新提出的肠道微生物群和睡眠障碍饮食指数与美国糖尿病和前驱糖尿病成年人生存率的联合关联

IF 3.8 2区 医学 Q1 NUTRITION & DIETETICS
Ke Si, Chuanqin Shi, Yajing Huang, Chuanfeng Liu, Jingwei Chi, Lili Xu, Ying Chen, Yangang Wang
{"title":"新提出的肠道微生物群和睡眠障碍饮食指数与美国糖尿病和前驱糖尿病成年人生存率的联合关联","authors":"Ke Si, Chuanqin Shi, Yajing Huang, Chuanfeng Liu, Jingwei Chi, Lili Xu, Ying Chen, Yangang Wang","doi":"10.1186/s12937-025-01162-0","DOIUrl":null,"url":null,"abstract":"<p><strong>Background: </strong>Diet and sleep disorders are associated with risks of metabolic diseases such as diabetes. The dietary index for gut microbiota (DI-GM) is a newly proposed index designed to assess dietary quality associated with maintaining a healthy gut microbiota. The authors aim to investigate the separate and joint prognostic effect of DI-GM and sleep disorders on the survival of US population with diabetes and pre-diabetes.</p><p><strong>Methods: </strong>Data were from the National Health and Nutrition Examination Survey (NHANES) 2007-2018 at baseline linked to the 2019 National Death Index records. Dietary recall data were collected to calculate the DI-GM and sleep disorders were assessed by self-reported questionnaires. The Cox proportional hazard model were used to evaluate the associations between separate and joint prognostic effects of DI-GM and sleep disorders with mortality outcomes among diabetic and pre-diabetic patients.</p><p><strong>Results: </strong>A total of 10718 Participants with diabetes and pre-diabetes were ultimately included in this study (weighted population: 67,232,394, weighted mean age [SE]: 57.0 [0.1] years; weighted female proportion: 51.8%). Among these participants, higher DI-GM was more prevalent in those without sleep disorders. During the median follow-up of 13.3 years, 1448 deaths occurred, including 346 participants died from cancer, and 367 died from cardiovascular disease (CVD)..Multivariable models indicated that the joint effects of DI-GM (≥ 6) and no sleep disorders were associated with lower risks for all-cause (HR 0.53, 95% CI: 0.38-0.79) and CVD mortality (HR 0.36, 95% CI: 0.19-0.65).</p><p><strong>Conclusions: </strong>In a nationally representative sample of US population with diabetes and pre-diabetes, high DI-GM combined with no sleep disorders was associated with significantly reduced all-cause and CVD mortality risks.</p>","PeriodicalId":19203,"journal":{"name":"Nutrition Journal","volume":"24 1","pages":"95"},"PeriodicalIF":3.8000,"publicationDate":"2025-06-18","publicationTypes":"Journal Article","fieldsOfStudy":null,"isOpenAccess":false,"openAccessPdf":"https://www.ncbi.nlm.nih.gov/pmc/articles/PMC12175418/pdf/","citationCount":"0","resultStr":"{\"title\":\"Joint association of the newly proposed dietary index for gut microbiota and sleep disorders with survival among US adult population with diabetes and pre-diabetes.\",\"authors\":\"Ke Si, Chuanqin Shi, Yajing Huang, Chuanfeng Liu, Jingwei Chi, Lili Xu, Ying Chen, Yangang Wang\",\"doi\":\"10.1186/s12937-025-01162-0\",\"DOIUrl\":null,\"url\":null,\"abstract\":\"<p><strong>Background: </strong>Diet and sleep disorders are associated with risks of metabolic diseases such as diabetes. The dietary index for gut microbiota (DI-GM) is a newly proposed index designed to assess dietary quality associated with maintaining a healthy gut microbiota. The authors aim to investigate the separate and joint prognostic effect of DI-GM and sleep disorders on the survival of US population with diabetes and pre-diabetes.</p><p><strong>Methods: </strong>Data were from the National Health and Nutrition Examination Survey (NHANES) 2007-2018 at baseline linked to the 2019 National Death Index records. Dietary recall data were collected to calculate the DI-GM and sleep disorders were assessed by self-reported questionnaires. The Cox proportional hazard model were used to evaluate the associations between separate and joint prognostic effects of DI-GM and sleep disorders with mortality outcomes among diabetic and pre-diabetic patients.</p><p><strong>Results: </strong>A total of 10718 Participants with diabetes and pre-diabetes were ultimately included in this study (weighted population: 67,232,394, weighted mean age [SE]: 57.0 [0.1] years; weighted female proportion: 51.8%). Among these participants, higher DI-GM was more prevalent in those without sleep disorders. During the median follow-up of 13.3 years, 1448 deaths occurred, including 346 participants died from cancer, and 367 died from cardiovascular disease (CVD)..Multivariable models indicated that the joint effects of DI-GM (≥ 6) and no sleep disorders were associated with lower risks for all-cause (HR 0.53, 95% CI: 0.38-0.79) and CVD mortality (HR 0.36, 95% CI: 0.19-0.65).</p><p><strong>Conclusions: </strong>In a nationally representative sample of US population with diabetes and pre-diabetes, high DI-GM combined with no sleep disorders was associated with significantly reduced all-cause and CVD mortality risks.</p>\",\"PeriodicalId\":19203,\"journal\":{\"name\":\"Nutrition Journal\",\"volume\":\"24 1\",\"pages\":\"95\"},\"PeriodicalIF\":3.8000,\"publicationDate\":\"2025-06-18\",\"publicationTypes\":\"Journal Article\",\"fieldsOfStudy\":null,\"isOpenAccess\":false,\"openAccessPdf\":\"https://www.ncbi.nlm.nih.gov/pmc/articles/PMC12175418/pdf/\",\"citationCount\":\"0\",\"resultStr\":null,\"platform\":\"Semanticscholar\",\"paperid\":null,\"PeriodicalName\":\"Nutrition Journal\",\"FirstCategoryId\":\"3\",\"ListUrlMain\":\"https://doi.org/10.1186/s12937-025-01162-0\",\"RegionNum\":2,\"RegionCategory\":\"医学\",\"ArticlePicture\":[],\"TitleCN\":null,\"AbstractTextCN\":null,\"PMCID\":null,\"EPubDate\":\"\",\"PubModel\":\"\",\"JCR\":\"Q1\",\"JCRName\":\"NUTRITION & DIETETICS\",\"Score\":null,\"Total\":0}","platform":"Semanticscholar","paperid":null,"PeriodicalName":"Nutrition Journal","FirstCategoryId":"3","ListUrlMain":"https://doi.org/10.1186/s12937-025-01162-0","RegionNum":2,"RegionCategory":"医学","ArticlePicture":[],"TitleCN":null,"AbstractTextCN":null,"PMCID":null,"EPubDate":"","PubModel":"","JCR":"Q1","JCRName":"NUTRITION & DIETETICS","Score":null,"Total":0}
引用次数: 0

摘要

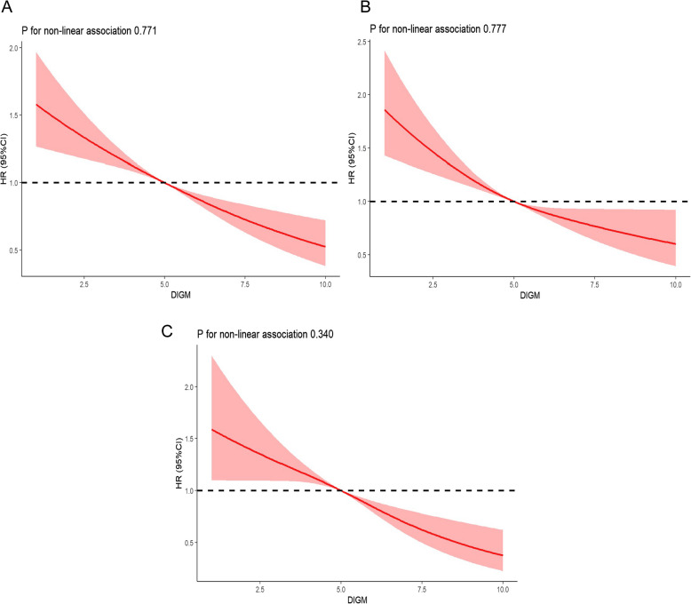
背景:饮食和睡眠障碍与糖尿病等代谢性疾病的风险相关。肠道菌群膳食指数(DI-GM)是一项新提出的指标,旨在评估与维持健康肠道菌群相关的饮食质量。作者的目的是研究DI-GM和睡眠障碍对美国糖尿病和前驱糖尿病患者生存的单独和联合预后影响。方法:数据来自2007-2018年国家健康与营养检查调查(NHANES),基线与2019年国家死亡指数记录相关。收集饮食回忆数据计算DI-GM,并通过自我报告问卷评估睡眠障碍。使用Cox比例风险模型评估糖尿病和糖尿病前期患者中DI-GM和睡眠障碍单独和联合预后影响与死亡结局之间的关系。结果:共有10718名糖尿病和糖尿病前期患者最终纳入本研究(加权人群:67,232,394,加权平均年龄[SE]: 57.0[0.1]岁;加权女性比例:51.8%)。在这些参与者中,较高的DI-GM在那些没有睡眠障碍的人中更为普遍。在中位13.3年的随访期间,1448人死亡,其中346人死于癌症,367人死于心血管疾病(CVD)。多变量模型显示,DI-GM(≥6)和无睡眠障碍的联合效应与全因风险(HR 0.53, 95% CI: 0.38-0.79)和心血管疾病死亡率(HR 0.36, 95% CI: 0.19-0.65)降低相关。结论:在一项具有全国代表性的美国糖尿病和糖尿病前期人群样本中,高DI-GM合并无睡眠障碍与全因和心血管疾病死亡率风险显著降低相关。
本文章由计算机程序翻译,如有差异,请以英文原文为准。

Joint association of the newly proposed dietary index for gut microbiota and sleep disorders with survival among US adult population with diabetes and pre-diabetes.

Joint association of the newly proposed dietary index for gut microbiota and sleep disorders with survival among US adult population with diabetes and pre-diabetes.

Joint association of the newly proposed dietary index for gut microbiota and sleep disorders with survival among US adult population with diabetes and pre-diabetes.

Joint association of the newly proposed dietary index for gut microbiota and sleep disorders with survival among US adult population with diabetes and pre-diabetes.

Background: Diet and sleep disorders are associated with risks of metabolic diseases such as diabetes. The dietary index for gut microbiota (DI-GM) is a newly proposed index designed to assess dietary quality associated with maintaining a healthy gut microbiota. The authors aim to investigate the separate and joint prognostic effect of DI-GM and sleep disorders on the survival of US population with diabetes and pre-diabetes.

Methods: Data were from the National Health and Nutrition Examination Survey (NHANES) 2007-2018 at baseline linked to the 2019 National Death Index records. Dietary recall data were collected to calculate the DI-GM and sleep disorders were assessed by self-reported questionnaires. The Cox proportional hazard model were used to evaluate the associations between separate and joint prognostic effects of DI-GM and sleep disorders with mortality outcomes among diabetic and pre-diabetic patients.

Results: A total of 10718 Participants with diabetes and pre-diabetes were ultimately included in this study (weighted population: 67,232,394, weighted mean age [SE]: 57.0 [0.1] years; weighted female proportion: 51.8%). Among these participants, higher DI-GM was more prevalent in those without sleep disorders. During the median follow-up of 13.3 years, 1448 deaths occurred, including 346 participants died from cancer, and 367 died from cardiovascular disease (CVD)..Multivariable models indicated that the joint effects of DI-GM (≥ 6) and no sleep disorders were associated with lower risks for all-cause (HR 0.53, 95% CI: 0.38-0.79) and CVD mortality (HR 0.36, 95% CI: 0.19-0.65).

Conclusions: In a nationally representative sample of US population with diabetes and pre-diabetes, high DI-GM combined with no sleep disorders was associated with significantly reduced all-cause and CVD mortality risks.

求助全文
通过发布文献求助,成功后即可免费获取论文全文。 去求助
来源期刊
Nutrition Journal
Nutrition Journal NUTRITION & DIETETICS-
CiteScore
9.80
自引率
0.00%
发文量
68
审稿时长
4-8 weeks
期刊介绍: Nutrition Journal publishes surveillance, epidemiologic, and intervention research that sheds light on i) influences (e.g., familial, environmental) on eating patterns; ii) associations between eating patterns and health, and iii) strategies to improve eating patterns among populations. The journal also welcomes manuscripts reporting on the psychometric properties (e.g., validity, reliability) and feasibility of methods (e.g., for assessing dietary intake) for human nutrition research. In addition, study protocols for controlled trials and cohort studies, with an emphasis on methods for assessing dietary exposures and outcomes as well as intervention components, will be considered. Manuscripts that consider eating patterns holistically, as opposed to solely reductionist approaches that focus on specific dietary components in isolation, are encouraged. Also encouraged are papers that take a holistic or systems perspective in attempting to understand possible compensatory and differential effects of nutrition interventions. The journal does not consider animal studies. In addition to the influence of eating patterns for human health, we also invite research providing insights into the environmental sustainability of dietary practices. Again, a holistic perspective is encouraged, for example, through the consideration of how eating patterns might maximize both human and planetary health.
×
引用
GB/T 7714-2015
复制
MLA
复制
APA
复制
导出至
BibTeX EndNote RefMan NoteFirst NoteExpress
×
提示
您的信息不完整,为了账户安全,请先补充。
现在去补充
×
提示
您因"违规操作"
具体请查看互助需知
我知道了
×
提示
确定
请完成安全验证×
copy
已复制链接
快去分享给好友吧!
我知道了
右上角分享
点击右上角分享
0
联系我们:info@booksci.cn Book学术提供免费学术资源搜索服务,方便国内外学者检索中英文文献。致力于提供最便捷和优质的服务体验。 Copyright © 2023 布克学术 All rights reserved.
京ICP备2023020795号-1
ghs 京公网安备 11010802042870号
Book学术文献互助
Book学术文献互助群
群 号:604180095
Book学术官方微信