 ± 8.47, BMI: 26.38 ± 2.81 kg/m<sup>2</sup>). Participants followed their assigned dietary strategy for 12 weeks while documenting their daily food intake using the FDDB app. Adherence to the diets was self-reported weekly. The VD group consumed meals with an energy density ≤ 1.5 kcal/g and the TRE group restricted calorie intake to an 8-hour window (11:30 AM-7:30 PM). Measurements of BW, FM, LBM, BMI, waist circumference (WC) and hip circumference (HC) were taken at baseline (T0) and after 4 (T1), 8 (T2) and 12 weeks (T3). Statistical analysis included linear mixed-effect models to compare time, group and interaction effects on body composition.</p><p><strong>Results: </strong>Both VD and TRE groups showed significant reductions in BW (p = 0.0002; d = 0.61), absolute FM (p < 0.0001; d = 0.85), relative FM (p < 0.0001; d = 0.84), BMI (p = 0.0001; d = 0.60), WC (p < 0.0001; d = 0.92), HC (p = 0.003; d = 0.51) and WHR (p < 0.0001; d = 0.90) after 12 weeks. No significant differences were observed between groups or in interaction effects for these parameters. Both groups maintained LBM throughout the intervention. Adherence rates were significantly higher in TRE (5.78 ± 1.13 days/week) compared to VD (5.29 ± 1.49 days/week; p = 0.0002). Adherence declined over time in both groups but not significantly. Dietary analysis showed no significant differences in energy and macronutrient intake.</p><p><strong>Conclusion: </strong>VD led to the same results as TRE but with a significantly lower adherence rate in the 12-week intervention period. Both dietary approaches reduced BW and FM and maintained LBM in middle-aged, physically active individuals without changing physical activity levels. Therefore, VD and TRE may counteract age-related body composition changes as long-term measures. Further studies with larger samples and a longer study duration are needed to confirm these findings.</p><p><strong>Registration number: </strong>DRKS00033809.</p>\",\"PeriodicalId\":19203,\"journal\":{\"name\":\"Nutrition Journal\",\"volume\":\"24 1\",\"pages\":\"94\"},\"PeriodicalIF\":3.8000,\"publicationDate\":\"2025-06-18\",\"publicationTypes\":\"Journal Article\",\"fieldsOfStudy\":null,\"isOpenAccess\":false,\"openAccessPdf\":\"https://www.ncbi.nlm.nih.gov/pmc/articles/PMC12175453/pdf/\",\"citationCount\":\"0\",\"resultStr\":null,\"platform\":\"Semanticscholar\",\"paperid\":null,\"PeriodicalName\":\"Nutrition Journal\",\"FirstCategoryId\":\"3\",\"ListUrlMain\":\"https://doi.org/10.1186/s12937-025-01167-9\",\"RegionNum\":2,\"RegionCategory\":\"医学\",\"ArticlePicture\":[],\"TitleCN\":null,\"AbstractTextCN\":null,\"PMCID\":null,\"EPubDate\":\"\",\"PubModel\":\"\",\"JCR\":\"Q1\",\"JCRName\":\"NUTRITION & DIETETICS\",\"Score\":null,\"Total\":0}","platform":"Semanticscholar","paperid":null,"PeriodicalName":"Nutrition Journal","FirstCategoryId":"3","ListUrlMain":"https://doi.org/10.1186/s12937-025-01167-9","RegionNum":2,"RegionCategory":"医学","ArticlePicture":[],"TitleCN":null,"AbstractTextCN":null,"PMCID":null,"EPubDate":"","PubModel":"","JCR":"Q1","JCRName":"NUTRITION & DIETETICS","Score":null,"Total":0}
引用次数: 0

摘要

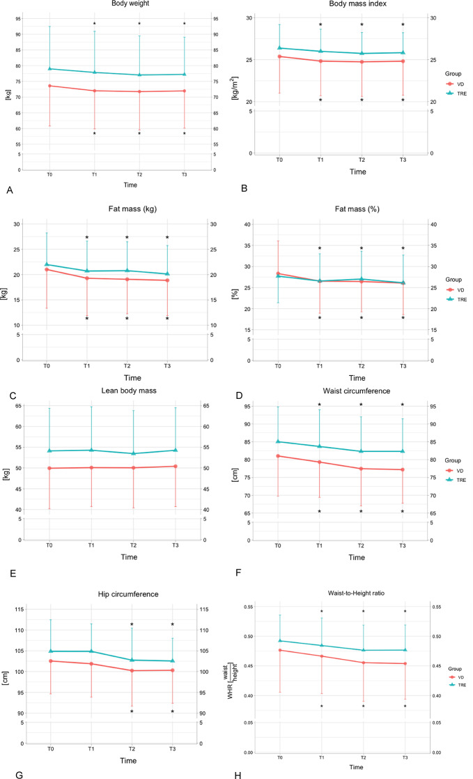
超重和肥胖是与严重健康风险相关的日益严重的全球挑战。生活方式因素,如容易获得高热量食物和体育活动的减少会导致体重增加。脂肪质量(FM)的增加和瘦体重(LBM)的减少是由30岁时身体成分的年龄相关变化所支持的。两种饮食策略,体积饮食(VD)和限时饮食(TRE),已经显示出在不需要排除食物组或减少食物量的情况下实现可持续体重(BW)和FM损失的希望。本研究旨在比较VD和TRE在12周内对中年正常体重和超重体力活动者身体成分参数及其依从率的影响。方法:在本随机对照试验中,37名体力活动参与者被分配到VD或TRE组(VD: n = 21,年龄:39.48±8.83岁,体重指数(BMI): 25,38±4.37 kg/m2;混乱关系:n = 16,年龄:42.06±8.47,体重指数:26.38±2.81 kg / m2)。参与者遵循他们指定的饮食策略12周,同时使用FDDB应用程序记录他们的每日食物摄入量。每周自我报告饮食的坚持情况。VD组食用能量密度≤1.5 kcal/g的膳食,TRE组将卡路里摄入量限制在8小时窗口(11:30 AM-7:30 PM)。分别于基线(T0)、4周(T1)、8周(T2)和12周(T3)测量体重、体重、体重、身体质量指数、腰围(WC)和臀围(HC)。统计分析采用线性混合效应模型来比较时间、组和相互作用对身体成分的影响。结果:VD组和TRE组均显著降低体重(p = 0.0002;d = 0.61),绝对FM (p)。结论:在12周的干预期内,VD与TRE的结果相同,但依从率明显较低。在不改变体力活动水平的情况下,这两种饮食方法都降低了中年体力活动个体的体重和脂肪含量,并维持了体重。因此,VD和TRE可以作为长期措施抵消与年龄相关的身体成分变化。进一步的研究需要更大的样本和更长的研究时间来证实这些发现。注册号:DRKS00033809。
本文章由计算机程序翻译,如有差异,请以英文原文为准。

Similar body composition outcomes following volumetric diet and time-restricted eating in middle-aged individuals: a 12-week randomized controlled trial.

Similar body composition outcomes following volumetric diet and time-restricted eating in middle-aged individuals: a 12-week randomized controlled trial.

Similar body composition outcomes following volumetric diet and time-restricted eating in middle-aged individuals: a 12-week randomized controlled trial.

Similar body composition outcomes following volumetric diet and time-restricted eating in middle-aged individuals: a 12-week randomized controlled trial.

Introduction: Overweight and obesity are increasing global challenges associated with severe health risks. Lifestyle factors like easy access to high-caloric foods and a decrease in physical activity contribute to weight gain. The increase in fat mass (FM) and decrease in lean body mass (LBM) are supported by age-related changes in body composition by the age of 30. Two dietary strategies, the volumetrics diet (VD) and time-restricted eating (TRE), have shown promise in achieving sustainable loss of body weight (BW) and FM without requiring food group exclusions or portion reductions. This study aimed to compare the impact of VD and TRE on body composition parameters and their adherence rate in middle-aged normal-weight to overweight physically active people over 12 weeks.

Methods: In this randomized controlled trial, 37 physically active participants were allocated to either VD or TRE (VD: n = 21, age: 39.48 ± 8.83 years, body mass index (BMI): 25,38 ± 4.37 kg/m2; TRE: n = 16, age: 42.06 ± 8.47, BMI: 26.38 ± 2.81 kg/m2). Participants followed their assigned dietary strategy for 12 weeks while documenting their daily food intake using the FDDB app. Adherence to the diets was self-reported weekly. The VD group consumed meals with an energy density ≤ 1.5 kcal/g and the TRE group restricted calorie intake to an 8-hour window (11:30 AM-7:30 PM). Measurements of BW, FM, LBM, BMI, waist circumference (WC) and hip circumference (HC) were taken at baseline (T0) and after 4 (T1), 8 (T2) and 12 weeks (T3). Statistical analysis included linear mixed-effect models to compare time, group and interaction effects on body composition.

Results: Both VD and TRE groups showed significant reductions in BW (p = 0.0002; d = 0.61), absolute FM (p < 0.0001; d = 0.85), relative FM (p < 0.0001; d = 0.84), BMI (p = 0.0001; d = 0.60), WC (p < 0.0001; d = 0.92), HC (p = 0.003; d = 0.51) and WHR (p < 0.0001; d = 0.90) after 12 weeks. No significant differences were observed between groups or in interaction effects for these parameters. Both groups maintained LBM throughout the intervention. Adherence rates were significantly higher in TRE (5.78 ± 1.13 days/week) compared to VD (5.29 ± 1.49 days/week; p = 0.0002). Adherence declined over time in both groups but not significantly. Dietary analysis showed no significant differences in energy and macronutrient intake.

Conclusion: VD led to the same results as TRE but with a significantly lower adherence rate in the 12-week intervention period. Both dietary approaches reduced BW and FM and maintained LBM in middle-aged, physically active individuals without changing physical activity levels. Therefore, VD and TRE may counteract age-related body composition changes as long-term measures. Further studies with larger samples and a longer study duration are needed to confirm these findings.

Registration number: DRKS00033809.

求助全文
通过发布文献求助,成功后即可免费获取论文全文。 去求助
来源期刊
Nutrition Journal
Nutrition Journal NUTRITION & DIETETICS-
CiteScore
9.80
自引率
0.00%
发文量
68
审稿时长
4-8 weeks
期刊介绍: Nutrition Journal publishes surveillance, epidemiologic, and intervention research that sheds light on i) influences (e.g., familial, environmental) on eating patterns; ii) associations between eating patterns and health, and iii) strategies to improve eating patterns among populations. The journal also welcomes manuscripts reporting on the psychometric properties (e.g., validity, reliability) and feasibility of methods (e.g., for assessing dietary intake) for human nutrition research. In addition, study protocols for controlled trials and cohort studies, with an emphasis on methods for assessing dietary exposures and outcomes as well as intervention components, will be considered. Manuscripts that consider eating patterns holistically, as opposed to solely reductionist approaches that focus on specific dietary components in isolation, are encouraged. Also encouraged are papers that take a holistic or systems perspective in attempting to understand possible compensatory and differential effects of nutrition interventions. The journal does not consider animal studies. In addition to the influence of eating patterns for human health, we also invite research providing insights into the environmental sustainability of dietary practices. Again, a holistic perspective is encouraged, for example, through the consideration of how eating patterns might maximize both human and planetary health.
×
引用
GB/T 7714-2015
复制
MLA
复制
APA
复制
导出至
BibTeX EndNote RefMan NoteFirst NoteExpress
×
提示
您的信息不完整,为了账户安全,请先补充。
现在去补充
×
提示
您因"违规操作"
具体请查看互助需知
我知道了
×
提示
确定
请完成安全验证×
copy
已复制链接
快去分享给好友吧!
我知道了
右上角分享
点击右上角分享
0
联系我们:info@booksci.cn Book学术提供免费学术资源搜索服务,方便国内外学者检索中英文文献。致力于提供最便捷和优质的服务体验。 Copyright © 2023 布克学术 All rights reserved.
京ICP备2023020795号-1
ghs 京公网安备 11010802042870号
Book学术文献互助
Book学术文献互助群
群 号:604180095
Book学术官方微信