贮藏对豆薯块茎生物活性和毒性物质的影响:对甲状腺癌和炎症反应的影响。

IF 3.6 2区 农林科学 Q2 CHEMISTRY, APPLIED
Paweł Paśko, Agnieszka Galanty, Marta Markiewicz, Efren Delgado, Aleksandra Capik, Octavio Paredes-Lopez, Shela Gorinstein
{"title":"贮藏对豆薯块茎生物活性和毒性物质的影响:对甲状腺癌和炎症反应的影响。","authors":"Paweł Paśko, Agnieszka Galanty, Marta Markiewicz, Efren Delgado, Aleksandra Capik, Octavio Paredes-Lopez, Shela Gorinstein","doi":"10.1007/s11130-025-01381-0","DOIUrl":null,"url":null,"abstract":"<p><strong>Background: </strong>Jicama (Pachyrhizus erosus) tubers contain isoflavones and phenolic acids with potential chemopreventive and anti-inflammatory effects. This study analyzed bioactive and toxic compounds in fresh jicama tuber (flesh and peel) and assessed changes during freezing for 3 and 4 months. Antioxidant, cytotoxic, and anti-inflammatory effects were evaluated on human thyroid cancer (FTC133, 8505 C, TPC1), and normal cells (Nthy-ori 3 - 1), and RAW 264.7 macrophages.</p><p><strong>Methods: </strong>High-performance liquid chromatography (HPLC) identified active compounds. Antioxidant activity was tested using FRAP and DPPH assays. Cytotoxicity was evaluated using the MTT assay, while anti-inflammatory effects were measured via TNF-α, IL-6 (ELISA), and nitric oxide levels (Griess assay).</p><p><strong>Results: </strong>Fresh peel contained the highest levels of isoflavones (mg/100 g dry weight) - biochanin A; 52.5, daidzein; 23.0, genistein; 2.6) and phenolic acids (chlorogenic; 61.7, isochlorogenic acids; 95.8), which declined significantly after freezing. No rotenone was detected. Peel extracts exhibited the strongest cytotoxicity against thyroid cancer cells, particularly FTC133, showing dose-dependent inhibition of cell viability. However, they also exhibited cytotoxicity against normal thyroid cells, highlighting potential risks. Flesh extracts showed weaker cytotoxic effects but demonstrated slightly stronger anti-inflammatory activity than peel extracts. Both extracts effectively reduced TNF-α, IL-6, and nitric oxide levels in RAW 264.7 macrophages. Storage time during freezing had no significant impact on anti-inflammatory activity or cytotoxic potency, but it significantly reduced antioxidant activity.</p><p><strong>Conclusion: </strong>Jicama peel is richer in bioactive compounds than the flesh and exhibits strong cytotoxic effects on thyroid cancer cells, although it also affects normal cells. Freezing reduces phytonutrient content and antioxidant potential but does not alter anti-inflammatory efficacy.</p>","PeriodicalId":20092,"journal":{"name":"Plant Foods for Human Nutrition","volume":"80 3","pages":"138"},"PeriodicalIF":3.6000,"publicationDate":"2025-06-13","publicationTypes":"Journal Article","fieldsOfStudy":null,"isOpenAccess":false,"openAccessPdf":"https://www.ncbi.nlm.nih.gov/pmc/articles/PMC12165963/pdf/","citationCount":"0","resultStr":"{\"title\":\"Impact of Storage on Bioactive and Toxic Compounds in Jicama (Pachyrhizus erosus) Tubers: Effects on Thyroid Cancer and Inflammatory Responses.\",\"authors\":\"Paweł Paśko, Agnieszka Galanty, Marta Markiewicz, Efren Delgado, Aleksandra Capik, Octavio Paredes-Lopez, Shela Gorinstein\",\"doi\":\"10.1007/s11130-025-01381-0\",\"DOIUrl\":null,\"url\":null,\"abstract\":\"<p><strong>Background: </strong>Jicama (Pachyrhizus erosus) tubers contain isoflavones and phenolic acids with potential chemopreventive and anti-inflammatory effects. This study analyzed bioactive and toxic compounds in fresh jicama tuber (flesh and peel) and assessed changes during freezing for 3 and 4 months. Antioxidant, cytotoxic, and anti-inflammatory effects were evaluated on human thyroid cancer (FTC133, 8505 C, TPC1), and normal cells (Nthy-ori 3 - 1), and RAW 264.7 macrophages.</p><p><strong>Methods: </strong>High-performance liquid chromatography (HPLC) identified active compounds. Antioxidant activity was tested using FRAP and DPPH assays. Cytotoxicity was evaluated using the MTT assay, while anti-inflammatory effects were measured via TNF-α, IL-6 (ELISA), and nitric oxide levels (Griess assay).</p><p><strong>Results: </strong>Fresh peel contained the highest levels of isoflavones (mg/100 g dry weight) - biochanin A; 52.5, daidzein; 23.0, genistein; 2.6) and phenolic acids (chlorogenic; 61.7, isochlorogenic acids; 95.8), which declined significantly after freezing. No rotenone was detected. Peel extracts exhibited the strongest cytotoxicity against thyroid cancer cells, particularly FTC133, showing dose-dependent inhibition of cell viability. However, they also exhibited cytotoxicity against normal thyroid cells, highlighting potential risks. Flesh extracts showed weaker cytotoxic effects but demonstrated slightly stronger anti-inflammatory activity than peel extracts. Both extracts effectively reduced TNF-α, IL-6, and nitric oxide levels in RAW 264.7 macrophages. Storage time during freezing had no significant impact on anti-inflammatory activity or cytotoxic potency, but it significantly reduced antioxidant activity.</p><p><strong>Conclusion: </strong>Jicama peel is richer in bioactive compounds than the flesh and exhibits strong cytotoxic effects on thyroid cancer cells, although it also affects normal cells. Freezing reduces phytonutrient content and antioxidant potential but does not alter anti-inflammatory efficacy.</p>\",\"PeriodicalId\":20092,\"journal\":{\"name\":\"Plant Foods for Human Nutrition\",\"volume\":\"80 3\",\"pages\":\"138\"},\"PeriodicalIF\":3.6000,\"publicationDate\":\"2025-06-13\",\"publicationTypes\":\"Journal Article\",\"fieldsOfStudy\":null,\"isOpenAccess\":false,\"openAccessPdf\":\"https://www.ncbi.nlm.nih.gov/pmc/articles/PMC12165963/pdf/\",\"citationCount\":\"0\",\"resultStr\":null,\"platform\":\"Semanticscholar\",\"paperid\":null,\"PeriodicalName\":\"Plant Foods for Human Nutrition\",\"FirstCategoryId\":\"97\",\"ListUrlMain\":\"https://doi.org/10.1007/s11130-025-01381-0\",\"RegionNum\":2,\"RegionCategory\":\"农林科学\",\"ArticlePicture\":[],\"TitleCN\":null,\"AbstractTextCN\":null,\"PMCID\":null,\"EPubDate\":\"\",\"PubModel\":\"\",\"JCR\":\"Q2\",\"JCRName\":\"CHEMISTRY, APPLIED\",\"Score\":null,\"Total\":0}","platform":"Semanticscholar","paperid":null,"PeriodicalName":"Plant Foods for Human Nutrition","FirstCategoryId":"97","ListUrlMain":"https://doi.org/10.1007/s11130-025-01381-0","RegionNum":2,"RegionCategory":"农林科学","ArticlePicture":[],"TitleCN":null,"AbstractTextCN":null,"PMCID":null,"EPubDate":"","PubModel":"","JCR":"Q2","JCRName":"CHEMISTRY, APPLIED","Score":null,"Total":0}
引用次数: 0

摘要

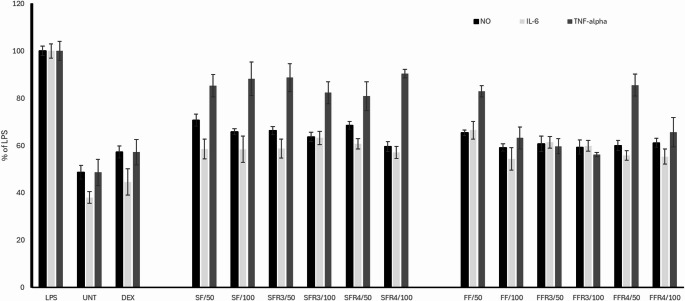
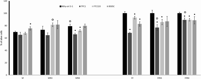
背景:豆薯块茎含有异黄酮和酚酸,具有潜在的化学预防和抗炎作用。本研究分析了新鲜豆薯块茎(果肉和果皮)中的生物活性和有毒化合物,并评估了在冷冻3个月和4个月期间的变化。对人甲状腺癌(FTC133、8505 C、TPC1)、正常细胞(Nthy-ori 3 - 1)和RAW 264.7巨噬细胞进行抗氧化、细胞毒性和抗炎作用评估。方法:高效液相色谱法鉴定活性成分。采用FRAP和DPPH测定抗氧化活性。采用MTT法评估细胞毒性,通过TNF-α、IL-6 (ELISA)和一氧化氮水平(Griess法)检测抗炎作用。结果:新鲜果皮含有最高水平的异黄酮(毫克/100克干重)-生物茶素A;52.5、大豆苷;23.0,染料木黄酮;2.6)和酚酸(绿原;61.7,异绿原酸;95.8),冻结后显著下降。未检测到鱼藤酮。果皮提取物对甲状腺癌细胞表现出最强的细胞毒性,尤其是FTC133,显示出剂量依赖性的细胞活力抑制。然而,它们也表现出对正常甲状腺细胞的细胞毒性,突出了潜在的风险。果肉提取物的细胞毒作用较弱,但抗炎活性略强于果皮提取物。两种提取物均能有效降低RAW 264.7巨噬细胞中TNF-α、IL-6和一氧化氮水平。冷冻期间的储存时间对抗炎活性和细胞毒性没有显著影响,但显著降低了抗氧化活性。结论:豆薯皮比豆薯肉含有更丰富的生物活性化合物,对甲状腺癌细胞具有很强的细胞毒作用,尽管它对正常细胞也有影响。冷冻会降低植物营养素含量和抗氧化潜力,但不会改变抗炎功效。
本文章由计算机程序翻译,如有差异,请以英文原文为准。

Impact of Storage on Bioactive and Toxic Compounds in Jicama (Pachyrhizus erosus) Tubers: Effects on Thyroid Cancer and Inflammatory Responses.

Impact of Storage on Bioactive and Toxic Compounds in Jicama (Pachyrhizus erosus) Tubers: Effects on Thyroid Cancer and Inflammatory Responses.

Impact of Storage on Bioactive and Toxic Compounds in Jicama (Pachyrhizus erosus) Tubers: Effects on Thyroid Cancer and Inflammatory Responses.

Background: Jicama (Pachyrhizus erosus) tubers contain isoflavones and phenolic acids with potential chemopreventive and anti-inflammatory effects. This study analyzed bioactive and toxic compounds in fresh jicama tuber (flesh and peel) and assessed changes during freezing for 3 and 4 months. Antioxidant, cytotoxic, and anti-inflammatory effects were evaluated on human thyroid cancer (FTC133, 8505 C, TPC1), and normal cells (Nthy-ori 3 - 1), and RAW 264.7 macrophages.

Methods: High-performance liquid chromatography (HPLC) identified active compounds. Antioxidant activity was tested using FRAP and DPPH assays. Cytotoxicity was evaluated using the MTT assay, while anti-inflammatory effects were measured via TNF-α, IL-6 (ELISA), and nitric oxide levels (Griess assay).

Results: Fresh peel contained the highest levels of isoflavones (mg/100 g dry weight) - biochanin A; 52.5, daidzein; 23.0, genistein; 2.6) and phenolic acids (chlorogenic; 61.7, isochlorogenic acids; 95.8), which declined significantly after freezing. No rotenone was detected. Peel extracts exhibited the strongest cytotoxicity against thyroid cancer cells, particularly FTC133, showing dose-dependent inhibition of cell viability. However, they also exhibited cytotoxicity against normal thyroid cells, highlighting potential risks. Flesh extracts showed weaker cytotoxic effects but demonstrated slightly stronger anti-inflammatory activity than peel extracts. Both extracts effectively reduced TNF-α, IL-6, and nitric oxide levels in RAW 264.7 macrophages. Storage time during freezing had no significant impact on anti-inflammatory activity or cytotoxic potency, but it significantly reduced antioxidant activity.

Conclusion: Jicama peel is richer in bioactive compounds than the flesh and exhibits strong cytotoxic effects on thyroid cancer cells, although it also affects normal cells. Freezing reduces phytonutrient content and antioxidant potential but does not alter anti-inflammatory efficacy.

求助全文
通过发布文献求助,成功后即可免费获取论文全文。 去求助
来源期刊
Plant Foods for Human Nutrition
Plant Foods for Human Nutrition 工程技术-食品科技
CiteScore
6.80
自引率
7.50%
发文量
89
审稿时长
12-24 weeks
期刊介绍: Plant Foods for Human Nutrition (previously Qualitas Plantarum) is an international journal that publishes reports of original research and critical reviews concerned with the improvement and evaluation of the nutritional quality of plant foods for humans, as they are influenced by: - Biotechnology (all fields, including molecular biology and genetic engineering) - Food science and technology - Functional, nutraceutical or pharma foods - Other nutrients and non-nutrients inherent in plant foods
×
引用
GB/T 7714-2015
复制
MLA
复制
APA
复制
导出至
BibTeX EndNote RefMan NoteFirst NoteExpress
×
提示
您的信息不完整,为了账户安全,请先补充。
现在去补充
×
提示
您因"违规操作"
具体请查看互助需知
我知道了
×
提示
确定
请完成安全验证×
copy
已复制链接
快去分享给好友吧!
我知道了
右上角分享
点击右上角分享
0
联系我们:info@booksci.cn Book学术提供免费学术资源搜索服务,方便国内外学者检索中英文文献。致力于提供最便捷和优质的服务体验。 Copyright © 2023 布克学术 All rights reserved.
京ICP备2023020795号-1
ghs 京公网安备 11010802042870号
Book学术文献互助
Book学术文献互助群
群 号:604180095
Book学术官方微信